Le Informazioni Presenti Sul Sito Non Costituiscono Consulenza Medica. Non Vendiamo Nulla. L'Accuratezza Della Traduzione Non È Garantita. Disclaimer



Pace

Riepilogo della droga

Cos'è Mirvaso?

Il gel topico di mirvaso (brimonidina) è un agonista alfa-adrenergico usato per trattare il rossore della pelle persistente (non transiente) (eritema) di rosacea negli adulti.

Quali sono gli effetti collaterali di Mirvaso?

Gli effetti collaterali comuni di Mirvaso includono:



  • arrossamento
  • arrossamento
  • Sensazione di bruciore della pelle
  • irritazione della pelle
  • calda sensazione della pelle
  • formicolio
  • acne
  • Dolore della pelle
  • acne rosacea
  • visione sfocata
  • mal di testa
  • naso che cola o
  • nasale congestione .

Il rossore e il lavaggio della pelle possono avvenire circa 3-4 ore dopo aver applicato il gel topico mirvaso.



Dosaggio per mirvaso

Applicare una dose di dimensioni di piselli di mirvaso una volta al giorno a ciascuna delle cinque aree del viso: naso al mento della fronte centrale e ogni guancia. Il gel topico di mirvaso dovrebbe essere applicato senza intoppi e uniformemente come uno strato sottile su tutto il viso evitando gli occhi e le labbra.

Quali sostanze o integratori di farmaci interagiscono con Mirvaso?

Mirvaso può interagire con i beta-bloccanti anti-ipertensivi glicosidi cardiaci barbiturici di oppiati anestetici o inibitori della monoamina ossidasi (MAO). Dì al medico tutti i farmaci e gli integratori che usi.



puoi sovradosaggio su l di lisina

Mirvaso durante la gravidanza o l'allattamento

Di 'al medico se sei incinta o hai intenzione di rimanere incinta prima di usare Mirvaso; Non è noto se influenzerà un feto. Non è noto se Mirvaso passa nel latte materno. L'allattamento al seno durante l'utilizzo di mirvaso non è consigliato.

Ulteriori informazioni

Il nostro Centro farmacologico per gli effetti collaterali di mirvaso (brimonidine) su gel topico fornisce una visione completa delle informazioni disponibili sui farmaci sui potenziali effetti collaterali durante l'assunzione di questo farmaco.

Informazioni sui farmaci FDA

Descrizione per Mirvaso

Il gel topico di mirvaso (brimonidina) 0,33% contiene brimonidina tartrato un agonista alfa adrenergic.

La formula molecolare del tartrato di brimonidina è C 11 H 10 Brn 5 • C 4 H 6 O 6 . Ha la seguente formula strutturale:

Tartrato di brimonidina chimicamente è 5-bromo-6- (2-imidazolidinilideneamino) Quinoxalina L-tartrato. Il tartrato di brimonidina ha un peso molecolare di 442,24 e appare da bianco a polvere leggermente giallastra.

Ogni grammo di gel topico di mirvaso (brimonidina) 0,33% contiene 5 mg di tartrato di brimonidina ingrediente attivo (equivalente a 3,3 mg di base senza brimonidina) in un gel di opaco giallo a fenossia di ghioxyethole in chiaro di ingredienti invattivi di pari idioti di parrucchiere di parco neoxyethole giallo composto da waterhethaum gel di olabomerico invattivo composto da waterhethaum gel metilaben -metilaben gelmetico di ghenoxile invattivo composto da waterhetiol gel di ingredienti invattivi di parbomera idrossido e biossido di titanio.

Usi per Mirvaso

Il gel topico mirvaso (brimonidina) lo 0,33% è un agonista alfa adrenergico indicato per il trattamento topico di eritema persistente (non transiente) di rosacea negli adulti di età pari o superiore a 18 anni.

Dosaggio per mirvaso

Applicare una quantità di dimensioni di piselli una volta al giorno a ciascuna delle cinque aree del viso: naso al mento della fronte centrale ogni guancia. Il gel topico di mirvaso dovrebbe essere applicato senza intoppi e uniformemente come uno strato sottile su tutto il viso evitando gli occhi e le labbra.

Lavare le mani dopo aver applicato il gel topico mirvaso.

Il gel topico mirvaso è solo per uso topico e non per uso oftalmico orale o intravaginale.

Come fornito

Forme di dosaggio e punti di forza

Il gel topico mirvaso (brimonidina) 0,33% è un gel acquoso opaco bianco a giallo chiaro. Ogni grammo di gel contiene 5 mg di tartrato di brimonidina equivalente a 3,3 mg di base libera da brimonidina.

Archiviazione e maneggevolezza

Mirvaso (brimonidina) gel topico 0,33% è un gel opaco da bianco a giallo chiaro fornito in un tubo laminato o una pompa con un tappo resistente ai bambini nelle dimensioni seguenti:

Tubo da 30 grammi Ndc 0299-5980-30
Pompa da 30 grammi Ndc 0299-5980-35
45 grammo di grammi Ndc 0299-5980-45

Conservare le escursioni da 20 ° C a 25 ° C (da 68 ° F a 77 ° F) tramesse tra 15 ° C e 30 ° C (59 ° F e 86 ° F) [vedi temperatura ambiente controllata da USP].

Commercializzato da: Galderma Laboratories L.P. Fort Worth Texas 76177 USA. Revisionato: luglio 2016

Effetti collaterali per mirvaso

Le seguenti reazioni avverse al farmaco sono discusse in maggior dettaglio in altre sezioni dell'etichetta:

  • Reazioni avverse sistemiche degli agonisti adrenergici alfa-2 [vedi Avvertimenti e PRECAUZIONI ]
  • Reazioni avverse vasomotorie locali [vedi Avvertimenti e PRECAUZIONI ]
  • Ipersensibilità [vedi Avvertimenti e PRECAUZIONI ]

Esperienza di studi clinici

Poiché gli studi clinici sono condotti in condizioni di reazione avverse ampiamente variabili osservate negli studi clinici di un farmaco non possono essere paragonati direttamente ai tassi negli studi clinici di un altro farmaco e potrebbero non riflettere i tassi osservati nella pratica.

Durante gli studi clinici 1210 soggetti sono stati esposti al gel topico Mirvaso. Un totale di 833 soggetti sono stati trattati per eritema persistente (non transiente) associato alla rosacea e 330 di quelli sono stati trattati una volta al giorno per 29 giorni nelle prove controllate dai veicoli.

Le reazioni avverse avvenute in almeno l'1% dei soggetti trattati con gel topico miRvaso una volta al giorno per 29 giorni e per i quali il tasso per il gel topico mirvaso ha superato la velocità per il veicolo è presentata nella Tabella 1.

Tabella 1 - Reazioni avverse riportate negli studi clinici da almeno l'1% dei soggetti trattati per 29 giorni

Termine preferito Gel topico mirvaso (n = 330)
N (%)
Gel del veicolo (n = 331)
N (%)
Soggetti con almeno un numero di reazione avversa (%) dei soggetti 109 (33) 91 (28)
12 (4%) 3 (1%)
9 (3%) 0
5 (2%) 2 (1%)
3 (1%) 1 ( <1%)
3 (1%) 1 ( <1%)
3 (1%) 0
2 (1%) 1 ( <1%)
2 (1%) 1 ( <1%)
2 (1%) 0
2 (1%) 0
2 (1%) 0
Studio a lungo termine in aperto

Uno studio in aperto di gel topico di Mirvaso quando applicato una volta al giorno per un massimo di un anno è stato condotto in soggetti con eritema facciale persistente (non transiente) di rosacea. Ai soggetti è stato permesso di utilizzare altre terapie di rosacea. Un totale di 276 soggetti hanno applicato Gel topico MiRvaso per almeno un anno. Gli eventi avversi più comuni (≥ 4%dei soggetti) per l'intero studio sono stati l'eritema eritema (8%) (8%) rosacea (5%) nasofaringite (5%) sensazione di combustione della pelle (4%) aumentata la pressione intraoculare (4%) e il mal di testa (4%).

radice di pietra
Dermatite a contatto allergico

La dermatite a contatto allergico al gel topico di mirvaso è stata segnalata in circa l'1% dei soggetti in tutto il programma di sviluppo clinico. Due soggetti sono stati sottoposti a patch test con ingredienti dei singoli prodotti. Un soggetto è risultato sensibile al tartrato di brimonidina e un soggetto era sensibile al fenossietanolo (un conservante).

Esperienza post -marketing

Le seguenti reazioni avverse sono state identificate durante l'uso post-approvazione del gel topico MiRvaso. Poiché queste reazioni sono riportate volontariamente da una popolazione di dimensioni incerte, non è sempre possibile stimare la loro frequenza o stabilire una relazione causale con l'esposizione ai farmaci.

Disturbi cardiovascolari: Ipotensione bradicardia (inclusa ipotensione ortostatica)

Disturbi del sistema immunitario: l'ipersensibilità dell'angioedema labbro gonfiore della lingua gonfia della lingua orticaria

Disturbi del sistema nervoso: vertigini

Disturbi della pelle e sottocutane: pallore

Interazioni farmacologiche per Mirvaso

Anti-ipertensivi/glicosidi cardiaci

Alpha-2 agonists as a class may reduce blood pressure. Caution in using drugs such as beta-blockers anti-hypertensives and/or cardiac glycosides is advised.

Depressivi del SNC

Sebbene non siano stati condotti studi specifici per interazioni farmacologiche con gel topico Mirvaso, dovrebbe essere presa in considerazione la possibilità di un effetto additivo o potenziante con depressivi del SNC (i barbiturici di alcol sedativi o anestetici) dovrebbe essere presa in considerazione.

Inibitori della monoamina ossidasi

Gli inibitori della monoamina ossidasi (MAO) possono teoricamente interferire con il metabolismo della brimonidina e potenzialmente provocare un aumento dell'effetto collaterale sistemico come l'ipotensione. È consigliata cautela nei pazienti che assumono inibitori MAO che possono influenzare il metabolismo e l'assorbimento di ammine circolanti.

Avvertimenti per Mirvaso

Incluso come parte del 'PRECAUZIONI' Sezione

Precauzioni per Mirvaso

Potenziamento dell'insufficienza vascolare

Il gel topico di mirvaso dovrebbe essere usato con cautela nei pazienti con depressione cerebrale o insufficienza coronarica di Raynaud Ipotensione ortostatica La trombangiite obliterans scleroderma o la sindrome di Sjögren.

Malattia cardiovascolare grave

Gli agonisti adrenergici alfa-2 possono abbassare la pressione sanguigna. Il gel topico miRvaso deve essere usato con cautela nei pazienti con malattia cardiovascolare grave o instabile o non controllata.

Reazioni avverse gravi a seguito di ingestione del gel topico mirvaso

Due bambini piccoli di un soggetto in una sperimentazione clinica hanno subito gravi reazioni avverse a seguito di ingestione accidentale del gel topico Mirvaso. Le reazioni avverse vissute da uno o entrambi i bambini includevano angoscia respiratoria letargia con episodi apneici (che richiedono intubazione) seno bradicardia confusione iperattività psicomotoria e diaforesi. Entrambi i bambini sono stati ricoverati in ospedale durante la notte e dimessi il giorno seguente senza sequele.

Mantieni il gel topico Mirvaso fuori dalla portata dei bambini.

Reazioni avverse sistemiche degli agonisti alfa 2-adrenergici

Sono stati segnalati casi post -marketing di ipotensione bradicardia (incluso ipotensione ortostatica) e dizziezza. Alcuni casi hanno richiesto il ricovero in ospedale. Alcuni casi prevedevano l'applicazione di Gel topico MiRvaso in regimi di dosaggio non approvati e per indicazioni non approvate, inclusa l'applicazione del gel topico miRvaso seguendo le procedure laser. Evita di applicare il gel topico mirvaso a pelle irritata o ferite aperte.

Reazioni avverse vasomotorie locali

Eritema

Alcuni soggetti negli studi clinici hanno interrotto l'uso del gel topico Mirvaso a causa dell'eritema. Alcuni soggetti negli studi clinici hanno riportato un fenomeno di rimbalzo in cui è stato segnalato che l'eritema è tornato peggio rispetto alla gravità al basale. L'eritema sembrava risolvere dopo l'interruzione del gel topico di Mirvaso [vedi Reazioni avverse ].

L'effetto terapeutico del gel topico di mirvaso può iniziare a diminuire ore dopo l'applicazione.

Dai rapporti post -marketing alcuni pazienti hanno sperimentato eritema che coinvolge aree del viso che in precedenza non erano influenzate dall'eritema e nelle aree (ad esempio collo e torace) al di fuori dei siti di trattamento.

Arrossamento

Alcuni soggetti negli studi clinici hanno interrotto l'uso del gel topico Mirvaso a causa del lavaggio.

Il lavaggio intermittente si è verificato in alcuni soggetti trattati con gel topico miRvaso negli studi clinici. L'inizio del lavaggio rispetto all'applicazione del gel topico mirvaso variava da circa 30 minuti a diverse ore [vedi Reazioni avverse ]. Arrossamento appeared to resolve after discontinuation of Pace topical gel.

Dai rapporti post -marketing alcuni pazienti hanno sperimentato una maggiore frequenza di lavaggio e/o aumento della profondità dell'eritema con il lavaggio. Inoltre, alcuni pazienti hanno riportato un nuovo inizio di lavaggio.

Pallore e sbiancamento eccessivo

Dai rapporti post -marketing alcuni pazienti hanno sperimentato pallore o sbiancamento eccessivo all'interno o all'esterno del sito di applicazione dopo il trattamento con gel topico Mirvaso.

Ipersensibilità

La dermatite a contatto allergico è stata riportata negli studi clinici per il gel topico Mirvaso [vedi Reazioni avverse ].

Gli eventi segnalati post marketing con l'uso del gel topico mirvaso includono il gonfiore della lingua che serra la gola dell'angioedema e orticaria [vedi Reazioni avverse ]. Institute appropriate therapy E discontinue Pace topical gel if clinically significant hypersensitivity reaction occurs.

Informazioni sulla consulenza del paziente

Vedi etichettatura dei pazienti approvati dalla FDA ( Informazioni sul paziente e istruzioni per l'uso ) I pazienti che usano il gel topico mirvaso dovrebbero ricevere le seguenti informazioni e istruzioni:

  • Questo farmaco deve essere usato come diretto dal medico.
  • È solo per uso esterno.
  • Il gel topico mirvaso non deve essere applicato a pelle irritata o ferite aperte.
  • Evita il contatto con gli occhi e le labbra.
  • I pazienti devono lavarsi le mani immediatamente dopo aver applicato il farmaco.
  • Alcuni pazienti che utilizzano gel topico miRvaso possono sperimentare un eritema arrossamento o sbiancamento eccessivo.
  • I pazienti devono segnalare reazioni avverse al proprio medico.
  • Tenere fuori dalla portata dei bambini.

Tossicologia non clinica

Mutagenesi della carcinogenesi compromissione della fertilità

Carcinogenesi

In uno studio di cancerogenicità del topo orale (dieta) di 21 mesi e uno studio di cancerogenicità del ratto orale (dieta) a 24 mesi non sono stati osservati neoplasie legate al farmaco nei topi a dosi orali di tartratta di brimonidina fino a 1 giorno/giorno.

In uno studio di cancerogenicità del ratto cutaneo con gel topico miRvaso il tartrato di brimonidina è stato somministrato ai ratti Wistar a dosi topiche di 0,9 (NULL,03% di gel) 1,8 (NULL,06% di gel) e 5,4 mg/kg/giorno (NULL,18% di gel) nei maschi e 5,4 (NULL,18%) 30) durante il 1-3%) (Gel 0,36%) successivamente e 60 (gel 2%) durante i giorni 1-343/21,6 mg/kg/giorno (Gel 0,72%) successivamente nelle femmine una volta al giorno per 24 mesi. In questo studio non sono state osservate neoplasie legate al farmaco.

In uno studio topico dermico dermico di 12 mesi di dosi topiche dello 0% (veicolo di gel topico mirvaso) sono stati somministrati 0,18% 1% e 2% di gel di tartrato di brimonidina sono stati somministrati a topi albini senza peli una volta al giorno cinque giorni a settimana con esposizione concorrente alla luce solare simulata. In questo studio non sono stati osservati effetti avversi correlati al farmaco. I risultati di questo studio suggeriscono che il trattamento topico con gel topico mirvaso non migliorerebbe la foto-carcinogenesi.

Mutagenesi

Il tartrato di brimonidina non era mutageno o clastogenico in una serie di in vitro E in vivo Studi tra cui il test AMES un test di aberrazione cromosomica nelle cellule di ovaio del criceto cinese (CHO) e tre studi sui topi CD1 (un test mediato dall'ospite uno studio citogenetico e a dominante Dosaggio letale).

Compromissione della fertilità

Studi di riproduzione e fertilità nei ratti con tartrato di brimonidina non hanno dimostrato effetti avversi sulla fertilità maschile o femminile a dosi orali fino a 1 mg/kg/die.

Utilizzare in popolazioni specifiche

Gravidanza

Gravidanza Category B.

Non ci sono studi adeguati e ben controllati sul gel topico MiRvaso nelle donne in gravidanza. Negli studi sugli animali la brimonidina ha attraversato la placenta ed è entrata nella circolazione fetale in misura limitata. Il gel topico di mirvaso dovrebbe essere usato durante la gravidanza solo se il potenziale beneficio giustifica il potenziale rischio per il feto.

pericoli di prendere troppo ibuprofene

Il tartrato di brimonidina non era teratogenico quando somministrato a dosi orali fino a 2,5 mg/kg/giorno nei ratti in gravidanza durante i giorni di gestazione da 6 a 15 e 5 mg/kg/giorno in conigli incinti durante i giorni di gestazione da 6 a 18.

Madri infermieristiche

Non è noto se il tartrato di brimonidina sia escreto nel latte umano sebbene negli studi sugli animali si sia dimostrato che la brimonidina tartrate sia dimostrata escreta nel latte materno. A causa del potenziale di gravi reazioni avverse da parte del gel topico di mirvaso nei neonati infermieristici, si dovrebbe prendere una decisione se interrompere l'assistenza infermieristica o interrompere il farmaco tenendo conto dell'importanza del farmaco per la madre.

Uso pediatrico

Mantieni il gel topico Mirvaso fuori dalla portata dei bambini. Reazioni avverse gravi sono state sperimentate da due figli di un soggetto in una sperimentazione clinica che ha ingerito accidentalmente Gel topico Mirvaso [vedi Avvertimenti e PRECAUZIONI ].

La sicurezza ed efficacia nei pazienti pediatrici non è stata stabilita.

Uso geriatrico

Cento cinque soggetti di età pari o superiore a 65 anni sono stati inclusi negli studi clinici con gel topico Mirvaso. Non sono state osservate differenze complessive nella sicurezza o nell'efficacia tra soggetti ≥65 anni e soggetti per adulti più giovani. Studi clinici sul gel topico Mirvaso non includevano un numero sufficiente di soggetti di età pari o superiore a 65 anni per determinare se rispondono in modo diverso dai soggetti più giovani.

Informazioni per overdose per Mirvaso

Non sono disponibili informazioni sul sovradosaggio negli adulti con gel topico Mirvaso.

È stato riportato che le overdosi orali di altri agonisti adrenergici alfa-2 causano sintomi come ipotensione astenia vomito la sedazione letargia bradicardia aritmie miosi apnea ipotonia ipotermia depressione respiratoria e convulsioni.

Il trattamento di un sovradosaggio orale comprende una terapia di supporto e sintomatica; Dovrebbero essere mantenute una via aerea brevetti.

Controindicazioni per Mirvaso

Il gel topico di mirvaso è controindicato nei pazienti che hanno sperimentato una reazione di ipersensibilità a qualsiasi componente. Le reazioni hanno incluso l'angiedema orticaria e dermatite da contatto [vedi Avvertimenti e PRECAUZIONI E Reazioni avverse ].

Farmacologia clinica for Mirvaso

Meccanismo d'azione

La brimonidina è un agonista adrenergico alfa-2 relativamente selettivo. L'applicazione topica del gel topico mirvaso può ridurre l'eritema attraverso la vasocostrizione diretta.

Farmacocinetica

Assorbimento

L'assorbimento della brimonidina dal gel topico di mirvaso è stato valutato in uno studio clinico in 24 soggetti adulti con eritema facciale associato alla rosacea. Tutti i soggetti iscritti hanno ricevuto un'applicazione topica una volta giornaliera del gel topico MiRvaso 1 grammo all'intero viso per 29 giorni. Le valutazioni farmacocinetiche sono state eseguite il giorno 1 giorno 15 e il giorno 29. La concentrazione massima plasmatica media (CMAX) e l'area sotto la curva del tempo di concentrazione (AUC) erano più alte il giorno 15 con valori CMAX e AUC (± deviazione standard) di 46 ± 62 pg/ml e 417 ± 264 pg.hr/ml rispettivamente. L'esposizione sistemica sul farmaco era leggermente inferiore al giorno 29 che non indicava ulteriori accumuli di droga.

Metabolismo

La brimonidina è ampiamente metabolizzata dal fegato.

Escrezione

L'escrezione urinaria è la principale via di eliminazione della brimonidina e dei suoi metaboliti.

Studi clinici

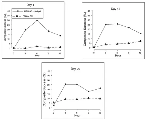
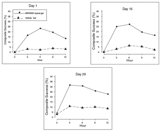
Il gel topico di mirvaso è stato valutato per il trattamento di eritema facciale persistente (non transiente) di rosacea in due studi clinici randomizzati a doppio cieco controllato dal veicolo che erano identici nel design. Le prove sono state condotte in 553 soggetti di età pari o superiore a 18 anni che sono stati trattati una volta al giorno per 4 settimane con gel o veicolo topico Mirvaso. Complessivamente il 99% dei soggetti era caucasico e il 76% era femmina. La gravità della malattia basale è stata classificata utilizzando una scala di valutazione clinica di eritema clinico a 5 punti (CEA) e una valutazione di 5 punti del paziente ( PSA ) Scala su quali soggetti hanno ottenuto un punteggio moderato o grave su entrambe le scale.

L'endpoint di efficacia primaria in entrambi gli studi fondamentali è stato il successo composito di 2 gradi definito come la proporzione di soggetti con un miglioramento di 2 gradi sia sul CEA che sul PSA misurati alle ore 3 6 9 e 12 al giorno 29. La Tabella 2 presenta i risultati di efficacia. Oltre all'efficacia del giorno 29 è stata valutata il giorno 15 e il giorno 1 e i risultati sono presentati rispettivamente nelle figure 1 e 2 per gli studi 1 e 2.

Tabella 2: Riepilogo del successo composito di livello di livello il giorno 29

Successo Studio 1 Studio 2
Gel topico mirvaso (n = 129) Gel del veicolo (n = 131) Gel topico mirvaso (n = 148) Gel del veicolo (n = 145)
Hour 3 31% 11% 25% 9%
Ora 6 30% 10% 25% 9%
Ora 9 26% 10% 18% 11%
Ora 12 23% 9% 22% 10%
Successo composito di livello di livello: miglioramento di livello di livello su CEA e miglioramento di 2 gradi sul PSA.

Figura 1: successo composito di livello di livello per ora e giorno per lo studio 1

2-grade Composite Success by Hour and Day for Study 1 - Illustration

Figura 2: successo composito di livello di livello per ora e giorno per lo studio 2

cose da fare in Nicaragua
2-grade Composite Success by Hour and Day for Study 2 - Illustration

Informazioni sul paziente per Mirvaso

Pace
(Mer-vay-soe)
(brimonidina) gel topico

Informazioni importanti: Pace® topical gel is for use on the face only. Do not use Pace topical gel in your eyes mouth or vagina.

Mantieni il gel topico Mirvaso fuori dalla portata dei bambini.

Se qualcuno in particolare un bambino ingoia accidentalmente il gel topico Mirvaso, potrebbe avere gravi effetti collaterali e deve essere curato in ospedale. Ottieni subito assistenza medica se un bambino o chiunque altro ingoia il gel topico Mirvaso e ha uno di questi sintomi:

  • Mancanza di problemi energetici che respirano o smette di respirare un battito di cuore lento la confusione che suda gli spasmi muscolari di irrequietezza o le contrazioni.

Cos'è il gel topico Mirvaso?

Pace topical gel is a prescription medicine that is used on your skin (topical) to treat facial arrossamento due to acne rosacea that does not go away (persistent) in adults who are 18 years of age or older. It is not known if Pace topical gel is safe E effective in children.

Chi non dovrebbe usare il gel topico Mirvaso?

Non usare il gel topico mirvaso se tu hanno avuto una grave reazione allergica a nessuno degli ingredienti nel gel topico di Mirvaso. Vedere la fine di questo opuscolo delle informazioni del paziente per un elenco di ingredienti nel gel topico di Mirvaso. Vedi quali sono i possibili effetti collaterali del gel topico Mirvaso?

Cosa dovrei dire al mio medico prima di usare il gel topico Mirvaso?

Prima di usare il gel topico Mirvaso racconta al tuo medico di tutte le condizioni mediche, incluso se tu:

  • avere depressione
  • avere problemi di cuore o vaso sanguigno
  • avere vertigini o problemi di pressione sanguigna
  • avere problemi con la circolazione sanguigna o avere un ictus
  • Avere la bocca secca o la sindrome di Sjögren
  • avere serraggio o scleroderma
  • avere il fenomeno di Raynaud
  • hanno pelle irritata o piaghe aperte
  • Pianificare di avere procedure laser
  • sono incinta o prevedono di rimanere incinta. Non è noto se il gel topico Mirvaso danneggerà il tuo bambino non ancora nato.
  • sono allattamento al seno. Non è noto se il gel topico mirvaso passa nel latte materno. Tu e il tuo medico dovreste decidere se userete il gel topico Mirvaso o l'allattamento al seno. Non dovresti fare entrambe le cose.

Racconta al tuo medico di tutte le medicine che prendi compresi i medicinali da banco e i prodotti per la pelle dei prodotti per la pelle e integratori a base di erbe. L'uso del gel topico miRvaso con alcuni altri medicinali può influenzare reciproci e può causare gravi effetti collaterali.

Come dovrei usare il gel topico mirvaso?

Vedere le istruzioni dettagliate per l'uso fornite con il tubo di gel topico miRvaso o la pompa per informazioni su come applicare correttamente il gel topico mirvaso.

  • Usa il gel topico Mirvaso esattamente come ti dice il medico. Non utilizzare più gel topico Mirvaso di quanto prescritto. Chiama il tuo medico se non sei sicuro.
  • Non dovresti applicare il gel topico mirvaso a pelle irritata o ferite aperte.
  • Pace topical gel is for use on your skin only. Do not use Pace topical gel in your eyes mouth or vagina. Avoid contact with your lips E eyes.

Quali sono i possibili effetti collaterali del gel topico Mirvaso?

Pace topical gel may cause serious side effects including:

  • Vedere informazioni importanti all'inizio di questo opuscolo delle informazioni del paziente.
  • Problemi con la circolazione sanguigna. Le persone che usano il gel topico mirvaso possono avere problemi con la circolazione sanguigna, tra cui una frequenza cardiaca lenta bassa pressione sanguigna E vertigini. These problems may sometimes be serious E lead to hospitalization. See Cosa dovrei dire al mio medico prima di usare il gel topico Mirvaso?
  • Reazioni allergiche gravi (ipersensibilità) sono accaduti nelle persone che usano il gel topico Mirvaso. Smetti di usare il gel topico di mirvaso e vai immediatamente al pronto soccorso dell'ospedale più vicino se si dispone dei seguenti segni e sintomi di una grave reazione allergica tra cui:
    • gonfiore della lingua o della gola
    • difficoltà a respirare
    • orticaria

Gli effetti collaterali più comuni del gel topico Mirvaso includono:

  • arrossamento
  • arrossamento
  • Sensazione di bruciore della pelle
  • Reazioni cutanee (dermatite da contatto).

Il rossore della pelle è comune dopo aver applicato il gel topico mirvaso e può essere peggiore di prima di applicarlo. Puoi anche sviluppare arrossamento su aree del viso che non sono state colpite dalla rosacea e sul collo e sul petto.

Il lavaggio della pelle è comune e può accadere e acceso dopo aver applicato il gel topico mirvaso. In alcuni casi il lavaggio può essere nuovo può avvenire più spesso o potresti aver aumentato il rossore con il lavaggio.

La pelle di colore pallido o la pelle molto bianca (sbiancamento eccessivo) possono verificarsi presso o all'esterno dell'area trattata.

come prendere l'omeprazolo 20 mg

Dì al tuo medico se ottieni arrossamento della pelle e pelle di colore pallido che ti è scomodo per te.

Questi non sono tutti i possibili effetti collaterali del gel topico Mirvaso.

Chiama il medico per consigli medici sugli effetti collaterali. È possibile segnalare gli effetti collaterali alla FDA al numero 1-800-FDA-1088.

Informazioni generali sull'uso sicuro ed efficace del gel topico mirvaso

Le medicine sono talvolta prescritte a fini diversi da quelli elencati in un volantino delle informazioni del paziente. Puoi chiedere informazioni al farmacista o al medico sul gel topico Mirvaso scritto per gli operatori sanitari. Non utilizzare il gel topico Mirvaso per una condizione per la quale non è stato prescritto. Non dare un gel topico Mirvaso ad altre persone anche se hanno gli stessi sintomi che hai. Potrebbe danneggiare loro.

Quali sono gli ingredienti nel gel topico di Mirvaso?

Ingrediente attivo: brimonidina

Ingredienti inattivi: omopolimero di carbomero di tipo B glicerina metilparaben fenossietanolo propilenico glicole glicole purificato idrossido di idrossido di idrossido di sodio.