Le Informazioni Presenti Sul Sito Non Costituiscono Consulenza Medica. Non Vendiamo Nulla. L'Accuratezza Della Traduzione Non È Garantita. Disclaimer
EmostaticaKcentra
Riepilogo della droga
Cos'è Kcentra?
Il concentrato del complesso di protrombina di kcentra (umano) contiene la vitamina K dipendente Coagulazione Fattori II VII IX e X e le proteine antitrombotiche C e S e vengono utilizzati per l'inversione urgente della carenza di fattore di coagulazione acquisita indotta dall'antagonista della vitamina K (VKA, ad esempio warfarin) in pazienti adulti con sanguinamento grave acuto.
Quali sono gli effetti collaterali di Kcentra?
Gli effetti collaterali comuni del concentrato del complesso di protrombina di Kcentra includono
- mal di testa
- nausea
- vomito
- Dolore articolare
- bassa pressione sanguigna (ipotensione) e
- bassi livelli di ferro nel sangue ( anemia )
Dosaggio per kcentra?
La dose di KCENTRA è individualizzata in base all'attuale valore internazionale di rapporto normalizzato (INR) del paziente e al peso corporeo.
Quali sostanze o integratori di farmaci interagiscono con Kcentra?
Kcentra può interagire con altri farmaci. Dì al medico tutti i farmaci e gli integratori che usi.
Kcentra durante la gravidanza e l'allattamento
Durante la gravidanza Kcentra dovrebbe essere usato solo se prescritto. Non è noto se questo farmaco passi nel latte materno. Consulta il medico prima dell'allattamento al seno.
Ulteriori informazioni
Il nostro Centro farmacologico per gli effetti collaterali del complesso di protrombina di protrombina KCENTRA fornisce una visione completa delle informazioni disponibili sui farmaci sui potenziali effetti collaterali durante l'assunzione di questo farmaco.
Informazioni sui farmaci FDA
- Descrizione del farmaco
- Indicazioni
- Effetti collaterali
- Avvertimenti
- Overdose
- Farmacologia clinica
- Guida ai farmaci
AVVERTIMENTO
Complicanze tromboemboliche arteriose e venose
Ciò che è ciprofloxacina usata per 500 mg
I pazienti trattati con terapia antagonisti della vitamina K (VKA) hanno stati patologici sottostanti che li predispongono agli eventi tromboembolici. I potenziali benefici dell'inversione della VKA dovrebbero essere valutati rispetto ai potenziali rischi di eventi tromboembolici (TE), specialmente nei pazienti con la storia di un evento tromboembolico. La ripresa dell'anticoagulazione dovrebbe essere attentamente considerata non appena il rischio di eventi tromboembolici supera il rischio di sanguinamento acuto.
Le complicanze tromboemboliche arteriose e non fatali e non fatali sono state riportate con KCENTRA in studi clinici e sorveglianza post marketing. Monitorare i pazienti che ricevono KCentra per segni e sintomi di eventi tromboembolici. (5.2)
Kcentra non è stato studiato in soggetti che hanno avuto un evento tromboembolico infarto miocardico diffuso coagulazione intravascolare coagulazione cerebrale incidente transitorio transitorio attacco ischemico
Descrizione per kcentra
KCENTRA è un concentrato complesso di protrombina a quattro fattori (umano) a quattro fattori (umano) preparato dal plasma di sorgente USA (21 CFR 640). Contiene i fattori di coagulazione dipendenti dalla vitamina K II VII IX e X
Il contenuto del prodotto è mostrato nella Tabella 7 ed elencati come intervalli per i fattori di coagulazione del sangue.
Tabella 7: composizione per fiala di kcentra 500 unità*
| Ingrediente | KCENTRA 500 unità |
| Proteina totale | 120 - 280 mg |
| 380 - 800 unità | |
| 200 - 500 unità | |
| 400 - 620 unità | |
| 500 - 1020 unità | |
| 420 - 820 unità | |
| 240 - 680 unità | |
| Eparina | 8 - 40 unità |
| Antitrombina III | 4 - 30 unità |
| Album | 40 - 80 mg |
| Cloruro di sodio | 60 - 120 mg |
| Citrato di sodio | 40 - 80 mg |
| HCl | Piccole quantità |
| Naoh | Piccole quantità |
| * La potenza esatta delle proteine coagulanti e antitrombotiche è elencata sul cartone |
Tutto il plasma utilizzato nella produzione di KCentra è ottenuto dai donatori statunitensi e viene testato utilizzando saggi sierologici per l'antigene di superficie dell'epatite B e gli anticorpi per HIV-½ e HCV. Il plasma viene testato con test di acido nucleico (NAT) per HCV HIV-1 HAV e HBV
Il processo di produzione di KCENTRA include vari passaggi che contribuiscono alla riduzione/ inattivazione dei virus. KCENTRA è prodotto con plasma impoverito di crio che viene adsorbito tramite calore di cromatografia a scambio ionico trattata in soluzione acquosa per 10 ore a 60 ° C precipitato adsorbito al virus del fosfato di calcio filtrato e liofilizzato.
Queste fasi di produzione sono state validate in modo indipendente in una serie di esperimenti in vitro per la loro capacità di inattivazione / riduzione del virus per virus sia avvolti che non avvolti. La tabella 8 mostra la clearance del virus durante il processo di produzione per KCentra
Tabella 8: fattori di riduzione del virus [log10] di Kcentra
| Virus studiato | Passi di produzione | Riduzione complessiva del virus [log 10 ] | |||||
| Crio-precipitazione | De-ae-adsorbimento (cromatografia a scambio ionico) | Trattamento termico (pastorizzazione) | Precipitazione del solfato di ammonio seguito dall'adsorbimento del fosfato di Ca | Filtrazione 75/35 nm | Liofilizzazione | ||
| Virus avvolti | |||||||
| HIV | n.d. | n.d | ≥ 6,9 | ≥ 5,9 | ≥ 7,3 | n.d. | ≥ 20.1 |
| Bvdv | n.d. | n.d | ≥ 8,5 | 2.2 | 4.2 | n.d. | ≥ 14,9 |
| Prv | n.d. | n.d | 4.1 | 7.2 | ≥ 6,8 | n.d. | ≥ 18.1 |
| Wnv | n.d. | n.d. | ≥ 7,4 | n.d. | n.d. | n.d. | ≥ 4 |
| Virus non avvolti | |||||||
| Hav | n.d | n.d | 4.0 | 1.8 | n.d. | 2.2 | 8.0 |
| CPV | 1.3 | [0,5]* | 1.5 | n.d. | n.d. | 2.8 | |
| * Il fattore di riduzione inferiore a 1 Log10 non è stato considerato nel calcolo della riduzione complessiva del virus. Gli studi che utilizzano il parvovirus umano B19 che sono considerati di natura sperimentale hanno dimostrato un fattore di riduzione del virus di 3,5 Log10 mediante il trattamento termico. HIV Human immunodeficiency virus a model for HIV-1 E HIV-2 Bvdv bovine viral diarrhea virus model for HCV Prv Pseudorabies virus a model for large enveloped DNA viruses Wnv West Nile virus Hav Hepatitis A virus CPV canine parvovirus model for B19V n.d. non determined |
Usi per kcentra
KCentra (concentrato complesso di protrombina (umano)) è un prodotto di sostituzione del fattore di coagulazione del sangue indicato per l'inversione urgente della carenza di fattore di coagulazione acquisita indotta dall'antagonista della vitamina K (VKA, ad esempio warfarin) in pazienti adulti con:
- sanguinamento maggiore acuto o
- Necessità di un intervento chirurgico urgente/procedura invasiva.
Dosaggio per kcentra
Per uso endovenoso solo dopo la ricostituzione.
Dosaggio
- La misurazione di INR prima del trattamento e vicino al tempo di dosaggio è importante perché i fattori di coagulazione possono essere instabili nei pazienti con sanguinamento grave acuto o una necessità urgente di un intervento chirurgico e altre procedure invasive.
- Individuare il dosaggio di KCENTRA in base all'attuale valore internazionale di rapporto normalizzato (INR) del paziente (vedere il peso corporeo (vedere la Tabella 1).
- La potenza effettiva per fiala dei fattori II VII IX e X proteine C e S è dichiarata sul cartone.
- Somministrare la vitamina K contemporaneamente ai pazienti che hanno ricevuto KCentra. La vitamina K viene somministrata per mantenere i livelli di fattori di coagulazione dipendenti dalla vitamina K una volta diminuiti gli effetti di KCentra.
- La sicurezza e l'efficacia del dosaggio ripetuto non sono state stabilite e non è raccomandata.
- La dose che varia all'interno di gruppi INR pretrattamenti non è stata studiata in studi clinici randomizzati di KCENTRA.
Tabella 1: dosaggio richiesto per l'inversione dell'anticoagulazione VKA in pazienti con sanguinamento acuto maggiore o necessità di una chirurgia urgente/procedura invasiva
| Pre-trattamento INR | 2- <4 | 4-6 | > 6 |
| Dose * di Kcentra (unità † di fattore IX) / kg di peso corporeo | 25 | 35 | 50 |
| Dose massima ‡ (Unità del fattore IX) | Non superare i 2500 | Non superare i 3500 | Non superare i 5000 |
| *Il dosaggio si basa sul peso corporeo. La dose in base alla potenza effettiva è dichiarata sulla fiala che varierà da 20 a 31 unità IX/mL dopo la ricostituzione. La potenza effettiva per 500 unità di fiala varia da 400-620 unità/fiala. La potenza effettiva per 1000 unità di fiala varia da 800-1240 unità/fiala. † Le unità si riferiscono alle unità internazionali. ‡ Dose is based on body weight up to but non exceeding 100 kg. For patients weighing more than 100 kg maximum dose should non be exceeded. |
Esempio di calcolo del dosaggio per paziente da 80 kg
Ad esempio un paziente da 80 kg con una base di INR di 5,0 la dose sarebbe 2800 unità di fattore IX di KCentra calcolate come segue in base all'intervallo INR di 4-6 Vedi Tabella 1:
35 unità del fattore IX/kg × 80 kg = 2800 unità di fattore IX richiesto 1
1 Per una fiala con una potenza effettiva di 30 unità/Ml Factor IX 93 ml verrebbe fornita (2800 U/30 U per ml = 93 ml).
Monitorare l'INR e la risposta clinica durante e dopo il trattamento. Negli studi clinici KCENTRA ha ridotto l'INR a ≤ 1,3 entro 30 minuti nella maggior parte dei soggetti. La relazione tra questo o altri valori INR e l'emostasi clinica nei pazienti non è stata stabilita [vedi Studi clinici ].
Preparazione e ricostituzione
- Ricostituire KCentra mediante tecnica asettica con 20 ml (kit nominale 500 U) o 40 ml (kit nominale 1000 U) di acqua sterile per iniezione (diluente) fornito nel kit.
- Non utilizzare Kcentra oltre la data di scadenza sull'etichetta della fiala e sul cartone.
- KCentra è solo per dose monodosa. Non contiene conservanti. Scartare fiale parzialmente usate.
Istruzioni per la ricostituzione di KCENTRA
|
Fig. 1
|
Fig. 2
|
Fig. 3
|
Fig. 4
Nota: Se il vuoto nella fiala di Kcentra viene accidentalmente perso durante la ricostituzione con il dispositivo mix2vial, il trasferimento con la miscelaval non funzionerà.
In questo caso separare il set in due pezzi come illustrato in Fig. 6 di seguito; Non scartare la fiala diluente. Metti da parte la fiala di Kcentra su una superficie piana. Rimuovere l'estremità dell'adattatore blu dalla fiala diluente del set di mix2viale (Fig. 5) sollevando e piegando l'adattatore blu sul lato fino a quando non si disconnette dalla fiala diluente.
Per la ricostituzione:
|
Fig. 5
|
Fig. 6
|
Fig. 7
|
Fig. 8
|
Fig. 9
Fig. 10
- Assicurarsi che la fiala di Kentra e la fiala diluente siano a temperatura ambiente.
- Rimuovere i cappucci di lancio dalle fiale di kcentra e diluenti.
- Pulisci i tappi con il tampone di alcol fornito e lascia asciugare prima di aprire il pacchetto mix2vial.
- Apri il pacchetto mix2viale staccando il coperchio (Fig. 1). Fare non Rimuovere il mix2vial dal pacchetto blister.
- Posizionare il Fial diluente su una superficie uniforme e tieni stretta la fiala. Prendi il mix2vial insieme al pacchetto blister e spingi il picco del blu Adattatore End dritto verso il basso attraverso il tappo della fiala diluente (Fig. 2).
- Rimuovere con cura il pacchetto blister dal set mix2vial tenendo sul bordo e tirando verticalmente verso l'alto. Assicurati di estrarre solo il pacchetto di blister e non il set di mix2vial (Fig. 3).
- Posizionare il KCENTRA ROAD Su una superficie uniforme e ferma. Invertire la fiala diluente con il set mix2viale attaccato e spingere il picco del trasparente Adattatore End dritto verso il basso Attraverso il tappo della fiala di Kcentra (Fig. 4). Il diluente scorrerà automaticamente nella fiala di Kcentra.
- Utilizzando un ago sterile separato e siringa ritirare il diluente rimanente. Rimuovere l'ago dalla siringa.
- Attaccare la siringa all'adattatore trasparente della fiala di Kcentra, come illustrato nella Figura 8 di seguito e trasferire l'intero volume diluente nella fiala di Kcentra. Rimuovere la siringa.
- Twiring delicatamente la fiala di Kcentra per garantire che il prodotto sia completamente sciolto. Non agitare.
- Procedere al passaggio 10.
- Con una mano afferra il Kcentra -Side del set mix2viale e con l'altra mano afferra il lato diluente e svita il set attentamente in senso antiorario in due pezzi (Fig. 6). Scartare la fiala diluente con l'adattatore blu mix2viale attaccato.
- Twiring delicatamente la fiala di Kcentra con l'adattatore trasparente attaccato fino a quando la sostanza non è completamente sciolta (Fig. 7). Non agitare.
- Disegna aria in una siringa sterile vuota. Mentre la fiala di Kcentra è in posizione verticale, collegare la siringa al raccordo di blocco Luer di Mix2vial avvitando in senso orario. Iniettare aria nella fiala di Kcentra (Fig. 8).
- Mentre mantiene premuto lo stantuffo della siringa capovolgi il sistema e disegna la soluzione nella siringa tirando indietro lentamente lo stantuffo (Fig. 9).
- Ora che la soluzione è stata trasferita nella siringa si aggrappa saldamente alla canna della siringa (mantenendo lo stantuffo della siringa rivolto verso il basso) e scollegare l'adattatore trasparente della mix2vale dalla siringa senza sosta in senso antiorario (Fig. 10). Allegare la siringa a un set di somministrazione endovenoso adatto.
- Dopo l'amministrazione della ricostituzione dovrebbe iniziare prontamente o entro 4 ore.
- Se lo stesso paziente deve ricevere più di una fiala, è possibile raggruppare il contenuto di più fiale. Utilizzare un set di trasferimento mix2vale non utilizzato separato per ciascuna fiala del prodotto.
Amministrazione
- Non mescolare Kcentra con altri prodotti medicinali; somministrare attraverso una linea di infusione separata.
- Ispezionare visivamente la soluzione ricostituita per il particolato e lo scolorimento prima della somministrazione ogni volta che la soluzione e il permesso del contenitore. La soluzione di KCENTRA ricostituita dovrebbe essere incolore chiara a leggermente opalescente e libera da particelle visibili. Non utilizzare se la soluzione è scolorita nuvolosa o contiene particelle.
- Usa la tecnica asettica durante la somministrazione di kcentra.
- Amministrare a temperatura ambiente.
- Somministrare per infusione endovenosa ad una velocità di 0,12 ml/kg/min (~ 3 unità/kg/min) fino a un tasso massimo di 8,4 ml/min (~ 210 unità/min).
- Nessun sangue dovrebbe entrare nella siringa in quanto esiste la possibilità di formazione di coaguli di fibrina.
Come fornito
Dosaggio Forms And Strengths
- Kcentra is available as a white or slightly colored lyophilized concentrate in a single-dose vial containing coagulation Factors II VII IX E X E antithrombotic Proteins C E S.
- Kcentra potency (units) is defined by Fattore IX content. The actual potency for 500 unit vial ranges from 400-620 Fattore IX units/vial. The actual potency for 1000 unit vial ranges from 800-1240 Fattore IX units/vial. The actual content of Fattore IX as measured in units of potency for the vial before reconstitution is stated by the expiration date. When reconstituted the final concentration of drug product in Fattore IX units will be in a range from 20–31 units/mL.
- Le unità effettive di potenza per ciascun fattore di coagulazione (fattori II VII IX e X) e le proteine C e S sono dichiarate sul cartone.
Archiviazione e maneggevolezza
- Kcentra is supplied in a single-dose vial.
- Le unità effettive di potenza di tutti i fattori di coagulazione (fattori II VII IX e X) C e S nelle unità sono dichiarate su ciascun cartone KCentra.
- I componenti dell'imballaggio KCENTRA non sono realizzati con lattice in gomma naturale.
Ogni kit è costituito da quanto segue:
| Cartone Ndc Numero | Componenti |
| 63833-386-02 |
|
| 63833-387-02 |
|
Prima della ricostituzione
- Kcentra is for single-dose only. Contains no preservatives.
- Conservare KCentra tra 2-25 ° C (36–77 ° F) Include che la temperatura ambiente non supera i 25 ° C (77 ° F). Non congelare.
- Kcentra is stable for 36 months from the date of manufacture up to the expiration date on the carton E vial labels.
- Non utilizzare Kcentra oltre la data di scadenza sull'etichetta della fiala e sul cartone.
- Conservare la fiala nel cartone originale per proteggerlo dalla luce.
Dopo la ricostituzione
Kcentra must be used within 4 hours following reconstitution. Reconstituted Kcentra can be stored at 2-25°C. If cooled the solution should be warmed to 20–25°C prior to administration. Do non freeze. Discard partially used vials.
Prodotto da: CSL Behring GmbH 35041 Marburg Germany. Reviso Revised 2020.
Effetti collaterali per Kcentra
Le reazioni avverse più comuni (ARS) (frequenza ≥2,8%) osservate nei soggetti che ricevevano kcentra erano la nausea/ipotensione di vomito e l'anemia.
Gli AR più gravi sono stati gli eventi tromboembolici tra cui embolia polmonare con ictus e trombosi vena profonda.
Le seguenti gravi reazioni avverse sono descritte di seguito e/o altrove nell'etichettatura:
- Reazioni di ipersensibilità [vedi AVVERTIMENTOS AND PRECAUTIONS ]
- Complicanze tromboemboliche arteriose e venose [vedi Avvertenza della scatola E AVVERTIMENTOS AND PRECAUTIONS ]
- Possibile trasmissione di agenti infettivi [vedi AVVERTIMENTOS AND PRECAUTIONS ]
Esperienza di studi clinici
Poiché gli studi clinici sono condotti in condizioni di reazione avverse ampiamente variabili osservate negli studi clinici di un farmaco non possono essere paragonati direttamente ai tassi negli studi clinici di un altro farmaco e potrebbero non riflettere i tassi osservati nella pratica.
Studio randomizzato controllato dal plasma in un sanguinamento grave acuto
In una prospettiva sperimentazione di non-inferiorità multicentrica di non-inferiori a controllata attivo a attiva attivo, che richiedevano un inversione urgente della terapia VKA a causa di un sanguinamento acuto principali erano arruolati e randomizzati al trattamento; 103 sono stati trattati con kcentra e 109 con plasma. I soggetti con una storia di un evento trombotico infarto miocardico infarto cerebrale incidente cerebrale transitorio ischemico attacco instabile angina pectoris grave malattia vascolare periferica o coagulazione intravascolare disseminata nei 3 mesi precedenti sono stati esclusi dalla partecipazione. I soggetti hanno un'età compresa tra 26 anni a 96 anni.
Studio randomizzato controllato dal plasma in chirurgia urgente/procedure invasive
In una prospettiva sperimentazione di non-inferiorità multicentrica di non-inferiori a controllata attivo a attiva attivo, che richiedevano un inversione urgente della terapia VKA a causa della necessità di una procedura urgente chirurgica o invasiva urgente; 88 sono stati trattati con kcentra e 88 con plasma. I soggetti hanno un'età di 27 anni a 94 anni.
Le reazioni avverse sono riassunte per KCentra e plasma nei principali sanguinamenti acuti e di chirurgia urgente/procedure invasive RCT (vedere la Tabella 2).
Le reazioni avverse sono definite come eventi avversi che sono iniziati o entro 72 ore dall'infusione del prodotto di test più eventi avversi considerati eventualmente/probabilmente correlati o correlati al trattamento dello studio secondo lo sponsor dell'investigatore o la scheda di giudizio sulla sicurezza in cieco (SAB) e con almeno una differenza di 1,3 volte tra i trattamenti.
Tabella 2: reazioni avverse riportate in più di 5 soggetti (≥2,8%) dopo la somministrazione di KCENTRA o plasma in RCTS
| No. (%) dei soggetti | ||
| Kcentra (N = 191) | Plasma (N = 197) | |
| Disturbi del sistema nervoso | ||
| 14 (NULL,3%) | 7 (NULL,6%) | |
| Disturbi toracici e mediastinali respiratori | ||
| 8 (NULL,2%) | 3 (NULL,5%) | |
| 7 (NULL,7%) | 10 (NULL,1%) | |
| 3 (NULL,6%) | 10 (NULL,1%) | |
| Disturbi gastrointestinali | ||
| 12 (NULL,3%) | 8 (NULL,1%) | |
| 4 (NULL,1%) | 7 (NULL,6%) | |
| Disturbi cardiaci | ||
| 9 (NULL,7%) | 2 (NULL,0%) | |
| 8 (NULL,2%) | 6 (NULL,0%) | |
| Metabolismo e disturbi nutrizionali | ||
| 5 (NULL,6%) | 16 (NULL,1%) | |
| 9 (NULL,7%) | 14 (NULL,1%) | |
| Disturbi psichiatrici | ||
| 9 (NULL,7%) | 6 (NULL,0%) | |
| Disturbi vascolari | ||
| † | 14 (NULL,3%) | 10 (NULL,1%) |
| Avvelenamento da infortunio e complicanze procedurali | ||
| 8 (NULL,2%) | 5 (NULL,5%) | |
| Disturbi del sangue e linfatici | ||
| ‡ | 11 (NULL,8%) | 16 (NULL,1%) |
| *Include sovraccarico di fluidi e congestizio di insufficienza cardiaca † Include ipotensione di ipotensione ortostatica e shock emorragico ‡ Include l'emoglobina di anemia diminuita e l'ematocrito è diminuita |
Le gravi reazioni avverse nei soggetti che ricevevano KCentra in entrambi i RCT includevano trombosi Cerebrovascolare ischemica (ictus) Trombosi TVT e insufficienza venosa. Le gravi reazioni avverse in entrambi gli RCT per plasma includevano insufficienza edema edema polmonare edema polmonare edema polmonare edema cerebrale di infarto embolico di infarto di infarto edebrale.
C'erano un totale di 10 soggetti (NULL,7%) che sono morti nel gruppo di KCentra (1 ulteriore morte si è verificata il giorno 46 subito dopo il completamento del periodo di riferimento dello studio) e il 5 (NULL,6%) che è morto nel gruppo plasmatico nel RCT controllato dal plasma nel sanguinamento acuto. L'intervallo di confidenza del 95% per il kcentra meno la differenza tra i gruppi di decessi variava dal -2,7% al 13,5%. Dall'RCT controllato dal plasma nella chirurgia urgente/procedure invasive c'erano un totale di 3 soggetti (NULL,4%) che sono morti nel gruppo KCentra (1 ulteriore morte si è verificata il giorno 48 dopo il completamento del periodo di riferimento dello studio) e 8 (NULL,1%) che sono morti nel gruppo plasmatico. L'intervallo di confidenza del 95% per il kcentra meno la differenza tra i gruppi di morti in questo processo variava dal -14,6% al 2,7%. Una morte nel gruppo KCENTRA nell'RCT in grave sanguinamento acuto e una morte nel gruppo plasmatico nella RCT nella chirurgia urgente/procedure invasive sono state considerate possibilmente correlate al trattamento dello studio secondo una valutazione dei dati mascherati da parte di un comitato di aggiudicazione della sicurezza indipendente. Non sono stati identificati fattori comuni a tutti i decessi, tranne per i risultati frequenti di un carico di comorbidità elevato, età avanzata e morte dopo essere stati collocati in cure di comfort. Although a greater proportion of subjects in the RCT in acute major bleeding than in the RCT in surgery/invasive procedure received the highest two recommended doses of KCENTRA because more subjects in the trial in acute major bleeding had a baseline INR in the ranges of 4– 6 and > 6.0 an analysis of deaths and factor levels in subjects with major bleeding revealed that subjects who died had similar median factor levels to subjects that did not die. Inoltre, i valori anomali con livelli di fattori suprafisiologici non avevano un tasso di mortalità in linea con la popolazione complessiva.
Sovraccarico fluido
C'erano 9 soggetti (NULL,7% tutti non correlati dalla valutazione degli investigatori) nel gruppo KCENTRA che hanno avuto un sovraccarico di fluidi nei RCT di plasmaControrled in un sanguinamento grave acuto e una chirurgia urgente/procedure invasive e 25 (NULL,7% 13 eventi correlati dalla valutazione degli investigatori) che hanno avuto un sovraccarico fluido nel gruppo Plasma. L'intervallo di confidenza del 95% per il kcentra meno la differenza tra i gruppi nell'incidenza degli eventi di sovraccarico di fluidi variava dal -14,1% al -2,0%.
Le analisi dei sottogruppi degli RCT nei principali sanguinamenti acuti e di chirurgia urgente/procedure invasive in base al fatto che i soggetti con eventi di sovraccarico fluido avessero una precedente storia di insufficienza cardiaca congestizia nella Tabella 3.
Tabella 3: soggetti con eventi di sovraccarico di fluidi per precedente storia di insufficienza cardiaca congestizia negli RCT
| Sottogruppo | Studio di sanguinamento principale acuto | Surgery urgente /procedure invasive Studio | ||||||
| Kcentra | Plasma | Kcentra | Plasma | |||||
| N | Fluido Sovraccarico N (%) | N | Fluido Sovraccarico N (%) | N | Fluido Sovraccarico N (%) | N | Fluido Sovraccarico N (%) | |
| Tutti i soggetti | 103 | 6 (5.8) | 109 | 14 (NULL,8) | 88 | 3 (3.4) | 88 | 11 (12.5) |
| 46 | 4 (8.7) | 44 | 11 (25.0) | 24 | 1 (4.2) | 36 | 1 (4.2) | |
| 57 | 2 (3.5) | 65 | 3 (4.6) | 64 | 2 (3.1) | 52 | 5 (9.6) |
Eventi tromboembolici
Nei RCT c'erano 13 soggetti (NULL,8%) nel gruppo KCENTRA che hanno avuto possibili eventi tromboembolici (TEES) e 14 (NULL,1%) che avevano le magliette nel gruppo plasmatico. L'incidenza delle reazioni avverse tromboemboliche (TE) valutate come almeno possibilmente correlate al trattamento dello studio da parte dell'investigatore o in caso di eventi tromboembolici gravi, la commissione di giudizio in cieco in cieco (SAB) era 9 (NULL,7%) nel gruppo KCentra e 7 (NULL,6%) nel gruppo Plasma. Quando si considerano anche gli eventi iniziati durante o entro 72 ore dall'infusione del prodotto di prova, l'incidenza era di 9 (NULL,7%) nel gruppo KCENTRA e 8 (NULL,1%) nel gruppo plasmatico.
Gli eventi TE osservati nel sanguinamento principale acuto e nelle procedure di chirurgia/invasive urgenti sono mostrati nella Tabella 4.
Tabella 4: reazioni avverse (solo tees) dopo Kentra o somministrazione di plasma in RCT
cose da fare a Città del Messico
| Classe di organi di sistema | No. (%) dei soggetti | |||
| Studio di sanguinamento principale acuto | Studio di chirurgia urgente/procedure invasive | |||
| Kcentra (N = 103) | Plasma (N = 109) | Kcentra (N = 88) | Plasma (N = 88) | |
| Qualsiasi possibile maglietta* | 9 (NULL,7%) | 6 (NULL,5%) | 4 (4.5) | 8 (9.1) |
| Reazioni avverse a tee | 6 (NULL,5%) | 4 (NULL,7%) | 4 (4.5) | 4 (4.5) |
| Disturbi cardiaci | ||||
| 0 | 1 (NULL,9%) | 0 | 2 (2.3) | |
| 0 | 2 (NULL,8%) | 0 | 0 | |
| Disturbi del sistema nervoso | ||||
| (colpo) | 2 (NULL,9%) | 0 | 1 (1.1) | 0 |
| 0 | 0 | 0 | 1 (1.1) | |
| 0 | 1 (NULL,9%) | 0 | 0 | |
| Disturbi vascolari | ||||
| 1 (NULL,0%) | 0 | 0 | 0 | |
| 0 | 0 | 1 (1.1) | 0 | |
| dita dei piedi) | 0 | 0 | 1 (1.1) | 0 |
| 1 (NULL,0%) | 0 | 1 (1.1) | 1 (1.1) | |
| 1 (NULL,0%) | 0 | 0 | 0 | |
| Causa sconosciuta di morte (TEE non confermata)) | ||||
| 1 (NULL,0%) | 0 | 0 | 0 | |
| *La tabulazione di possibili tees include soggetti con tee confermate e 3 soggetti nel gruppo acuto di bioedicie che morì per cause sconosciute nei giorni 7 31 e 38 e 1 soggetto nel chirurgia urgente/procedure invasive e di reazione al plasma rct come un gruppo di reazioni avverse. |
Sottogruppo analyses of the RCTs according to whether subjects with thromboembolic events had a prior history of a thromboembolic event are presented in Table 5.
Tabella 5: soggetti con eventi tromboembolici per precedente evento TE in RCTS
| Studio di sanguinamento principale acuto | Studio di chirurgia urgente/procedure invasive | |||||||
| Kcentra | Plasma | Kcentra | Plasma | |||||
| N | TE Events* N (%) | N | Eventi TE N (%) | N | TE Events* N (%) | N | Eventi TE N (%) | |
| Tutti i soggetti | 103 | 9 (8.7) | 109 | 6 (NULL,5) | 88 | 4 (4.5) | 88 | 8 (9.1) |
| † | 69 | 8 (11.6) | 79 | 3 (3.8) | 55 | 3 (NULL,5) | 62 | 5 (8.1) |
| 34 | 1 (2.9) | 30 | 3 (10.0) | 33 | 1 (3.0) | 26 | 3 (11.5) | |
| *Un soggetto aggiuntivo nel principale RCT sanguinante acuto che aveva ricevuto Kcentra non elencato nel tavolo aveva una trombosi venosa degli arti superiori in associazione con un catetere interno. Altri due soggetti nella chirurgia urgente/procedure invasive RCT che avevano ricevuto KCentra non elencate nella tabella hanno avuto eventi non-intravascolari (inserimento del filtro per catetere/IVC). † Storia del precedente evento TE superiore a 3 mesi dall'ingresso dello studio (evento TE entro 3 mesi non studiato). |
Lo studio di sanguinamento e chirurgico europeo
In una prospettiva sperimentazione multicentrica e di efficacia multicentrica a marciale a marcia singola 17 soggetti che richiedevano un inversione urgente di VKA a causa del sanguinamento acuto erano iscritti e erano stati trattati 26 soggetti che richiedevano un inversione urgente dell'antagonista della vitamina K a causa della necessità di una procedura chirurgica/invasiva urgente che fossero state trattate con KCentra. I soggetti hanno un'età compresa tra 22 e 85 anni. Le gravi reazioni avverse considerate forse correlate a KCentra includevano un sospetto embolia polmonare che si è verificato in un soggetto a seguito di una seconda dose di KCentra. Un singolo evento TE non fatale si è verificato in un altro soggetto trattato con KCentra in quello studio.
Esperienza post -marketing
Nessuna reazione avversa diversa da quelle affrontate [vedi AVVERTIMENTOS AND PRECAUTIONS E Reazioni avverse ] sono stati osservati nell'uso post -marketing di KCentra al di fuori degli Stati Uniti dal 1996.
Interazioni farmacologiche per Kcentra
Nessuna informazione fornita
Avvertimenti per Kcentra
Incluso come parte del 'PRECAUZIONI' Sezione
Precauzioni per Kcentra
Reazioni di ipersensibilità
Le reazioni di ipersensibilità, tra cui l'ansia da tachicardia, l'ansia di ansia, l'ansia, che si veniva di ipotensione di vomito di nausea di nausea, è stata osservata con KCentra, sono stati osservati con KCentra.
Se si verificano gravi reazioni allergiche o reazioni di tipo anafilattico interrompere immediatamente la somministrazione e l'istituzione di un trattamento adeguato.
Rischio/complicanze tromboemboliche
Eventi tromboembolici arteriosi sia fatali che non fatali (incluso l'infarto miocardico acuto e la trombosi arteriosa) e gli eventi tromboembolici venosi (incluso l'embolia polmonare e la trombosi venosa) e la coagulazione intravascolare diffusa sono stati riportati con KCentra e la sorveglianza post-marketing [vedi la sorveglianza del marketing [See See Reazioni avverse E Studi clinici ]. I pazienti trattati con terapia VKA hanno stati patologici sottostanti che li predispongono agli eventi tromboembolici. L'inversione della terapia VKA espone i pazienti al rischio tromboembolico della loro malattia sottostante. La ripresa dell'anticoagulazione dovrebbe essere attentamente considerata dopo la somministrazione di kcentra e vitamina K una volta che il rischio di eventi tromboembolici supera il rischio di sanguinamento.
Gli eventi tromboembolici si sono verificati più frequentemente a seguito di KCENTRA rispetto al plasma in uno studio randomizzato controllato in plasma in soggetti che richiedevano un inversione urgente di anticoagulazione VKA a causa del sanguinamento acuto e di queste differenze e l'eccesso negli eventi tromboembolici era più pronunciato tra i soggetti che avevano una storia di eventi tromboembolici acuti, sebbene non fossero significativamente significative [vedi significativi [vedi. Reazioni avverse E Studi clinici ]. I potenziali benefici del trattamento con KCentra dovrebbero essere valutati rispetto ai potenziali rischi di eventi tromboembolici [vedi Reazioni avverse ]. Patients with a history of thrombotic events myocardial infarction Attacco transitorio vascolare cerebrale Attacco ischemico Instable Angina pectoris Malattia vascolare periferica grave o coagulazione intravascolare disseminata nei 3 mesi precedenti sono stati esclusi dalla partecipazione alla RCT controllata dal plasma. KCentra potrebbe non essere adatto in pazienti con eventi tromboembolici nei 3 mesi precedenti. A causa del rischio di tromboembolia associata all'inversione della VKA monitora attentamente i pazienti per segni e sintomi della tromboembolia durante e dopo la somministrazione di Kcentra [vedi Informazioni sul paziente ].
pillola ip 101 ti mette in alto
Agenti infettivi trasmissibili
Poiché kcentra è realizzato con sangue umano, può comportarsi un rischio di trasmettere agenti infettivi, ad es. virus L'agente della malattia di Creutzfeldt-Jakob (VCJD) variante e teoricamente l'agente della malattia di Creutzfeldt-Jakob (CJD). Esiste anche la possibilità che possano essere presenti agenti infettivi sconosciuti in tali prodotti. Nonostante l'uso di due fasi di riduzione del virus dedicate nella produzione per ridurre i rischi, tali prodotti possono ancora potenzialmente trasmettere la malattia.
Le segnalazioni di sospetta trasmissione del virus dell'epatite A B C e dell'HIV sono state generalmente confuse dalla concomitante somministrazione di componenti di sangue/sangue e/o altri prodotti derivati dal plasma. Non è stata istituita alcuna relazione causale con l'amministrazione KCENTRA per nessuno di questi rapporti dall'introduzione di una fase di filtrazione del virus nel 1996.
Tutte le infezioni che un medico siano state eventualmente trasmesse da Kcentra dovrebbero essere segnalate dal medico o da altri operatori sanitari al dipartimento della farmacovigilanza CSL Behring a 1-866-915-6958 o FDA al numero 1-800-FDA-1088 o WWW.FDA.Gov/medwatch.
Tossicologia non clinica
Mutagenesi della carcinogenesi compromissione della fertilità
Non sono stati condotti studi a lungo termine sugli animali per valutare il potenziale cancerogeno di KCentra o studi per determinare gli effetti di KCentra sulla genotossicità o sulla fertilità. Una valutazione del potenziale cancerogeno di KCentra è stata completata e suggerisce un rischio cancerogeno minimo dall'uso del prodotto.
Utilizzare in popolazioni specifiche
Gravidanza
Riepilogo del rischio
Non ci sono dati con l'uso di Kentra in gravidanza per informare il rischio associato al farmaco. Studi di riproduzione degli animali non sono stati condotti con KCentra. Non è noto se Kcentra possa causare danni fetali quando somministrato a una donna incinta o può influire sulla capacità di riproduzione. Kcentra dovrebbe essere prescritto per una donna incinta solo se chiaramente necessario.
Nella popolazione generale degli Stati Uniti il rischio di background stimato di gravi difetti alla nascita e aborto nelle gravidanze clinicamente riconosciute è rispettivamente del 2-4% e del 15-20%.
Lattazione
Riepilogo del rischio
Non ci sono informazioni sull'escrezione di Kcentra nel latte umano l'effetto sul bambino allattato al seno o sugli effetti sulla produzione di latte. Poiché molti farmaci vengono escreti nel latte umano usano kcentra solo se chiaramente necessario quando si tratta una donna infermieristica.
Uso pediatrico
La sicurezza e l'efficacia di Kcentra nella popolazione pediatrica non è stata studiata.
Uso geriatrico
Del numero totale di soggetti (431) con sanguinamento grave acuto o con la necessità di un intervento chirurgico urgente/procedura invasiva trattata per invertire l'anticoagulazione della VKA in tre studi clinici il 66% aveva 65 anni o maggiore e il 39% aveva 75 anni o maggiore. Non ci sono state differenze clinicamente significative tra il profilo di sicurezza di KCentra e del plasma in qualsiasi fascia d'età.
Carenze del fattore congenito
Kcentra has non been studied in patients with congenital factor deficiencies.
Informazioni per overdose per Kcentra
Nessuna informazione fornita
Controindicazioni per Kcentra
Kcentra is contraindicated in:
- Pazienti con reazioni sistemiche anafilattiche o gravi note a KCentra o qualsiasi componente in KCENTRA, tra cui i fattori di eparina II VII IX X Proteine C e S Antitrombina III e albumina umana.
- Pazienti con coagulazione intravascolare disseminata (DIC).
- Pazienti con trombocitopenia indotta da eparina (HIT). Kcentra contiene eparina [vedi DESCRIZIONE ].
Farmacologia clinica for Kcentra
Meccanismo d'azione
Kcentra contains the Vitamin K-dependent coagulation Factors II (FII) VII (FVII) IX (FIX) E X (FX) together known as the Prothrombin Complex E the antithrombotic Proteina c E Proteine S.
Una carenza acquisita dose-dipendente dei fattori di coagulazione dipendente dalla vitamina K si verifica durante il trattamento antagonista della vitamina K. Gli antagonisti della vitamina K esercitano effetti anticoagulanti bloccando la carbossilazione dei residui di acido glutammico dei fattori di coagulazione della vitamina K-dipendenti durante la sintesi epatica abbassando sia la sintesi e la funzione dei fattori. La somministrazione di KCENTRA aumenta rapidamente i livelli plasmatici dei fattori di coagulazione dipendente dalla vitamina K II VII IX e X, nonché delle proteine antitrombotiche C e S.
Coagulazione Fattore II
Il fattore II (protrombina) viene convertito in trombina da FX attivato (FXA) in presenza di CA 2 FV e fosfolipidi.
Coagulazione Fattore VII
Il fattore VII (proconvertin) viene convertito in forma attivata (FVIIA) dalla suddivisione di un collegamento peptidico interno. Il complesso FVIIA-TF attiva il fattore IX e inizia la via di coagulazione primaria attivando FX in presenza di fosfolipidi e ioni di calcio.
Coagulazione Fattore IX
Il fattore IX (globulina B o fattore di Natale antiemofilo) è attivato dal complesso FVIIA-TF e dalla FXIA. Il fattore IXA in presenza di FVIIIa attiva FX a FXA.
Coagulazione Fattore X.
L'attivazione del fattore X (fattore di Stuart-Prower) comporta la scissione di un legame peptidico da parte del complesso IXA di fattore FVIIIA o del complesso TF-FVIIA. Il fattore XA forma un complesso con FV attivato (FVA) che converte la protrombina in trombina in presenza di fosfolipidi e ioni di calcio.
Proteina c
Proteina c when activated by thrombin exerts an antithrombotic effect by inhibiting FVa E FVIIIa leading to a decrease in thrombin formation E has indirect profibrinolytic activity by inhibiting plasminogen activator inhibitor-1.
Proteine S
Proteine S exists in a free form (40%) E in a complex with C4b-binding protein (60%). Proteine S (free form) functions as a cofactor for activated Proteina c in the inactivation of FVa E FVIIIa leading to antithrombotic activity.
Farmacodinamica
Rapporto internazionale normalizzato (INR)
Nell'RCT controllato dal plasma nel sanguinamento acuto maggiore, l'INR è stato determinato in punti temporali variabili dopo l'inizio o la fine dell'infusione a seconda della progettazione dello studio. L'INR mediano era superiore a 3,0 prima dell'infusione e scendeva a un valore mediano di 1,20 entro il punto temporale di 30 minuti dopo l'inizio dell'infusione di Kcentra. Al contrario, il valore mediano per il plasma era 2,4 a 30 minuti dopo l'inizio dell'infusione. Le differenze INR tra KCentra e plasma erano statisticamente significative nello studio randomizzato controllato dal plasma nel sanguinamento fino a 12 ore dopo l'inizio dell'infusione [vedi Tabella 8].
La relazione tra questi o altri valori INR ed emostasi clinica nei pazienti non è stata stabilita [vedi Studi clinici ].
Tabella 8: INR mediana (Min-Max) dopo l'inizio dell'infusione in RCT
| Studio | Trattamento | Basale | 30 min | 1 ora | 2-3 ore | 6-8 ore | 12 ore | 24 ore |
| Studio di sanguinamento principale acuto | Kcentra (N = 98) | 3.90 (1.8–20.0) | 1.20* (0.9–6,7) | 1.30* (NULL,9–5,4) | 1.30* (NULL,9–2,5) | 1.30* (0.9–2.1) | 1.20* (NULL,9–2,2) | 1.20 (NULL,9–3,8) |
| Plasma (N = 104) | 3.60 (1.9–38.9) | 2.4 (1.4-11.4) | 2.1 (1.0-11.4) | 1.7 (1.1–4.1) | 1.5 (1.0–3.0) | 1.4 (1.0–3.0) | 1.3 (1.0–2.9) | |
| Studio di chirurgia urgente/ procedure invasive | Kcentra (N = 87) | 2.90 (2.0–17.0) | 1.30* (0.9–7,0) | 1.20* (NULL,9–2,5) | 1.30* (NULL,9–39,2) | 1.30* (1.0–10.3) | Nc | 1.20 (NULL,9–2,7) |
| Plasma (N = 81) | 2.90 (2.0–26.7) | 2.15 (1.4–5.4) | 1.90 (1.3–5.7) | 1.70 (1.1–3.7) | 1.60 (1.0–5.8) | Nc | 1.30 (1.0–2.7) | |
| INR = rapporto internazionale normalizzato; NC = non raccolto. *Differenza statisticamente significativa rispetto al plasma per test Wilcoxon a 2 lati |
Farmacocinetica
Quindici soggetti sani hanno ricevuto 50 unità/kg di Kcentra. Nessun soggetto stava ricevendo la terapia VKA o stavano vivendo sanguinamento acuto. Una singola infusione endovenosa di KCENTRA ha prodotto un aumento rapido e sostenuto della concentrazione plasmatica dei fattori II VII IX e X, nonché delle proteine C e S. L'analisi PK [vedi Tabella 9] mostra che il fattore II aveva l'emivita più lunga (NULL,7 ore) e il fattore VII il più breve (NULL,2 ore) in soggetti sani. I parametri PK ottenuti dai dati derivati dallo studio di soggetti sani potrebbero non essere direttamente applicabili ai pazienti con aumento dell'INR a causa della terapia anticoagulante VKA.
Tabella 9: Farmacocinetica del fattore di coagulazione dipendente dalla vitamina K dopo una singola infusione di KCENTRA in soggetti sani (n = 15) media (DS)*
| Parametro | Fattore IX | Fattore II | Fattore VII | Fattore X. | Proteina c | Proteine S |
| Emivita terminale (H) | 42,4 (41.6) | 60.4 (25.5) | 5.0 (1.9) | 31,8 (8.7) | 49 (32.7) | 50.4 (13.4) |
| IVR (%/unità/kg BW)* | 1,6 (NULL,4) | 2,2 (NULL,3) | 2,5 (NULL,4) | 2,2 (NULL,4) | 2,9 (NULL,3) | 2,0 (NULL,3) |
| AUC (iu/dl × h) | 1850.8 (1001.4) | 7282.2 (2324.9) | 512,9 (250.1) | 6921.5 (1730.5) | 5397,5 (NULL,9) | 3651.6 (916.3) |
| Clearance (ml/ kg × h) | 3.7 (1.6) | 1,0 (NULL,3) | 7.4 (4.1) | 1,3 (NULL,3) | 1,5 (NULL,9) | 1,2 (NULL,3) |
| MRT (H) † | 47.3 (49.5) | 82.0 (34.2) | 7.1 (2.7) | 45,9 (12.6) | 62,4 (42.1) | 70.3 (18.3) |
| VDSS (ml/kg) ‡ | 114.3 (54.6) | 71.4 (13.7) | 45.0 (10.7) | 55.5 (6.7) | 62.2 (17.4) | 78.8 (11.6) |
| *IVR: In Vivo Recupero † MRT: tempo di permanenza media ‡ VD: volume di distribuzione SS a stato stazionario |
La media in vivo Il recupero (IVR) di fattori infusi è stato calcolato in soggetti che hanno ricevuto KCentra. L'IVR è l'aumento dei livelli di fattori misurabili nel plasma (unità/DL) che ci si può aspettare a seguito di un'infusione di fattori (unità/kg) somministrati come dose di kcentra. IL in vivo Il recupero variava da 1,15 (fattore IX) a 2,81 (proteina S) [vedi Tabella 10].
Tabella 10: In vivo Recupero in RCTs*
| Parametro | Incrementale (unità/dl per unità/kg B.W.) | |||
| Studio di sanguinamento principale acuto (N = 98) | Studio di chirurgia urgente/procedure invasive (N = 87) | |||
| Mean (SD) | 95% CI † | Mean (SD) | 95% CI † | |
| Fattore IX | 1,29 (NULL,71) | (1.14–1.43) | 1,15 (NULL,57) | (1.03–1.28) |
| Fattore II | 2,00 (NULL,88) | (1.82–2.18) | 2,14 (NULL,74) | (1.98–2.31) |
| Fattore VII | 2.15 (2.96) | (NULL,55–2,75) | 1.90 (4.50) | (NULL,92–2,88) |
| Fattore X. | 1,96 (NULL,87) | (1.79–2.14) | 1,94 (NULL,69) | (1.79–2.09) |
| Proteina c | 2,04 (NULL,96) | (1.85–2.23) | 1,88 (NULL,68) | (1.73–2.02) |
| Proteine S | 2.17 (1.66) | (1.83–2.50) | 2.81 (1.95) | (2.38–3.23) |
| *ITT-E: intenzione di trattare-popolazione di efficacia † CI: intervallo di confidenza |
Studi clinici
RCT a sanguinamento maggiore acuto
L'efficacia di KCENTRA è stata valutata in un potenziale RCT multicentrico non-inferiorità controllato attivo (valutatore cieco) in soggetti che erano stati trattati con terapia VKA e che richiedevano una sostituzione urgente del loro fattore di coagulazione dipendente dalla vitamina K per trattare i principali sanguinamenti. Un totale di 216 soggetti con carenza di fattore di coagulazione acquisita dovuta alla terapia antagonista di vitamina K orale sono stati randomizzati a una singola dose di kcentra o plasma. Duecentodici (212) soggetti hanno ricevuto kcentra o plasma per sanguinamento acuto maggiore nell'ambientazione di un INR basale ≥ 2,0 e un uso recente di un anticoagulante VKA. Le dosi di KCentra (25 unità/kg 35 unità/kg o 50 unità/kg) in base al contenuto di fattore nominale IX e al plasma (10 ml/kg 12 ml/kg o 15 ml/kg) sono state calcolate secondo il INR di base del soggetto (2– <4 4–6> 6 respectively). The observation period lasted for 90 days after the infusion of Kcentra or plasma. The modified efficacy (ITT-E) population for Kcentra included 98 subjects E for plasma included 104 subjects. Additionally intravenous Vitamin K was administered.
L'endpoint di efficacia era l'efficacia emostatica per il periodo di tempo dall'inizio dell'infusione di kcentra o plasma fino a 24 ore. L'efficacia è stata giudicata come efficace o non efficace da una commissione di giudizio endpoint indipendente in cieco per tutti i soggetti che hanno ricevuto il prodotto di studio. I criteri per emostasi efficaci erano basati su valutazioni cliniche standard, tra cui segni vitali che le misurazioni dell'emoglobina e le valutazioni CT nei punti temporali predefiniti sono rilevanti per il tipo di sanguinamento (cioè emorragia intracranica gastrointestinale visibile visibile ecc.). La percentuale di soggetti con emostasi efficace era del 72,4% nel gruppo KCENTRA e del 65,4% nel gruppo plasmatico. Il limite inferiore dell'intervallo di confidenza al 95% (CI) per la differenza nelle proporzioni del plasma kentra meno era -5,8% che ha superato il -10% e quindi ha dimostrato la non -inferiorità di KCentra rispetto al plasma (l'obiettivo principale dello studio) [vedi Tabella 11]. Poiché il limite inferiore dell'IC non era maggiore di zero, non è stato raggiunto il criterio prospettico definito per la superiorità di KCentra per l'efficacia emostatica (un obiettivo secondario).
Tabella 11: valutazione dell'efficacia emostatica nei soggetti con sanguinamento acuto maggiore
| Valutazione | No. (%) dei soggetti [95% CI] | Differenza KCentra - Plasma (%) [95% CI]* | |
| Kcentra (N = 98) | Plasma (N = 104) | ||
| Emostasi efficace | 71 (NULL,4%) | 68 (NULL,4%) | (NULL,1%) |
| [62.3; 82.6] | [54.9; 75.8] | [-5.8; 19.9] | |
| Ci = intervallo di confidenza; N = numero di soggetti *KCENTRA non-inferior al plasma se un limite inferiore del 95% IC> –10%; Kcentra superiore al plasma se un limite inferiore del 95% IC> 0. |
I risultati di un'analisi post-hoc dell'efficacia emostatica stratificata dalla dose effettiva di KCENTRA o al plasma somministrato nella RCT a sanguinamento maggiore acuto sono presentati nella Tabella 12.
Tabella12: valutazione dell'efficacia emostatica stratificata dalla dose effettiva di kcentra o plasma (numero e % dei soggetti classificati efficaci) nel RCT a sanguinamento maggiore acuto
| Dose bassa | Dose media | Dose elevata | |
| N = 49 (k) | N = 22 (k) | N = 26 (k) | |
| N = 55 (P) | N = 18 (P) | N = 31 (p) | |
| Kcentra | 36 (NULL,5%) | 16 (NULL,7%) | 18 (NULL,2%) |
| Plasma | 38 (NULL,1%) | 11 (NULL,1%) | 19 (NULL,3%) |
| Differenza* | (NULL,4%) | (NULL,6%) | (NULL,9%) |
| 95% CI K–P | -13.2–21.9 | -17.4–40.6 | -17,0–32,9 |
| *Kcentra meno plasma |
Un ulteriore endpoint è stato la riduzione di INR a ≤ 1,3 a 30 minuti dopo la fine dell'infusione di kcentra o plasma per tutti i soggetti che hanno ricevuto il prodotto di studio. La percentuale di soggetti con questa diminuzione di INR era del 62,2% nel gruppo KCENTRA e del 9,6% nel gruppo plasmatico. L'intervallo di confidenza del 95% per la differenza nelle proporzioni del plasma di kcentra meno era del 39,4% al 65,9%. Il limite inferiore dell'IC al 95% del 39,4% ha dimostrato la superiorità di KCentra rispetto al plasma per questo endpoint [vedi Tabella 13].
Cosa viene MG OxyContin
Tabella13: diminuzione di INR (NULL,3 o meno a 30 minuti dopo la fine dell'infusione) in RCT a sanguinamento maggiore acuto
| Valutazione | No. (%) dei soggetti [95% CI] | Differenza KCentra - Plasma (%) [95% CI]* | |
| Kcentra (N = 98) | Plasma (N = 104) | ||
| Diminuzione di INR a ≤ 1,3 a 30 minuti | 61 (NULL,2%) | 10 (NULL,6%) | (NULL,6%) |
| [52.6; 71.8] | [3.9; 15.3] | [39.4; 65.9] | |
| Ci = intervallo di confidenza; INR = rapporto internazionale normalizzato; N = soggetti totali *KCENTRA non-inferior al plasma se un limite inferiore del 95% IC> –10%; Kcentra superiore al plasma se un limite inferiore del 95% IC> 0. |
Chirurgia urgente/procedura invasiva RCT
L'efficacia di KCENTRA è stata valutata in una prospettiva RCT multicentrica non inferiorriente controllata da non-inferiorità in materia di terapia VKA e che richiedevano una sostituzione urgente dei loro fattori di coagulazione dipendente dalla vitamina K a causa della loro necessità di una chirurgia urgente/procedura invasiva. Un totale di 181 soggetti con carenza di fattore di coagulazione acquisita dovuta alla terapia antagonista di vitamina K orale sono stati randomizzati a una singola dose di kcentra o plasma. Centosettantasei (176) soggetti hanno ricevuto kcentra o plasma a causa della loro necessità di un intervento chirurgico urgente/procedura invasiva nell'impostazione di un INR basale ≥ 2,0 e recentemente l'uso di un anticoagulante VKA. Le dosi di KCentra (25 unità/kg 35 unità/kg o 50 unità/kg) in base al contenuto di fattore nominale IX e al plasma (10 ml/kg 12 ml/kg o 15 ml/kg) sono state calcolate secondo il INR di base del soggetto (2– <4 4–6> 6 respectively). The observation period lasted for 90 days after the infusion of Kcentra or plasma. The modified efficacy (ITT-E) population for Kcentra included 87 subjects E for plasma included 81 subjects. Additionally oral or intravenous Vitamin K was administered.
L'endpoint di efficacia era l'efficacia emostatica per il periodo di tempo dall'inizio dell'infusione di kcentra o plasma fino alla fine della chirurgia urgente/procedura invasiva. I criteri per l'emostasi efficace si basavano sulla differenza tra perdite di sangue previste e effettive di valutazione dell'emostasi soggettiva e sulla necessità di ulteriori prodotti ematici contenenti fattori di coagulazione. La percentuale di soggetti con emostasi efficace era dell'89,7% nel gruppo KCENTRA e del 75,3% nel gruppo plasmatico. Il limite inferiore dell'intervallo di confidenza al 95% (CI) per la differenza nelle proporzioni del plasma di KCentra meno era del 2,8% che ha superato il -10% e quindi ha dimostrato la non -inferiorità di KCentra rispetto al plasma (l'obiettivo principale dello studio) [vedi Tabella 14]. Poiché il limite inferiore dell'IC era maggiore di 0, è stato anche raggiunto il criterio prospettico definito per la superiorità di KCentra per l'efficacia emostatica (un obiettivo secondario).
Tabella 14: valutazione dell'efficacia emostatica nella chirurgia urgente/procedura invasiva RCT
| Valutazione | No. (%) dei soggetti [95% CI] | Differenza KCentra - Plasma (%) [95% CI]* | |
| Kcentra (N = 87) | Plasma (N = 81) | ||
| Emostasi efficace | 78 (NULL,7%) | 61 (NULL,3%) | (NULL,3%) |
| [83.3; 96.1] | [65,9; 84.7] | [2.8; 25.8] | |
| Ci = intervallo di confidenza; N = numero di soggetti *KCENTRA non-inferior al plasma se un limite inferiore del 95% IC> –10%; Kcentra superiore al plasma se un limite inferiore del 95% IC> 0. |
I risultati di un'analisi post-hoc dell'efficacia emostatica stratificata mediante dose effettiva di KCENTRA o plasma somministrato nella chirurgia urgente/procedura invasiva RCT sono presentati nella Tabella 15.
Tabella 15: valutazione dell'efficacia emostatica stratificata dalla dose effettiva di kcentra o plasma (numero e % dei soggetti classificati efficaci) in chirurgia urgente/procedura invasiva RCT
| Dose bassa | Dose media | Dose elevata | |
| N = 69 (k) | N = 10 (k) | N = 8 (k) | |
| N = 62 (P) | N = 10 (p) | N = 9 (P) | |
| Kcentra | 63 (NULL,3%) | 8 (NULL,0%) | 7 (NULL,5%) |
| Plasma | 48 (NULL,4%) | 7 (NULL,0%) | 6 (NULL,7%) |
| Differenza* | (NULL,9%) | (NULL,0%) | (NULL,8%) |
| 95% CI K–P | 1.4–26.6 | -26,5–43,5 | -19.8–53.7 |
| *Kcentra meno plasma |
Un ulteriore endpoint è stato la riduzione di INR a ≤ 1,3 a 30 minuti dopo la fine dell'infusione di kcentra o plasma per tutti i soggetti che hanno ricevuto il prodotto di studio. La percentuale di soggetti con questa diminuzione di INR era del 55,2% nel gruppo KCENTRA e del 9,9% nel gruppo plasmatico. L'intervallo di confidenza del 95% per la differenza nelle proporzioni del plasma di kcentra meno era del 31,9% al 56,4%. Il limite inferiore dell'IC al 95% del 31,9% ha dimostrato la superiorità di KCentra rispetto al plasma per questo endpoint [vedi Tabella 16]. La relazione tra una diminuzione dell'INR a meno o uguale a 1,3 e l'efficacia emostatica clinica non è stata stabilita.
Tabella 16: diminuzione di INR (NULL,3 o meno a 30 minuti dopo la fine dell'infusione) nella chirurgia urgente/procedura invasiva RCT
| Valutazione | No. (%) dei soggetti [95% CI] | Differenza KCentra - Plasma (%) [95% CI]* | |
| Kcentra (N = 87) | Plasma (N = 81) | ||
| Diminuzione di INR a ≤ 1,3 a 30 minuti | 48 (NULL,2%) | 8 (NULL,9%) | (NULL,3%) |
| [44.7; 65.6] | [3.4; 16.4] | [31.9; 56.4] | |
| Ci = intervallo di confidenza; INR = rapporto internazionale normalizzato; N = soggetti totali *KCENTRA NON -FERIOR al plasma se un limite inferiore del 95% IC> -10%; Kcentra superiore al plasma se un limite inferiore del 95% IC> 0. |
Lo studio di sanguinamento e chirurgico europeo è stato uno studio multicentrico a braccio singolo in aperto 1 . Quarantatre (43) soggetti che stavano ricevendo VKA sono stati trattati con KCentra perché (1) hanno richiesto un intervento diagnostico chirurgico o invasivo (26 soggetti) o (2) ha sperimentato un evento di sanguinamento acuto (17 soggetti). La dose di kcentra (25 unità/kg 35 unità/kg o 50 unità/kg) in base al contenuto del fattore nominale IX è stata calcolata in base al valore INR di base del soggetto (2– <4 4–6> 6). The endpoint was the decrease of the INR to ≤ 1.3 within 30 minutes after end of Kcentra infusion in subjects who received any portion of study product.
Dei 17 soggetti valutabili che ricevono kcentra per sanguinamento acuto 16 soggetti (94%) hanno subito una diminuzione di INR a ≤ 1,3 entro 30 minuti dopo la fine dell'infusione di Kcentra.
Nei livelli di RCTS dei fattori di coagulazione II VII IX X e le proteine antitrombotiche C e S sono state misurate dopo l'infusione di kcentra o plasma e i risultati erano simili per i soggetti con sanguinamento acuto maggiore o soggetti che richiedono un intervento chirurgico urgente o una procedura invasiva. Nell'RCT controllato dal plasma nel sanguinamento maggiore acuto la durata media dell'infusione di kcentra era di 24 minuti (± 32 minuti) e la durata media dell'infusione per il plasma era di 169 minuti (± 143 minuti). Il volume medio di infusione di KCENTRA era di 105 ml ± 37 ml e il volume di infusione medio del plasma era di 865 ml ± 269 ml. Nell'RCT controllato dal plasma per i pazienti che necessitavano di chirurgia urgente/procedure invasive, la durata media dell'infusione di Kcentra era di 21 minuti (± 14 minuti) e la durata media dell'infusione per il plasma era di 141 minuti (± 113 minuti). Il volume medio di infusione di KCentra era di 90 ml ± 32 mL e il volume medio di infusione di plasma era di 819 ml ± 231 ml.
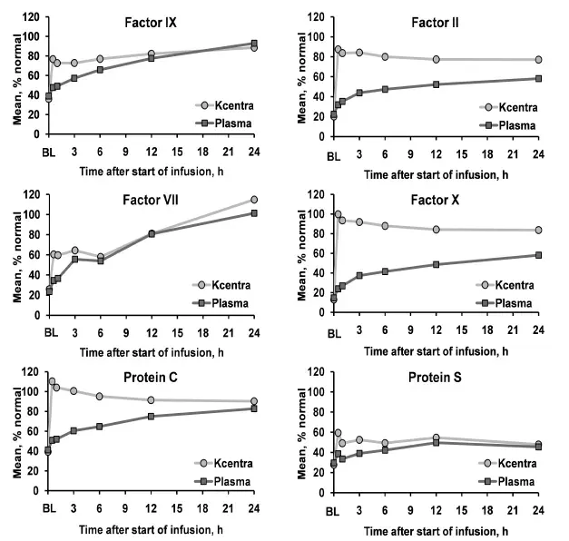
L'aumento dei livelli di fattore medio nel tempo a seguito della somministrazione di KCENTRA e plasma nella RCT controllata dal plasma nel sanguinamento maggiore acuto è mostrato nella Figura 9 di seguito (i livelli medi del fattore nel tempo dopo Kentra e la somministrazione plasmatica nella RCT controllata dal plasma per i pazienti che necessitano di pazienti di chirurgia urgente/non sono mostrati, ma hanno mostrato profili simili). I livelli di alcuni fattori hanno continuato ad aumentare in punti temporali successivi coerenti con l'effetto del trattamento concomitante di vitamina K. I parametri farmacocinetici formali non sono stati derivati a causa dell'effetto della vitamina K sui livelli dei fattori nei punti temporali richiesti per la profilazione farmacocinetica.
Figura 9: livelli medi del fattore (fattori II VII IX X Proteine C
Riferimenti
1. Pabinger I Brenner B Kalina U et al . Concentrazione complesso di protrombina (Beriplex P/N) per inversione anticoagulante di emergenza: uno studio clinico multinazionale prospettico. Diario di trombosi e emostasi 2008; 6: 622-631.
Informazioni sul paziente per Kcentra
- Informare i pazienti dei segni e dei sintomi delle reazioni allergiche di ipersensibilità come la tenuta dell'erto eruzione cutanea dell'ipotensione sibilante del torace e/o dell'anafilassi sperimentata durante o dopo l'iniezione di kcentra [vedi AVVERTIMENTOS AND PRECAUTIONS ].
- Informare i pazienti di segni e sintomi di trombosi come gonfiore dell'arto o addome e/o dolore dolore toracico o pressione Brezza della perdita del respiro della sensazione o della potenza motoria ha alterato la visione o la parola della coscienza [vedi AVVERTIMENTOS AND PRECAUTIONS ].
- Informare i pazienti che, poiché KCentra è realizzato dal sangue umano, può comportarsi un rischio di trasmettere agenti infettivi, ad es. virus L'agente della malattia di Creutzfeldt-Jakob (VCJD) variante e teoricamente l'agente della malattia di Creutzfeldt-Jakob (CJD) [vedi AVVERTIMENTOS AND PRECAUTIONS E DESCRIZIONE ].