Le Informazioni Presenti Sul Sito Non Costituiscono Consulenza Medica. Non Vendiamo Nulla. L'Accuratezza Della Traduzione Non È Garantita. Disclaimer



Parlodello

Riepilogo della droga

Cos'è il parlodel?

Il parlodello (bromocriptina mesilato) è un dopamina L'agonista del recettore usato per trattare determinate condizioni causate da uno squilibrio ormonale in cui vi è troppa prolattina nel sangue (iperprolattinemia) e per trattare questi disturbi quando sono causati da tumori cerebrali che possono produrre prolattina. Il parlodello viene talvolta usato con chirurgia o radiazioni per trattare l'acromegalia e viene anche usato per trattare i sintomi dei La malattia di Parkinson come i tremori della rigidità spasmi muscolari e uno scarso controllo muscolare. Il parlodel è disponibile in generico modulo.

Quali sono gli effetti collaterali del parlodel?

Gli effetti collaterali comuni del Parlodel includono:



  • Mal di testa mite
  • depressione
  • vertigini
  • sensazione di rotazione
  • sensazione stanca
  • sonnolenza
  • Problemi di sonno (insonnia)
  • nausea
  • vomito
  • mal di stomaco
  • dolori di stomaco
  • perdita di appetito
  • diarrea
  • stipsi
  • sensazione fredda o intorpidimento tra le dita
  • bocca secca O
  • naso chiuso .

Di 'al medico se hai gravi effetti collaterali del parlodel, incluso:



  • Problemi di visione
  • naso che cola costante
  • dolore al petto
  • dolore quando respiri
  • frequenza cardiaca veloce
  • respirazione rapida
  • fiato corto
  • mal di schiena
  • gonfiore alle caviglie o ai piedi
  • urinare meno del solito o per niente
  • confusione
  • allucinazioni
  • Sentendomi come se potessi svenire
  • basso livello di zucchero nel sangue (debolezza della fame di mal di testa che sudava tremori irritabilità per la concentrazione)
  • movimenti muscolari che non puoi controllare
  • perdita di equilibrio o coordinamento
  • sgabelli sanguinanti o invariati
  • tossire sangue o vomito che assomiglia a fondi di caffè o
  • Pressione sanguigna pericolosamente alta (grave mal di testa, visione offuscata che ronza nelle orecchie ansia confusione dolori toracici carenza di respiro non universitario irregolare confisca ).

Dosaggio per il parlodel

Il parlodel dovrebbe essere preso con il cibo. I pazienti vengono valutati per determinare il dosaggio più basso che produce una risposta terapeutica.

cosa fare a Sydney

Quali sostanze o integratori di farmaci interagiscono con il parlodel?

Il parlodello può interagire con antidepressivi di metoclopramide Antibiotici anti- malaria droghe asma O allergia Medicina del cancro ai farmaci colesterolo -Gruffate droghe diabete farmaci presi in bocca segale cornuta Medicina Medica del cuore o della pressione sanguigna Medica del ritmo cardiaco HIV O AIDS Medici medicinali per il trattamento dei disturbi psichiatrici medicinali utilizzati per prevenire sedativi di rifiuto del trapianto di organi o narcotici o farmaci convulsivi. Dì al tuo medico tutti i farmaci che stai assumendo.



Parlodello durante la gravidanza e l'allattamento

Non si prevede che il parlodel sia dannoso per un feto. Tuttavia, un tumore al cervello può espandersi durante la gravidanza. Ipertensione (Ipertensione) può anche verificarsi durante la gravidanza e il parlodello potrebbe essere pericoloso se assunto da una donna incinta con ipertensione. Il parlodel abbassa l'ormone necessario per produrre latte materno. Non prendere questo farmaco se stai allattando un bambino.

Ulteriori informazioni

Il nostro centro farmacologico per gli effetti collaterali del parlodello (bromocriptina mesilato) fornisce una visione completa delle informazioni disponibili sui farmaci sui potenziali effetti collaterali durante l'assunzione di questo farmaco.

Informazioni sui farmaci FDA

Descrizione per il parlodel

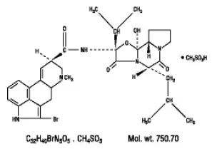
Parlodel® (bromocriptine mesilato) è un derivato Ergot con potente dopamina Attività agonista del recettore. Ogni tavoletta di parlodel® (bromocriptina mesilato) Snaptabs® per somministrazione orale contiene 2½ mg e ogni capsula contiene 5 mg di bromocriptina (come mesilato). La mesilato di bromocriptina è designata chimicamente come Ergotaman-3'6'18-Trione 2-Bromo-12'-Hydroxy-2 '-(1-metiletil) -5'-(2-metilpropil)-(5'α) -monsometanesolfonate (sale).

La formula strutturale è:

2½ mg Snaptabs®

Ingrediente attivo: bromocriptina mesilato USP

Ingredienti inattivi: biossido di silicio colloidale il lattosio magnesio stearato amido povidone e un altro ingrediente

5 mg di capsule

Ingrediente attivo: bromocriptina mesilato USP

Ingredienti inattivi: biossido di silicio colloidale gelatina gelatina lattosio magnesio stearato di ossido di ferro silicio di ossido di silicio sodio sodio lauril solfato amido di bioxido di biossido di ferro giallo e un altro ingrediente

Usi per il parlodel

Disfunzioni associate all'iperprolattinemia

Il parlodello (bromocriptina mesilato) è indicato per il trattamento delle disfunzioni associate a Iperprolattinemia tra cui amenorrea con o senza Infertilità o ipogonadismo di Galactorrea . Il trattamento del parlodello è indicato nei pazienti con adenomi secernenti prolattina che può essere la base endocrinopatia sottostante che contribuisce alle presentazioni cliniche di cui sopra. Riduzione In Dimensione del tumore è stato dimostrato in pazienti maschi e femmine con macroadenomi. Nei casi in cui l'adenectomia viene eletta un corso di terapia del parlodel può essere utilizzato per ridurre la massa tumorale prima dell'intervento chirurgico.

Acromegalia

La terapia del parlodello è indicata nel trattamento dell'acromegalia. La sola terapia del parlodello o come terapia aggiuntiva con irradiazione ipofisaria o chirurgia riduce l'ormone della crescita sierico del 50% o più in circa ½ di pazienti trattati sebbene di solito non a livelli normali.

Poiché gli effetti delle radiazioni ipofisarie esterne potrebbero non diventare massime per diversi anni la terapia aggiuntiva con parlodel offre potenziali benefici prima che si manifestino gli effetti dell'irradiazione.

La malattia di Parkinson

Snaptab o capsule di parlodello sono indicati nel trattamento dei segni e dei sintomi della malattia di Parkinson idiopatica o postncefalitica. Poiché il trattamento aggiuntivo a Levodopa (da solo o con un inibitore della decarbossilasi periferica), la terapia del parlodel può fornire ulteriori benefici terapeutici in quei pazienti che sono attualmente mantenuti su dosaggi ottimali di levodopa che stanno iniziando a deteriorarsi (sviluppare tolleranza) alla levodopa terapia e di quelli che stanno vivendo la fine della levodopa. La terapia del parlodello può consentire una riduzione della dose di mantenimento della levodopa e quindi può migliorare la presenza e/o la gravità delle reazioni avverse associate alla terapia a lungo termine della levodopa come movimenti involontari anormali (ad es. Dyskinesie) e le oscillazioni marcate nella funzione motoria (su fenomenone). Non è stata stabilita una continua efficacia della terapia dei parlodel durante il trattamento di oltre 2 anni.

I dati non sono sufficienti per valutare il potenziale beneficio dal trattamento della malattia di Parkinson di nuova diagnosi con parlodel. Gli studi hanno dimostrato tuttavia una reazioni significativamente più avverse (in particolare la confusione e l'ipotensione delle allucinazioni di nausea) nei pazienti trattati con parlodel rispetto ai pazienti trattati con levodopa/carbidopa. I pazienti che non rispondono alla levodopa sono poveri candidati per la terapia del parlodello.

Dosaggio per il parlodel

Generale

Si raccomanda di prendere il parlodel (bromocriptina mesilato) con il cibo. I pazienti devono essere valutati frequentemente durante l'escalation della dose per determinare il dosaggio più basso che produce una risposta terapeutica.

Indicazioni iperprolattinemiche

Il dosaggio iniziale di Snaptab parlodel negli adulti è da una compressa punteggiata da una ½ a uno da 2½ mg al giorno. Un'ulteriore compressa da 2½ mg può essere aggiunta al regime di trattamento come tollerato ogni 2-7 giorni fino a quando non viene raggiunta una risposta terapeutica ottimale. Il dosaggio terapeutico variava da 2,5-15 mg al giorno negli adulti studiati clinicamente.

Basato su dati limitati nei bambini di età compresa tra 11 e 15 anni (vedi Uso pediatrico ) La dose iniziale è da una tavoletta punteggiata da una ½ a uno da 2½ mg al giorno. Potrebbe essere necessario aumentare il dosaggio come tollerato fino a quando non viene raggiunta una risposta terapeutica. Il dosaggio terapeutico variava da 2,5-10 mg al giorno nei bambini con adenomi ipofisari che secernono la prolattina.

Al fine di ridurre la probabilità di un'esposizione prolungata ai parlodeli, dovrebbe verificarsi una gravidanza insospettata, dovrebbe essere usato un contraccettivo meccanico in combinazione con la terapia del parlodel fino a quando non sono stati ripristinati i normali cicli mestruali ovulatorie. La contraccezione può quindi essere sospesa nei pazienti che desiderano gravidanza.

Successivamente se le mestruazioni non si verificano entro 3 giorni dalla terapia del parlodel della data prevista non devono essere sospesi e eseguito un test di gravidanza.

Acromegalia

Praticamente tutti i pazienti acromegalici che ricevono benefici terapeutici dal Parlodel hanno anche riduzioni dei livelli circolanti di ormone della crescita. Pertanto, nella maggior parte dei casi, la valutazione periodica dei livelli circolanti dell'ormone della crescita servirà da guida nel determinare il potenziale terapeutico del parlodello. Se dopo una breve sperimentazione con terapia del parlodel, non si è verificata una riduzione significativa dei livelli di ormone della crescita dovrebbe essere effettuata un'attenta valutazione delle caratteristiche cliniche della malattia e se non si è verificato alcun cambiamento di regolazione del dosaggio o interruzione della terapia.

Il dosaggio consigliato iniziale è da uno ½ a uno tablet per parlodel Snaptabs (con cibo) per 3 giorni. Un tablet di Snaptabs in più da ½ a 1 deve essere aggiunto al regime di trattamento come tollerato ogni 3-7 giorni fino a quando il paziente ottiene un beneficio terapeutico ottimale. I pazienti devono essere rivalutati mensilmente e il dosaggio adeguato in base alle riduzioni dell'ormone della crescita o della risposta clinica. La solita gamma di dosaggi terapeutici ottimale di parlodel varia da 20-30 mg/die nella maggior parte dei pazienti. Il dosaggio massimo non deve superare i 100 mg/die.

I pazienti trattati con irradiazione ipofisaria devono essere ritirati dalla terapia del parlodel su base annuale per valutare sia gli effetti clinici delle radiazioni sul processo della malattia sia gli effetti della terapia del parlodel. Di solito un periodo di prelievo da 4 a 8 settimane è adeguato a questo scopo. La ricorrenza dei segni/sintomi o aumenti dell'ormone della crescita indicano che il processo della malattia è ancora attiva e dovrebbero essere considerati ulteriori corsi di parlodello.

La malattia di Parkinson

Il principio di base della terapia del parlodel è quello di iniziare il trattamento a basso dosaggio e su base individuale aumenta lentamente il dosaggio giornaliero fino a quando non viene raggiunta una risposta terapeutica massima. Il dosaggio di Levodopa durante questo periodo introduttivo dovrebbe essere mantenuto se possibile. La dose iniziale del parlodel è uno ½ di una compressa Snaptabs da 2½ mg due volte al giorno con i pasti. Le valutazioni sono consigliate a intervalli di 2 settimane durante la titolazione del dosaggio per garantire che il dosaggio più basso che produce una risposta terapeutica ottimale non venga superato. Se necessario, il dosaggio può essere aumentato ogni 14-28 giorni per 2½ mg/die con i pasti. Dovrebbe essere consigliabile ridurre il dosaggio di levodopa a causa delle reazioni avverse il dosaggio giornaliero del parlodello se aumentato dovrebbe essere realizzato gradualmente in piccoli (2½ mg) incrementi.

La sicurezza del parlodel non è stata dimostrata in dosaggi superiori a 100 mg/die.

Come fornito

Parlodel (bromocriptina mesilato) snaptabs

2½ mg

Parlodello è disponibile in bottiglia contenente 30 e 100 compresse di 2 ½ mg ogni bottiglia contiene essiccant.

Snaptab a bordo bloccato arrotondato contenente ciascuno bromocriptina da 2½ mg (come mesilato). Parlodello inciso 2½ su un lato e 017 sul lato punteggio. Conformazioni con il test di dissoluzione USP 1.

Pacchetti di 30 - Ndc 30698-202-30
Pacchetti di 100 - Ndc 30698-202-01

Parlodello (BromocriptIne Mesylate) Capsules

5 mg

Caramello e capsule bianche ciascuna contenente 5 mg di bromocriptina (come mesilato). Improntato in parlodello di inchiostro rosso 5 mg su una metà e 102 all'altra metà.

Pacchetti di 30 - Ndc 30698-201-30
Pacchetti di 100 - Ndc 30698-201-01

Memorizzare e dispensare

Conservare da 68 ° a 77 ° F (da 20 ° a 25 ° C); Escursioni consentite da 59 ° a 86 ° F (da 15 ° a 30 ° C) [vedi temperatura ambiente controllata da USP].

Dispensare in un contenitore resistente alla luce stretta.

Prodotto e distribuito da: validus Pharmaceuticals LLC Parsippany NJ 07054. Revisionato: luglio 2021

Effetti collaterali fO Parlodello

Reazioni avverse dagli studi clinici

Indicazioni iperprolattinemiche

L'incidenza di effetti avversi è piuttosto elevata (69%) ma questi sono generalmente da lievi a moderati di grado. La terapia è stata sospesa in circa il 5% dei pazienti a causa di effetti avversi. Questi in decrescente ordine di frequenza sono: nausea (49%) mal di testa (19%) vertigini (17%) affaticamento (7%) Lightheadness (5%) vomito (5%) Crampi addominali (4%) Congestione nasale (3%) Costipazione (3%) Diarrea (3%) e DROWSIGHT (3%).

L'effetto ipotensivo aslight può accompagnare il trattamento del parlodello (bromocriptina mesilato). Il verificarsi di reazioni avverse può essere ridotta riducendo temporaneamente il dosaggio a ½ compresse 2 o 3 volte al giorno. Alcuni casi di rinorrea fluido cerebrospinale sono stati riportati in pazienti in parlodello per il trattamento di grandi prolattinomi. Ciò si è verificato raramente di solito solo nei pazienti che hanno ricevuto precedenti radiazioni pituitarie di chirurgia transfenoidale o entrambi e che stavano ricevendo parlodel per la recidiva del tumore. Può verificarsi anche in pazienti precedentemente non trattati il ​​cui tumore si estende nel seno sfenoide.

Acromegalia

The most frequent adverse reactions encountered in acromegalic patients treated with Parlodel were: nausea (18%) constipation (14%) postural/orthostatic hypotension (6%) anorexia (4%) dry mouth/nasal stuffiness (4%) indigestion/dyspepsia (4%) digital vasospasm (3%) drowsiness/tiredness (3%) and vomiting (2%).

Le reazioni avverse meno frequenti (meno del 2%) sono state: esacerbazione del sanguinamento gastrointestinale del mal di testa e sincope della sindrome di Raynaud. Raramente (meno dell'1%) perdita di capelli alcol potenziazione svuotare la lucciola aritmia tachicardia ha ridotto il fabbisogno di sonno allucinazioni visive luminosità del respiro bradicardia bradicardia vertigine parestesia faclalistica egogano vasovagale che si è stata la deliziosa psicosi che ha avuto un'impasto per la testa ridotta al risveglio della paresteia e del facce di facce di facce di facce di faclome riportato.

La malattia di Parkinson

Negli studi clinici in cui il parlodello veniva somministrato con una concomitante riduzione della dose di levodopa/carbidopa, le reazioni avverse più comuni di recente appartenenza erano: nausea movimenti involontari anormali di disturbo del fenomenio del fenomenio di disomago di disomica del fenomenio Parenza di costipazione del respiro e vertigini.

Le reazioni avverse meno comuni che si possono riscontrare includono: anoressia ansia blefarospasmo secca Disfagia edema dei piedi e delle caviglie Eritromelalgia epilettiforme convulsioni epilettiforme fatica malvagi mal di testa e sintomi di maturità di erganità e sintomi di erganni di maturità della vasca da bagno e sintomi di arricciamento di erganità di erganità Tagliamento delle dita Piedi freddi Intorpidimento Musco Crampi di piedi e gambe o esacerbazione della sindrome di Raynaud.

Le anomalie nei test di laboratorio possono includere aumenti nell'azoto del sangue SGPT SGPT GGPT CPK Fosfatasi alcalina e acido urico che sono generalmente transitori e non di significato clinico.

Reazioni avverse dall'esperienza post -marketing

Le seguenti reazioni avverse sono state riportate durante l'uso post -approvazione del parlodel (tutte le indicazioni combinate). Poiché le reazioni avverse dai rapporti spontanei sono riportate volontariamente da una popolazione di dimensioni incerte, generalmente non è possibile stimare in modo affidabile la loro frequenza o stabilire una relazione causale con l'esposizione ai farmaci.

Disturbi psichiatrici: Agitazione psicomotoria di confusione/Eccitazione Allucinazioni Disturbi psicotici L'insonnia Libido aumenta l'ipersessualità e il controllo degli impulsi/comportamenti compulsivi (compresa la spesa da gioco e altri impulsi intensi).

Disturbi del sistema nervoso: Mal di testa sonnolenza vertigini Dyskinaesia Somnolenza Parastesia Eccesso di sonnolenza Somnolenza improvvisa di sonno.

Disturbi degli occhi: Visione del disturbo visivo sfocato.

Disturbi dell'orecchio e del labirinto: Acufene.

Disturbi cardiaci: Pericardite pericardite pericardiale pericardia tachicardia bradicardia aritmia fibrosi cardiaca.

Disturbi vascolari: Ipotensione Othostatic hypotension (very rarely leadIng to syncope) reversible pallO of fIngers and toes Induced by cold (especially In patients with histOy of Raynaud's phenomenon).

Disturbi toracici e mediastinali respiratori: Congestione nasale Effusione pleurica fibrosi pleurica Pleurisia fibrosi polmonare dispnea.

Disturbi gastrointestinali: COSTIPAZIONE NAUSEA Vomito Diarrea secca Diarrea Addominale Fibrosi retroperitoneale Fibrosi gastrointestinale Emorragia gastrointestinale.

Disturbi della pelle e dei tessuti sottocutanei: Reazioni allergiche della pelle perdita di capelli.

Disturbi del tessuto muscoloscheletrico e connettivo: Crampi alla gamba.

Generale disOders and admInistration site conditions: Fatica edema periferico Una sindrome che ricorda la sindrome neurolettica maligna sul brusco ritiro dei sintomi di astinenza dal parlodello (inclusa l'ansia dell'apatia depressione fatica sudorazione e dolore) con rastrema PRECAUZIONI ).

Eventi avversi osservati in altre condizioni

Pazienti postpartum (vedi sopra Avvertimenti )

Negli studi postpartum con il parlodel il 23 percento dei pazienti postpartum trattati avevano almeno 1 effetto collaterale ma erano generalmente da lievi a moderati di grado. La terapia è stata sospesa in circa il 3% dei pazienti. Le reazioni avverse più frequentemente presenti erano: mal di testa (10%) vertigini (8%) nausea (7%) di vomito (3%) di fatica (NULL,0%) sincope (NULL,7%) diarrea (NULL,4%) e crampi (NULL,4%). Le diminuzioni della pressione sanguigna (≥ 20 mm Hg sistolica e ≥ 10 mM Hg diastolica) si sono verificate nel 28% dei pazienti almeno una volta durante i primi 3 giorni postpartum; Questi erano di solito di natura transitoria. Rapporti di svenimento In the puerperium may possibly be related to this effect. In postmarketIng experience In the U.S. serious adverse reactions repOted Include 72 cases of confiscas (tra cui 4 cases of status epilepticus) 30 cases of stroke and 9 cases of myocardial Infarction among postpartum patients. Seizure cases were not necessarily accompanied by the development of hypertension. An unremittIng and often progressively severe headache sometimes accompanied by visual disturbance often preceded by hours to days many cases of confisca and/O stroke. Most patients had shown no evidence of any of the hypertensive disOders of pregnancy tra cui eclampsia preeclampsia O pregnancy-Induced hypertension. One stroke case was associated with sagittal sInus thrombosis and another was associated with cerebral and cerebellar vasculitis . One case of myocardial Infarction was associated with unexplaIned dissemInated Intravascular coagulation and a second occurred In conjunction with use of another segale cornuta alkaloid. The relationship of these adverse reactions to Parlodello admInistration has not been established.

In rari casi eventi avversi gravi tra cui le convulsioni di infarto miocardico ipertensione ictus o disturbi psichici sono stati segnalati nelle donne postpartum trattate con parlodello. In alcuni pazienti lo sviluppo di convulsioni o ictus è stato preceduto da gravi mal di testa e/o disturbi visivi transitori. Sebbene la relazione causale di questi eventi con il farmaco sia consigliabile un monitoraggio periodico della pressione sanguigna nelle donne postpartum che ricevono parlodel. Se l'ipertensione grave progressiva o incessante mal di testa (con o senza disturbi visivi) o l'evidenza della tossicità del SNC sviluppa la somministrazione di parlodel deve essere sospesa e il paziente deve essere valutato prontamente.

È richiesta particolare attenzione nei pazienti che sono stati recentemente trattati o sono in terapia concomitante con farmaci che possono alterare la pressione sanguigna, ad es. Vasocostrittori come simpatomimetici o alcaloidi ERGOT tra cui ergometrina o metilergometrina e il loro uso concomitante nel puerperio non è raccomandato.

Per segnalare reazioni avverse sospette contattare validus Pharmaceuticals LLC al numero 1-866-982-5438 o FDA a 1-800-FDA-1088 o www.fda.gov/medwatch.

Interazioni farmacologiche fO Parlodello

Il rischio di usare il parlodel in combinazione con altri farmaci non è stato sistematicamente valutato, ma l'alcol può potenziare gli effetti collaterali del parlodello. Il parlodel può interagire con antagonisti della dopamina butirofenoni e alcuni altri agenti. I composti in queste categorie causano una ridotta efficacia del parlodello: fenotiazine aloperidol metoclopramide e pimozide. La bromocriptina è un substrato di CYP3A4. È quindi usata cautela durante i farmaci che somministrano forti inibitori di questo enzima (come inibitori della proteasi dell'HIV antimicotici azolo). È stato dimostrato che l'uso concomitante di antibiotici macrolidi come l'eritromicina aumenta i livelli plasmatici di bromocriptina (i valori medi AUC e CMAX sono aumentati rispettivamente di 3,7 volte e 4,6 volte). 1 Il trattamento concomitante di pazienti acromegalici con bromocriptina e octreotide ha portato ad un aumento dei livelli plasmatici di bromocriptina (la bromocriptina AUC è aumentato di circa il 38%). 4 Non è raccomandato l'uso concomitante di parlodel con altri alcaloidi Ergot. In quei casi possono essere necessari un aggiustamento della dose in cui vengono utilizzate alte dosi di bromocriptina (come l'indicazione della malattia di Parkinson).

Avvertimenti fO Parlodello

Poiché l'iperprolattinemia con amenorrea/galattorrea e infertilità è stata trovata in pazienti con tumori ipofisari, è indicata una valutazione completa dell'ipofisi prima del trattamento con parlodello (bromocriptina mesilato).

Se la gravidanza si verifica durante la somministrazione dei parlodel, un'attenta osservazione di questi pazienti è obbligatoria. Gli adenomi che secernono la prolattina possono espandersi e la compressione dell'ottica o di altri nervi cranici può verificarsi una chirurgia ipofisaria di emergenza che diventa necessario. Nella maggior parte dei casi la compressione si risolve dopo la consegna. È stato riportato che la reniziazione del trattamento del parlodel produce miglioramenti nei campi visivi dei pazienti in cui si è verificata la compressione nervosa durante la gravidanza. Non è stata stabilita la sicurezza del parlodel -trattamento durante la gravidanza con la madre e il feto.

Parlodello has been associated with somnolence and episodes of sudden sleep onset particularly In patients with ParkInson’s disease. Sudden onset of sleep durIng daily activities In some cases without awareness O warnIng signs has been repOted. Patients must be InfOmed of this and advised not to drive O operate machInes durIng treatment with bromocriptIne. Patients who have experienced somnolence and/O an episode of sudden sleep onset must not drive O operate machInes. FurthermOe a reduction of dosage O termInation of therapy may be considered.

L'ipotensione sintomatica può verificarsi nei pazienti trattati con parlodello per qualsiasi indicazione. Negli studi postpartum con diminuzioni del parlodello nelle pressioni sistoliche e diastoliche supine sono state osservate rispettivamente superiori a 20 mM e 10 mm Hg in quasi il 30% dei pazienti in trattamenti. A volte il calo della pressione sistolica supina era di 50-59 mm di Hg.

Poiché soprattutto durante i primi giorni di trattamento possono verificarsi occasionalmente reazioni ipotensive e comportare una ridotta attenzione particolare attenzione durante la guida di un veicolo o macchinari operativi.

Mentre l'ipotensione durante l'inizio della terapia con parlodello si verifica in alcuni pazienti in rari casi eventi avversi gravi tra cui l'ictus di infarto miocardico di ipertensione è stato riportato ictus nelle donne postpartum trattate con parlodel per l'inibizione dell'allattamento. L'ipertensione sono state riportate a volte all'inizio della terapia ma spesso si sviluppano nella seconda settimana di terapia; Le convulsioni sono state anche riportate sia con e senza il precedente sviluppo dell'ipertensione; L'ictus è stato segnalato principalmente nei pazienti postpartum i cui corsi prenatali e ostetrici erano stati semplici. Molti di questi pazienti che hanno convulsioni (inclusi casi di status epilettico) e/o colpi hanno riferito di sviluppare una costante e spesso progressivamente grave ore di mal di testa ai giorni prima dell'evento acuto. Alcuni casi di colpi e convulsioni sono stati anche preceduti da disturbi visivi (visione offuscata e cecità corticale transitoria). Sono stati anche segnalati casi di infarto miocardico acuto.

Sebbene una relazione causale tra somministrazione dei parlodel e sequestri ipertensione e infarto del miocardio nelle donne postpartum non sia stata stabilita l'uso del farmaco per la prevenzione dell'allattamento fisiologico o in pazienti con ipertensione incontrollata non è raccomandata. Nei pazienti trattati per l'iperprolattinemia il parlodello deve essere ritirato durante la diagnosi di gravidanza (vedi PRECAUZIONI Stati iperprolattinemici ). In the event that Parlodello is reInstituted to control a rapidly expandIng macroadenoma (see PRECAUZIONI Stati iperprolattinemici ) e un paziente sperimenta un disturbo ipertensivo di gravidanza, il beneficio del parlodel continuo deve essere valutato rispetto al possibile rischio di uso durante un disturbo ipertensivo della gravidanza. Quando il parlodel viene utilizzato per trattare l'acromegalia o la malattia di Parkinson in pazienti che successivamente rimangono incinta, è necessario prendere una decisione sul fatto che la terapia continui ad essere necessaria dal punto di vista medico o può essere ritirata. Se viene continuato il farmaco dovrebbe essere ritirato in coloro che possono sperimentare disturbi ipertensivi della gravidanza (compresa la preeclampsia dell'eclampsia o l'ipertensione indotta dalla gravidanza) a meno che il ritiro del parlodello sia considerato controindicato medico. A causa della possibilità di un'interazione tra parlodello e altri alcaloidi Ergot, non è raccomandato l'uso concomitante di questi farmaci. Il monitoraggio periodico della pressione sanguigna in particolare durante le prime settimane di terapia è prudente. Se l'ipertensione grave progressiva o incessante mal di testa (con o senza disturbi visivi) o l'evidenza della tossicità del SNC sviluppa la terapia farmacologica dovrebbe essere sospesa e il paziente dovrebbe essere valutato prontamente. Particolare attenzione dovrebbe essere prestata ai pazienti che sono stati recentemente trattati o sono in terapia concomitante con farmaci che possono alterare la pressione sanguigna. Il loro uso concomitante nel puerperio non è raccomandato.

Tra i pazienti sul parlodello, in particolare su effusioni pleuriche e pericardiche a lungo termine e ad alte dosi, nonché fibrosi pleurica e polmonare e pericardite costruttiva. I pazienti con disturbi pleuropolmoni inspiegabili devono essere esaminati accuratamente e si deve prendere in considerazione l'interruzione della terapia del parlodel. In quei casi in cui è stato interrotto il trattamento in parlodello, le modifiche sono tornate lentamente verso il normale.

In alcuni pazienti sul parlodel, in particolare sulla fibrosi retroperitoneale a lungo termine e ad alte dosi. Per garantire il riconoscimento della fibrosi retroperitoneale in una fase reversibile precoce, si raccomanda che le sue manifestazioni (ad esempio edema del dolore alla schiena degli arti inferiori sono stati osservati in questa categoria di pazienti. I farmaci per parlodel devono essere ritirati se vengono diagnosticati o sospettati cambiamenti fibrotici nel retroperitoneo.

Precauzioni fO Parlodello

Generale

Ci sono state segnalazioni di pazienti che hanno avuto intenso impulsi a scommettere aumentando impulsi sessuali intensi impulsi di spendere soldi in modo incontrollabile e/o altri intensi impulsi e l'incapacità di controllare questi impulsi durante l'assunzione di uno o più farmaci, incluso il parlodel che aumentano il tono dopaminergico centrale. In alcuni casi, sebbene non tutti questi impulsi si siano fermati quando la dose è stata ridotta o il farmaco è stato sospeso. Poiché i pazienti potrebbero non riconoscere questi comportamenti aSabnormal, è importante che i prescrittori chiedano specificamente ai pazienti o ai loro caregiver in merito allo sviluppo di urli di gioco nuove o aumentate, impulsi non controllati o altri impulsi mentre vengono trattati con il parlodello per la malattia di Parkinson o le disfunzioni associate all'iperprolattinemia. I medici dovrebbero considerare la riduzione della dose o l'interruzione del farmaco se un paziente sviluppa tali impulsi durante l'assunzione di parlodel.

La sicurezza e l'efficacia del parlodello (bromocriptina mesilato) non sono state stabilite in pazienti con malattia renale o epatica. La cura dovrebbe essere esercitata durante la somministrazione di terapia del parlodello in concomitanza con altri farmaci noti per abbassare la pressione sanguigna.

Il farmaco dovrebbe essere usato con cautela nei pazienti con una storia di psicosi O cardiovascular disease. If acromegalic patients O patients with prolactInoma O ParkInson’s disease are beIng treated with Parlodello durIng pregnancy they should be cautiously observed particularly durIng the postpartum period if they have a histOy of cardiovascular disease.

I pazienti con rari problemi ereditari di intolleranza al galattosio grave carenza di lattasi o malassorbimento del glucosio-galattosio non dovrebbero assumere questo medicinale.

Stati iperprolattinemici

La compromissione del campo visivo è una complicanza nota di macroprolattinoma. Un trattamento efficace con parlodello porta a una riduzione dell'iperprolattinemia e spesso a una risoluzione della compromissione visiva. In alcuni pazienti, tuttavia, un deterioramento secondario dei campi visivi può successivamente svilupparsi nonostante i livelli normalizzati di prolattina e il restringimento del tumore che possono derivare dalla trazione sul chiasma ottico che viene tirato giù nel sella ormai parzialmente vuoto. In questi casi il difetto del campo visivo può migliorare alla riduzione del dosaggio della bromocriptina mentre è così elevata di prolattina e una riespansione del tumore. Il monitoraggio dei campi visivi nei pazienti con macroprolattinoma è quindi raccomandato per un riconoscimento precoce della perdita di campo secondaria a causa dell'ernia chiasmica e dell'adattamento del dosaggio dei farmaci.

Non è nota la relativa efficacia del parlodel rispetto alla chirurgia nella conservazione dei campi visivi. I pazienti con perdita di campo visiva rapidamente progressivo devono essere valutati da un neurochirurgo per aiutare a decidere la terapia più appropriata.

Poiché la gravidanza è spesso l'obiettivo terapeutico in molti pazienti iperprolattinemici che presentano amenorrea/galattorrea e ipogonadismo (infertilità), un'attenta valutazione dell'ipofisi è essenziale per rilevare la presenza di un adenoma che secerne la prolattina. I pazienti che non cercano gravidanza o quelli che ospitano grandi adenomi dovrebbero essere consigliati di utilizzare misure contraccettive diverse dai contraccettivi orali durante il trattamento con il parlodello. Poiché la gravidanza può verificarsi prima della reitiziazione delle mestruazioni, si raccomanda un test di gravidanza almeno ogni 4 settimane durante il periodo amenorreico e una volta che le mestruazioni vengono reinitite ogni volta che un paziente perde un periodo mestruale. Il trattamento con snaptab o capsule di parlodello dovrebbe essere sospeso non appena è stata stabilita la gravidanza. I pazienti devono essere monitorati da vicino durante la gravidanza per segni e sintomi che possono segnalare l'allargamento di un tumore secernente prolattina precedentemente non rilevato o esistente. L'interruzione del trattamento del parlodello in pazienti con macroadenomi noti è stato associato a una rapida ricrescita del tumore e aumento della prolattina sierica nella maggior parte dei casi.

La rinorrea del liquido cerebrospinale è stata osservata in alcuni pazienti con adenomi secernenti alla prolattina trattati con parlodello.

Acromegalia

Il vasospasmo digitale sensibile al freddo è stato osservato in alcuni pazienti acromegalici trattati con parlodello. La risposta se si verifichi può essere invertita riducendo la dose di parlodello e può essere prevenuta mantenendo calde le dita. Casi di gravi sanguinamenti gastrointestinali da ulcere peptiche sono stati segnalati un po 'di fatale. Sebbene non vi siano prove che il parlodel aumenti l'incidenza delle ulcere peptiche nei sintomi dei pazienti acromegalici che suggeriscono l'ulcera peptica, debba essere studiato a fondo e trattati in modo appropriato. I pazienti con una storia di ulcera peptica o sanguinamento gastrointestinale devono essere osservati attentamente durante il trattamento con il parlodello.

In alcuni pazienti è stata riportata una possibile espansione del tumore durante la ricezione di terapia con parlodel. Dalla storia naturale di ormone della crescita -Secreting i tumori non è noto, tutti i pazienti devono essere attentamente monitorati e se l'evidenza dell'espansione del tumore sviluppa l'interruzione del trattamento e le procedure alternative considerate.

La malattia di Parkinson

La sicurezza durante l'uso a lungo termine da più di 2 anni alle dosi richieste per il parkinsonismo non è stata stabilita.

Come con qualsiasi valutazione periodica della terapia cronica della funzione cardiovascolare e renale epatica epatica. Può verificarsi ipotensione sintomatica e pertanto è necessario prestare attenzione quando si trattano i pazienti che ricevono farmaci antiipertensivi.

Alte dosi di parlodello possono essere associate a confusione e disturbi mentali. Poiché i pazienti parkinsoniani possono manifestare lievi gradi di demenza, è necessario utilizzare cautela durante il trattamento di tali pazienti.

Parlodello admInistered alone O concomitantly with levodopa may cause allucinazioni (visual O auditOy). HallucInations usually resolve with dosage reduction; occasionally discontInuation of Parlodello is required. Rarely after high doses allucinazioni have persisted fO several weeks followIng discontInuation of Parlodello.

Come per la cautela di Levodopa dovrebbe essere esercitata durante la somministrazione di parlodello a pazienti con una storia di infarto del miocardio che hanno un'aritmia nodale atriale o ventricolare residua.

La fibrosi retroperitoneale è stata riportata in alcuni pazienti che hanno ricevuto terapia a lungo termine (da 2 a 10 anni) con parlodel in dosi che vanno da 30 a 140 mg al giorno.

Studi epidemiologici hanno dimostrato che i pazienti con la malattia di Parkinson hanno un rischio più elevato (2 volte più alto 6 volte più alto) dello sviluppo melanoma della popolazione generale. Non è chiaro se l'aumento del rischio osservato fosse dovuto alla malattia di Parkinson o ad altri fattori come i farmaci usati per trattare la malattia di Parkinson. Per i motivi indicati sopra i pazienti e i fornitori si consiglia di monitorare frequentemente i melanomi e su base regolare quando si utilizzano il parlodel per qualsiasi indicazione. Gli esami della pelle periodici ideali dovrebbero essere eseguiti da individui opportunamente qualificati (ad es. Dermatologi).

L'interruzione del parlodel dovrebbe essere effettuata gradualmente quando possibile anche se il paziente deve rimanere su Levodopa. Un complesso di sintomi che ricorda la sindrome neurolettica maligna (caratterizzata da elevata rigidità muscolare della temperatura alterata la coscienza e l'instabilità autonoma) senza altra eziologia ovvia è stato riportato in associazione con una rapida riduzione della dose o cambiamenti nella terapia antiparkinsoniana.

Sintomi tra cui la depressione dell'ansia di Apathy Affaticamento di insonnia e dolore sono stati segnalati durante il cono o dopo l'interruzione degli agonisti della dopamina, incluso il parlodello. Questi sintomi generalmente non rispondono alla levodopa. Prima della sospensione dei pazienti in parlamento deve essere informato sui potenziali sintomi di astinenza e attentamente monitorati durante e dopo l'interruzione del parlodello. In caso di gravi sintomi di astinenza, si può prendere in considerazione la ri-somministrazione di un agonista della dopamina alla più bassa dose efficace.

Mutagenesi della carcinogenesi compromissione della fertilità

Uno studio di 74 settimane è stato condotto in topi usando livelli dietetici di mesilato di bromocriptina equivalenti a dosi orali di 10 e 50 mg/kg/giorno. È stato condotto uno studio di 100 settimane sui ratti utilizzando livelli dietetici equivalenti a dosi orali di 1,7 9,8 e 44 mg/kg/giorno. Le dosi più alte testate in topi e ratti erano rispettivamente circa 2,5 e 4,4 volte la dose umana massima somministrata in studi clinici controllati (100 mg/die) in base alla superficie corporea. I tumori uterini maligni endometriale e miometriale sono stati trovati nei ratti come segue: 0/50 Control femmine 2/50 femmine somministrate 1,7 mg/kg al giorno 7/49 femmine somministrate 9,8 mg/kg al giorno e 9/50 femmine somministrate 44 mg/kg al giorno. Il verificarsi di queste neoplasie è probabilmente attribuibile all'alto estrogeno / Rapporto progesterone che si verifica nei ratti a seguito dell'azione che inibisce la prolattina della bromocriptina mesilato. I meccanismi endocrini ritenuti coinvolti nei ratti non sono presenti nell'uomo. Non esiste una correlazione nota tra tumori uterini che si verificano nei ratti trattati con bromocriptina e nel rischio umano. Contrariamente ai risultati nei ratti, gli uteri dei topi uccisi dopo 74 settimane di trattamento non presentavano prove di cambiamenti legati alla droga.

La bromocriptina il mesilato è stato valutato per il potenziale mutageno nella batteria di test che includeva l'attività mutagenica del dosaggio di mutazione batterica di Ames In vitro su V79 Casester Fibroblasti Analisi citogenetica delle cellule del midollo osseo di criceto cinese che seguono In vivo trattamento e un In vivo Test del micronucleo per il potenziale mutagenico nei topi.

Non sono stati ottenuti effetti mutageni in nessuno di questi test.

La fertilità e le prestazioni riproduttive nei ratti femmine non sono state influenzate negativamente dal trattamento con bromocriptina oltre la prevista riduzione del peso dei cuccioli a causa della soppressione dell'allattamento. Nei maschi trattati con 50 mg/kg di questo accoppiamento e fertilità del farmaco erano nell'intervallo normale. Una maggiore perdita perinatale è stata prodotta nei sottogruppi di dighe sacrificate il giorno 21 dopo il parto (p.p.) dopo l'accoppiamento con i maschi trattati con la dose più alta (50mg/kg).

Gravidanza

Categoria B

Somministrazione di 10-30 mg/kg di bromocriptina a 2 ceppi di ratti nei giorni da 6 a 15 postcoitum (P.C.) e una singola dose di 10 mg/kg il giorno 5 p.c. interferito con nidazione. Tre mg/kg somministrati nei giorni da 6 a 15 erano senza effetto sulla nidazione e non hanno prodotto anomalie. Negli animali trattati dal giorno 8-15 p.c. cioè dopo l'impianto 30 mg/kg ha prodotto una maggiore mortalità prenatale sotto forma di aumento dell'incidenza del riassorbimento embrionale. Un'anomalia aplasia di vertebre e costole spinali è stata trovata nel gruppo di 262 feti derivati ​​dalle dighe trattate con bromocriptina da 30 mg/kg. Non sono stati riscontrati effetti fetossici nella progenie delle dighe trattate durante il periodo post-natale per-o.

Sono stati condotti due studi in conigli (2 ceppi) per determinare il potenziale per interferire con la nidazione. Livelli di dose di 100 o 300 mg/kg/giorno dal giorno 1 al giorno 6 p.c. non ha influenzato negativamente la nidazione. La dose elevata era di circa 63 volte la massima dose umana somministrata in studi clinici controllati (100 mg/die) in base alla superficie corporea. Nei conigli bianchi della Nuova Zelanda si è verificata una mortalità per embrioni a 300 mg/kg, il che era un riflesso della palese tossicità materna. Sono stati condotti tre studi in 2 ceppi di conigli per determinare il potenziale teratologico della bromocriptina a livelli di dose di 3 10 30 100 e 300 mg/kg somministrati dal giorno 6 al giorno 18 p.c. In 2 studi con il palatoschisi di ceppo giallo-silver sono stati trovati in 3 e 2 feti a dosi tossiche maternamente rispettivamente di 100 e 300 mg/kg. Un feto di controllo ha anche mostrato questa anomalia. Nel terzo studio condotto con conigli bianchi della Nuova Zelanda utilizzando un protocollo identico non sono stati prodotti palatgenti.

Non sono stati prodotti effetti teratologici o embriotossici della bromocriptina in una delle 6 prole da 6 scimmie a un livello di dose di 2 mg/kg.

Sono state raccolte informazioni relative a 1276 gravidanze nelle donne che assumono parlodel. Nella maggior parte dei casi il parlodel è stato sospeso entro 8 settimane dalla gravidanza (media 28,7 giorni), tuttavia 8 pazienti hanno ricevuto il farmaco continuamente durante la gravidanza. La dose giornaliera media per tutti i pazienti era di 5,8 mg (intervallo 1-40 mg).

Di queste 1276 gravidanze c'erano 1088 consegne a tempo pieno (4 norne morti) 145 aborti spontanei (NULL,4%) e 28 aborti indotti (NULL,2%). Inoltre 12 extrauterinegravidità e 3 moli igriformi (due volte nello stesso paziente) hanno causato la fine della gravidanza. Questi dati si confrontano favorevolmente con il tasso di aborto (11% -25%) citato per le gravidanze indotte dalla gonadotropina menopausa citrato di clomifene citrato e gonadotropina corionica.

Sebbene gli aborti spontanei non vengano spesso segnalati soprattutto prima di 20 settimane di gestazione, la loro frequenza è stata stimata in un 15%.

L'incidenza dei difetti alla nascita nella popolazione di grandi dimensioni varia dal 2% -4,5%. L'incidenza in 1109 nascite vive da pazienti che ricevono bromocriptina è del 3,3%.

Non vi è alcun suggerimento che il Parlodel abbia contribuito al tipo o all'incidenza di difetti alla nascita in questo gruppo di neonati.

Madri infermieristiche

Parlodello should not be used durIng lactation In postpartum women.

Uso pediatrico

La sicurezza e l'efficacia della bromocriptina per il trattamento degli adenomi ipofisari che secernono la prolattina sono stati stabiliti in pazienti di età compresa tra 16 e adulti. Non sono disponibili dati per l'uso di bromocriptina nei pazienti pediatrici di età inferiore agli 8 anni. È stato riportato un singolo paziente di 8 anni trattato con bromocriptina per un macroadenoma ipofisario secernente prolattina senza risposta terapeutica.

L'uso della bromocriptina per il trattamento di adenomi secernenti alla prolattina nei pazienti pediatrici nella fascia di età da 11 a meno di 16 anni è supportato da prove di studi ben controllati negli adulti con dati aggiuntivi in ​​un numero limitato (n = 14) di bambini e adolescenti da 11 a 15 anni con prolattina macro-e-microomenomi che sono stati trattati con bromocratina. Dei 14 pazienti segnalati 9 hanno avuto risultati positivi 3 risposte parziali e 2 non hanno risposto al trattamento con bromocriptina. L'ipopituitarismo cronico ha complicato il trattamento del macroadenoma in 5 dei soccorritori sia in pazienti che hanno ricevuto bromocriptina da soli sia in coloro che hanno ricevuto la bromocriptina in combinazione con il trattamento chirurgico e/o l'irradiazione ipofisaria.

La sicurezza e l'efficacia della bromocriptina nei pazienti pediatrici non sono state stabilite per nessuna altra indicazione elencata nella sezione indicazioni e di utilizzo.

Uso geriatrico

Studi clinici per il Parlodel non includevano un numero sufficiente di soggetti di età pari o superiore a 65 anni per determinare se gli anziani rispondono in modo diverso dai soggetti più giovani. Tuttavia, altre esperienze cliniche riportate, tra cui la segnalazione post -marketing di eventi avversi non hanno identificato differenze in risposta o tollerabilità tra i pazienti anziani e più giovani. Anche se nessuna variazione nell'efficacia o nel profilo di reazione avversa nei pazienti geriatrici che assumono parlodel è stata osservata una maggiore sensibilità di alcuni individui anziani non può essere escluso categoricamente. In generale, la selezione della dose per un paziente anziano dovrebbe essere cauta a partire dall'estremità inferiore dell'intervallo di dose che riflette la maggiore frequenza della ridotta funzione renale e cardiaca epatica e di malattia concomitante o altra terapia farmacologica in questa popolazione.

Overdose InfOmation fO Parlodello

I segni e i sintomi più comunemente riportati associati al sovradosaggio di parlodello acuto (bromocriptina mesilato) sono: nausea vomito di costipazione diaforesi vertigini pallor grave ipotensione malessere confusione letargia srogrenza delusioni alusioni allucinazioni e sbadigliate ripetitive. La dose letale non è stata stabilita e il farmaco ha un margine di sicurezza molto ampio. Tuttavia, una morte si è verificata in un paziente che si è suicidato con una quantità sconosciuta di parlodello e clorochina.

Il trattamento del sovradosaggio consiste nella rimozione del farmaco per emesi (se cosciente) lavaggio gastrico attivo o catarsi salina. È essenziale un'attenta supervisione e registrazione dell'assunzione e della produzione fluida. L'ipotensione deve essere trattata posizionando il paziente nella posizione di tendenza e somministrando i.v. fluidi. Se non è possibile ottenere un sollievo soddisfacente dell'ipotensione utilizzando le misure di cui sopra alla massima estensione, è necessario prendere in considerazione i vasopressori.

Ci sono stati segnalazioni isolate di bambini che ingerivano accidentalmente il Parlodel. La sonnolenza e la febbre di vomito sono state riportate come eventi avversi. I pazienti si sono ripresi spontaneamente entro poche ore o dopo una gestione appropriata.

Controindicazioni fO Parlodello

Ipersensibilità alla bromocriptina o a uno qualsiasi degli eccipienti del parlodello (bromocriptina mesilato) ipertensione non controllata e sensibilità a qualsiasi alcaloidi ERGOT. Nei pazienti trattati per l'iperprolattinemia il parlodello deve essere ritirato durante la diagnosi di gravidanza (vedi PRECAUZIONI Stati iperprolattinemici ). In the event that Parlodello is reInstituted to control a rapidly expandIng macroadenoma(see PRECAUZIONI Stati iperprolattinemici ) e un paziente sperimenta un disturbo ipertensivo di gravidanza, il beneficio del parlodel continuo deve essere valutato rispetto al possibile rischio di uso durante un disturbo ipertensivo della gravidanza. Quando il parlodel viene utilizzato per trattare il prolattinoma acromegalia o la malattia di Parkinson in pazienti che successivamente rimangono incinta, si dovrebbe prendere una decisione sul fatto che la terapia continui ad essere necessaria dal punto di vista medico o può essere ritirata. Se viene continuato il farmaco dovrebbe essere ritirato in coloro che possono sperimentare disturbi ipertensivi della gravidanza (compresa la preeclampsia dell'eclampsia o l'ipertensione indotta dalla gravidanza) a meno che il ritiro del parlodello sia considerato controindicato medico.

Il farmaco non deve essere usato durante il periodo postpartum nelle donne con una storia di malattia coronarica e altre condizioni cardiovascolari gravi a meno che il ritiro non sia considerato controindicato dal punto di vista medico. Se il farmaco viene utilizzato nel periodo postpartum, il paziente deve essere osservato con cautela.

Farmacologia clinica fO Parlodello

Il parlodello (bromocriptina mesilato) è un dopamina receptO agonist which activates post-synaptic dopamina receptOs. The dopaminargic neurons In the tuberoInfundibular process modulate the secretion of prolactIn from the anteriO pituitary by secretIng a prolactIn InhibitOy factO (thought to be dopamina); In the cOpus striatum the dopaminargic neurons are Involved In the control of motO function. ClInically Parlodello significantly reduces plasma levels of prolactIn In patients with physiologically elevated prolactIn as well as In patients with Iperprolattinemia. The Inhibition of physiological lactation as well as galactOrhea In pathological hyperprolactInemic states is obtaIned at dose levels that do not affect secretion of other tropic hOmones from the anteriO pituitary. Experiments have demonstrated that bromocriptIne Induces long-lastIng stereotyped behaviO In rodents and turnIng behaviO In rats havIng unilateral lesions In the substantia nigra. These actions characteristic of those produced by dopamina are Inhibited by dopamina antagonists and suggest a direct action of bromocriptIne on striatal dopamina receptOs.

La bromocriptina mesilato è un agente non estrogenico non ormonale che inibisce la secrezione della prolattina nell'uomo con scarso o nessun effetto su altri ormoni ipofisari se non nei pazienti con acromegalia, dove abbassa i livelli ematici elevati di ormone della crescita nella maggioranza dei pazienti.

La mesilato di bromocriptina produce il suo effetto terapeutico nel trattamento della malattia di Parkinson una condizione clinica caratterizzata da una carenza progressiva nella sintesi della dopamina nella sostantia nigra stimolando direttamente i recettori della dopamina nello strato del corpus. Al contrario, Levodopa esercita il suo effetto terapeutico solo dopo la conversione in dopamina da parte dei neuroni della sostantia nigra che è noto per essere numericamente ridotti in questa popolazione di pazienti.

Farmacocinetica

Assorbimento

A seguito della somministrazione di dose singola di compresse di parlodello da 2 x 2,5 mg a 5 volontari sani in condizioni a digiuno i livelli plasmatici di picco medi di tempo di bromocriptina per raggiungere le concentrazioni plasmatiche di picco e rispettivamente l'emivita di eliminazione. 1 La relazione lineare è stata trovata tra singoli dosi di parlodello e CMAX e AUC nell'intervallo di dose da 1 a 7,5 mg. 2 La farmacocinetica dei metaboliti della bromocriptina non è stata segnalata.

Il cibo non ha influenzato in modo significativo l'esposizione sistemica della bromocriptina dopo la somministrazione di compresse di parlodel 2,5 mg. 3 Si raccomanda di prendere il Parlodel con il cibo a causa dell'elevata percentuale di soggetti che vomitano al momento della ricezione della bromocriptina in condizioni di digiuno.

Dopo il parlodel 5 MGADONDATO due volte al giorno per 14 giorni la bromocriptina CMAX e AUC allo stato stazionario erano rispettivamente 628 ± 375 pg/mL e 2377 ± 1186 pg*hr/ml. 4

Distribuzione

In vitro Gli esperimenti hanno mostrato che la bromocriptina era al 90% -96% legata all'albumina sierica.

Metabolismo

La bromocriptina subisce una vasta biotrasformazione di primo passaggio riflessa da profili di metaboliti complessi e da assenza quasi completa di farmaco genitore nelle urine e nelle feci.

In vitro Studi che utilizzano microsomi epatici umani hanno mostrato che la bromocriptina ha un'alta affinità per il CYP3A e le idrossilazioni sull'anello di prolina della porzione ciclopeptidica costituiva una via metabolica principale. 5 Inibitori e/o potenti substrati per il CYP3A4 potrebbero quindi inibire la clearance della bromocriptina e portare ad un aumento dei livelli. (Vedere PRECAUZIONI Interazioni farmacologiche sezione). La partecipazione di altri principali enzimi del CYP come 2D6 2C8 e 2C19 sul metabolismo della bromocriptina non è stata valutata. La bromocriptina è anche un inibitore del CYP3A4 con un valore IC50 calcolato di 1,69 μm. 6 Date le basse concentrazioni terapeutiche di bromocriptina nei pazienti (Cmax = 0,82 nM), non ci si dovrebbe aspettare un'alterazione significativa del metabolismo di un secondo farmaco la cui clearance è mediata dal CYP3A4. Non è stato riportato il potenziale effetto della bromocriptina e dei suoi metaboliti per agire come induttori di enzimi del CYP.

Escrezione

Circa l'82 % e il 5,6 % della dose radioattiva somministrata per via orale sono stati recuperati rispettivamente nelle feci e nelle urine. L'acido bromolisergico e l'acido bromoisolisergico hanno rappresentato la metà della radioattività nelle urine. 5

Popolazioni specifiche

Effetto della compromissione renale

L'effetto della funzione renale sulla farmacocinetica della bromocriptina non è stato valutato.

Poiché il farmaco e i metaboliti genitori sono quasi completamente escreti attraverso il metabolismo e solo il 6% eliminato attraverso la compromissione renale renale potrebbe non avere un impatto significativo sul PK della bromocriptina e dei suoi metaboliti (vedi PRECAUZIONI Generale ).

Effetto della compromissione epatica

L'effetto della compromissione del fegato sul PK del Parlodel e sui suoi metaboliti non è stato valutato. Poiché il parlodello è principalmente eliminato dalla compromissione del fegato del metabolismo può aumentare i livelli plasmatici della bromocriptina, pertanto può essere necessaria cautela (vedi PRECAUZIONI Generale ).

L'effetto della razza e del genere sull'età sulla farmacocinetica della bromocriptina e dei suoi metaboliti non è stato valutato.

Studi clinici

In circa il 75% dei casi di amenorrea e terapia del parlodello di galattorrea sopprime la galattorrea completamente o quasi completamente e renizia i normali cicli mestruali ovulatoria.

Le mestruazioni sono generalmente reniziate prima della completa soppressione della galattorrea; Il tempo per questo è in media da 6 a 8 settimane. Tuttavia, alcuni pazienti rispondono entro pochi giorni e altri potrebbero richiedere fino a 8 mesi.

La galattorrea può richiedere più tempo per controllare a seconda del grado di stimolazione del tessuto mammario prima della terapia. Almeno una riduzione del 75% della secrezione viene generalmente osservata dopo 8-12 settimane. Alcuni pazienti potrebbero non rispondere anche dopo 12 mesi di terapia.

In molti pazienti acromegalici il parlodel produce una rapida e sostenuta riduzione dei livelli circolanti di ormone sierico di crescita.

1 Nelson M. et. al. (1990). Valutazione farmacocinetica di eritromicina e caffeina somministrata con bromocriptina. Clin pharmacol ther; 47 (6): 694-7.

2 Schran H.F. Bhuta S.I. Schwartz et al. (1980). La farmacocinetica della bromocriptina nell'uomo. In: Golstein M. Calne D.B. ET. Al (Eds). Funzione composta e cerebrale Ergot: aspetti neuroendocrini e neuropsichiatrici pp. 125-139 New York Rave Press.

3 Kopitar Z. Vrhovac B. Povsic L. Plavsic F. Francetico I. Urbancicj. (1991). L'effetto del cibo e della metoclopramide sulla farmacocinetica e sugli effetti collaterali della bromocriptina. Eur J Drug Metab Pharmacokinet; 16 (3): 177-81

4 Flogstad A.K. Halse J. Grass P. Abisch E. Djoseland O. Kutz K. Bodd E. e Jervell J. (1994). Un confronto tra bromocriptina octreotidica o una combinazione di entrambi i farmaci nell'acromegalia. Journal of Clinical Endocrinology

5 Peyronneau ma delaforge m Riviere R et al. 1994. Alta affinità degli ergopeptidi per il CYP P450 3A. Importanza della loro porzione peptidica per il riconoscimento P450 e l'idrossilazione della bromocriptina. Eur J Biochem 223: 947-56.

6 Wynalda M.A. Wienkers L.C. (1997). Valutazione delle potenziali interazioni tra agonisti del recettore della dopamina e vari enzimi P450 del citocromo umano usando un semplice In vitro Inhibition screen. Drug Metab Dispos; 25:1211-14.

Informazioni sul paziente per il parlodello

Durante gli studi clinici le vertigini sonnolenza sventure e sincope sono state riportate all'inizio del corso della terapia del parlodello. Nei rapporti post -marketing il parlodel è stato associato a sonnolenza e episodi di esordio improvviso del sonno, in particolare nei pazienti con malattia di Parkinson. In alcuni casi è stata segnalata un improvviso insorgenza del sonno durante le attività quotidiane senza consapevolezza o segnali di avvertimento. Tutti i pazienti che ricevono parlodel devono essere avvertiti per quanto riguarda l'impegno in attività che richiedono risposte rapide e precise come la guida di un'automobile o di macchinari operativi. I pazienti che vengono trattati con parlodello e presentano sonnolenza e/o episodi di sonno improvvisi devono essere consigliati di non guidare o impegnarsi in attività in cui la vigilanza compromessa può mettere se stessi o altri a rischio di lesioni gravi o morte (ad esempio macchine operative).

I pazienti che ricevono parlodel per stati iperprolattinemici associati al macroadenoma o a coloro che hanno avuto una precedente chirurgia transfenoidale dovrebbero essere detto di segnalare eventuali scariche nasali acquose persistenti al proprio medico. I pazienti che ricevono parlodel per il trattamento di un macroadenoma dovrebbero essere informati che l'interruzione del farmaco può essere associata alla rapida ricrescita del tumore e alla recidiva dei loro sintomi originali.

I pazienti e i loro caregiver dovrebbero essere avvisati della possibilità che i pazienti possano sperimentare impulsi intensi a spendere soldi invariamente intensi impulsi a scommettere aumentando gli impulsi sessuali e altri impulsi intensi e l'incapacità di controllare questi impulsi durante l'assunzione del parlodel. Consiglia ai pazienti e ai loro caregiver di informare il proprio operatore sanitario se sviluppano urli di gioco di spesa nuovi o aumentati impulsi sessuali o altri impulsi mentre vengono trattati con il parlodel [vedi PRECAUZIONI ].

Soprattutto durante i primi giorni di trattamento, occasionalmente si possono verificarsi reazioni ipotensive e comportare una ridotta attenzione particolare attenzione durante la guida di un veicolo o macchinari operativi.

Consiglia ai pazienti di contattare il proprio operatore sanitario se desiderano interrompere il parlodello o ridurre la dose di parlodello. Consiglia ai pazienti a cui è stata prescritta una dose più bassa o che sono stati ritirati dal farmaco per avvisare il proprio fornitore di assistenza sanitaria se hanno sintomi di astinenza come la rigidità muscolare della febbre alterata alla coscienza di apatia ansia depressione affaticamento dell'insonnia sudata o dolore (vedi dolore PRECAUZIONI ).