Le Informazioni Presenti Sul Sito Non Costituiscono Consulenza Medica. Non Vendiamo Nulla. L'Accuratezza Della Traduzione Non È Garantita. Disclaimer

Epzicom

Riepilogo della droga

Cos'è Epzicom?

Epzicom (abacavir solfato e lamivudina) è un tipo di antivirale farmaco chiamato inibitore della trascrittasi inversa utilizzato per il trattamento HIV che provoca il acquisito Sindrome da immunodeficienza ( AIDS ). Epzicom non è una cura per l'HIV o l'AIDS.

Quali sono gli effetti collaterali di Epzicom?

Gli effetti collaterali comuni di Epzicom includono:

  • mal di testa
  • nausea
  • diarrea
  • vertigini
  • stanchezza
  • difficoltà a dormire
  • strano sogni
  • depressione
  • ansia o
  • Cambiamenti nella forma o nella posizione del grasso corporeo (specialmente nelle braccia Gambe Strongi per il collo e tronco).

Di 'al medico se hai gravi effetti collaterali di Epzicom, incluso:



  • Perdita di peso inspiegabile
  • dolori muscolari persistenti o debolezza
  • Dolore articolare
  • intorpidimento o formicolio delle mani/piedi/braccia/gambe
  • grave stanchezza
  • Cambiamenti della visione
  • mal di testa grave o persistenti
  • Segni di infezione (come i brividi della febbre che respirano le piaghe della pelle non guarite)
  • Segni di una tiroide iperattiva (come l'irritabilità nervosismo Intolleranza rapida/martellante/irregolare Occhi sporgenti di cuore insolito nel collo/tiroide noto come gozzo)
  • segni di un certo problema del nervo noto come Sindrome di Guillain-Barre (come difficoltà a respirare/deglutire/muovere gli occhi che abbassano la paralisi del viso discorso
  • Cambiamenti mentali/dell'umore (come l'ansia da depressione)
  • Facile lividi o sanguinanti o
  • segni di anemia (come la stanchezza insolita rapida che respira la pelle pallida rapida cardiaco rapido).

Epzicom

  • orticaria
  • Difficoltà a respirare
  • gonfiore della lingua o della gola
  • Perdita di peso inspiegabile
  • grave stanchezza
  • dolori muscolari
  • debolezza
  • Gravi mal di testa
  • Dolore articolare
  • intorpidimento o formicolio delle mani dei piedi delle gambe
  • Cambiamenti della visione
  • febbre
  • brividi
  • linfonodi gonfi
  • tosse
  • Piaghe per la pelle non cutanea
  • irritabilità
  • nervosismo
  • intolleranza al calore
  • battito cardiaco rapido o irregolare
  • occhi sporgenti
  • Crescita insolita nel collo o tiroide (gozzo)
  • difficoltà a deglutire
  • Difficoltà a muovere gli occhi
  • viso cadente
  • paralisi
  • Difficoltà a parlare
  • Cambiamenti mentali o dell'umore
  • depressione
  • ansia
  • Facile lividi
  • sanguinamento insolito
  • stanchezza insolita
  • respirazione rapida
  • pelle pallida
  • nausea
  • vomito
  • dolori di stomaco
  • mal di schiena
  • febbre
  • perdita di appetito
  • ingiallimento degli occhi e della pelle ( ittero )
  • urina scura
  • respirazione profonda o rapida e
  • sonnolenza

Ottieni subito assistenza medica se hai uno qualsiasi dei sintomi sopra elencati.

Cerca cure mediche o chiama il 911 contemporaneamente se hai i seguenti gravi effetti collaterali:

  • Sintomi di occhiali gravi come la perdita di visione improvvisa del tunnel della visione sfocata Dolore alla visione o gonfiore o vedere aloni attorno alle luci;
  • Sintomi cardiaci gravi come battiti cardiaci irregolari o martellanti veloci; svolazzando nel petto; fiato corto; e improvvise vertigini spensieratezza o svenuta;
  • Grave mal di testa confusione Il braccio del linguaggio bloccato o la debolezza delle gambe problemi perdite perdita di coordinamento sentendoti instabili muscoli molto rigidi ad alta febbre abbondante sudorazione o tremori.

Questo documento non contiene tutti i possibili effetti collaterali e altri possono verificarsi. Verificare con il tuo medico ulteriori informazioni sugli effetti collaterali.

Dosaggio per epzicom

La dose orale raccomandata di Epzicom per gli adulti è una compressa ogni giorno in combinazione con altri agenti antiretrovirali.

Quali sostanze o integratori di farmaci interagiscono con Epzicom?

Epzicom può interagire con l'interferone ribavirina di metadone o altri farmaci che contengono abacavir o lamivudina. Dì al medico tutti i farmaci e gli integratori che usi.

Epzicom durante la gravidanza e l'allattamento

Durante la gravidanza l'epzicom dovrebbe essere usato solo quando prescritto. Le medicine HIV sono generalmente somministrate a donne in gravidanza con HIV. È stato dimostrato che il trattamento riduce il rischio di trasmissione dell'HIV al bambino. Questo farmaco può far parte di quel trattamento. Consulta il tuo medico. Non è noto se Abacavir passi nel latte materno. La lamivudina passa nel latte materno. Poiché il latte materno può trasmettere l'HIV non allattare.

Ulteriori informazioni

Il nostro centro farmacologico Epzicom (Abacavir solfato e lamivudina) fornisce una visione completa delle informazioni disponibili sui farmaci sui potenziali effetti collaterali quando si assume questo farmaco.

Informazioni sui farmaci FDA

AVVERTIMENTO

Reazioni di ipersensibilità e esacerbazioni dell'epatite B

Reazioni di ipersensibilità

Le reazioni di ipersensibilità gravi e talvolta fatali con il coinvolgimento multiplo degli organi si sono verificati con Abacavir un componente di Epzicom (abacavir e lamivudina). I pazienti che trasportano l'allele HLA B*5701 hanno un rischio maggiore di una reazione di ipersensibilità ad Abacavir; Sebbene le reazioni di ipersensibilità si siano verificate nei pazienti che non trasportano l'allele HLA B*5701 [vedi AVVERTIMENTOS AND PRECAUZIONI ].

L'epzicom è controindicato nei pazienti con una precedente reazione di ipersensibilità ad Abacavir e nei pazienti positivi a HLA B*5701 [vedi Controindicazioni AVVERTIMENTOS AND PRECAUZIONI ]. All patients should be screened for the HLA B*5701 allele prior to initiating therapy with Epzicom or reinitiation of therapy with Epzicom unless patients have a previously documented HLA B*5701 allele assessment. Discontinue Epzicom immediately if a hypersensitivity reaction is suspected regardless of HLA-B*5701 status and even when other diagnoses are possible [see Controindicazioni AVVERTIMENTOS AND PRECAUZIONI ].

A seguito di una reazione di ipersensibilità a Epzicom non riavvia mai Epzicom o qualsiasi altro prodotto contenente Abacavir perché possono verificarsi sintomi più gravi, incluso la morte entro ore. Reazioni gravi simili si sono anche verificate raramente a seguito della reintroduzione di prodotti contenenti abavir in pazienti che non hanno una storia di ipersensibilità abacavir [vedi avvisi e PRECAUZIONI ].

Esacerbazioni dell'epatite B

Le gravi esacerbazioni acute dell'epatite B sono state riportate in pazienti che sono stati infettati con virus dell'epatite B (HBV) e virus dell'immunodeficienza umana (HIV 1) e hanno interrotto la lamivudina che è un componente di Epzicom. La funzione epatica dovrebbe essere monitorata da vicino con il follow-up clinico e di laboratorio per almeno diversi mesi in pazienti che interrompono l'Epzicom e sono co-infettati con HIV 1 e HBV. Se l'inizio appropriato della terapia anti -epatite B può essere giustificata [vedi AVVERTIMENTOS AND PRECAUZIONI ].

Descrizione per epzicom

Epzicom

Le compresse di epzicom contengono i seguenti 2 analoghi nucleosidici sintetici: abacavir (Ziagen anche un componente di trizivir) e lamivudina (noto anche come epivir o 3TC) con attività inibitoria contro l'HIV 1.

Le compresse di epzicom sono per la somministrazione orale. Ogni compressa rivestita con pellicola arancione contiene gli ingredienti attivi 600 mg di abacavir come abacavir solfato e 300 mg di lamivudina e ingredienti inattivi a magnesio stearato cellulosa microcristallina e gliceto di amido di sodio. Le compresse sono rivestite con un film (Opadry Orange YS-1-13065-A) fatto di FD

Abacavir solfato

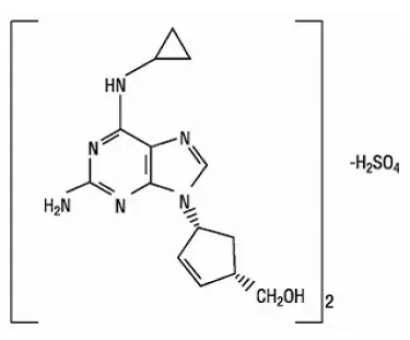
Il nome chimico dell'abacavir solfato è (1 S cis ) -4- [2-ammino-6- (ciclopropilammino) -9 H -Purin-9-il] -2- Ciclopentene-1-metanolo solfato (sale) (2: 1). Abacavir solfato è l'enantiomero con 1s 4r Configurazione assoluta sull'anello ciclopentene. Ha una formula molecolare di (c 14 H 18 N 6 IL) 2 • H. 2 COSÌ 4 e un peso molecolare di 670,76 g per mol. Ha la seguente formula strutturale:

Abacavir Solfato è un solido bianco a bianco e boccone ed è solubile in acqua.

In vivo Abacavir solfato si dissocia nella sua base libera Abacavir. I dosaggi sono espressi in termini di abacavir.

Lamivudina

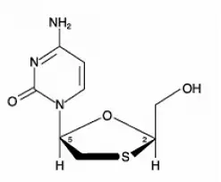
Il nome chimico della lamivudina è (2RCIS) -4-amino-1- (2-idrossimetil-13-Oxathiolan-5-il)-(1H)-pirimidina-2-one. La lamivudina è l'enantiomero () di un analogo dideossia della citidina. La lamivudina è stata anche definita () 2'3'-dideoxy 3'-tiacytidina. Ha una formula molecolare di C 8 H 11 N 3 O 3 S e un peso molecolare di 229,3 g per mol. Ha la seguente formula strutturale:

Lamivudina is a white to off white crystalline solid and is soluble in water.

Usi per epzicom

L'epzicom in combinazione con altri agenti antiretrovirali è indicato per il trattamento dell'infezione da virus dell'immunodeficienza umana (HIV-1).

Dosaggio per epzicom

Screening per l'allele HLA-B*5701 prima di avviare Epzicom

Schermo per l'allele HLA-B*5701 prima di iniziare la terapia con Epzicom [vedi Avvertenza della scatola AVVERTIMENTOS AND PRECAUZIONI ].

Dosaggio raccomandato per i pazienti adulti

Il dosaggio raccomandato di Epzicom per gli adulti è una compressa presa per via orale una volta al giorno in combinazione con altri agenti antiretrovirali con o senza cibo.

Dosaggio raccomandato per i pazienti pediatrici

La dose orale raccomandata di Epzicom per i pazienti pediatrici che pesa almeno 25 kg è una compressa al giorno in combinazione con altri agenti antiretrovirali [vedi Studi clinici ]. Before prescribing Epzicom tablets pediatric patients should be assessed for the ability to swallow tablets.

Non raccomandato a causa della mancanza di regolazione del dosaggio

Poiché Epzicom è una compressa a dose fissa e non può essere regolato dalla dose Epzicom non è raccomandato per:

  • pazienti con clearance della creatinina meno di 30 ml al minuto [vedi Utilizzare in popolazioni specifiche ].
  • pazienti con lieve compromissione epatica. L'epzicom è controindicato nei pazienti con compromissione epatica moderata o grave [vedi Controindicazioni Utilizzare in popolazioni specifiche ].

È possibile prendere in considerazione l'uso di epivir (lamivudina) o compresse e una soluzione orale Ziagen (Abacavir).

Come fornito

Forme di dosaggio e punti di forza

Le compresse di epzicom contengono 600 mg di abacavir come abacavir solfato e 300 mg di lamivudina. I tablet vengono modificati con pellicola arancione a forma di capsula e debossato con GS FC2 su un lato senza segni sul retro.

Archiviazione e maneggevolezza

Epzicom è disponibile come tablet. Ogni compressa contiene 600 mg di abacavir come abacavir solfato e 300 mg di lamivudina. Le compresse sono arancione arancione a forma di capsula modificata e debossa con GS FC2 su un lato senza segni sul retro. Sono confezionati come segue:

Bottiglie di 30 compresse ( Ndc 49702-206-13).

Conservare a 25 ° C (77 ° F); Escursioni consentite da 15 ° a 30 ° C (da 59 ° a 86 ° F) (vedere la temperatura ambiente controllata da USP).

Prodotto per: VIIV Healthcare Research Triangle Park NC 27709. Revisionato: dicembre 2021

Effetti collaterali for Epzicom

Le seguenti reazioni avverse sono discusse in altre sezioni dell'etichettatura:

  • Reazioni di ipersensibilità gravi e talvolta fatali [vedi Avvertenza della scatola AVVERTIMENTOS AND PRECAUZIONI ].
  • Esacerbazioni dell'epatite B [vedi Avvertenza della scatola AVVERTIMENTOS AND PRECAUZIONI ].
  • Acidosi lattica e grave epatomegalia con steatosi [vedi AVVERTIMENTOS AND PRECAUZIONI ].
  • Sindrome di ricostituzione immunitaria [vedi AVVERTIMENTOS AND PRECAUZIONI ].
  • Infarto miocardico [vedi AVVERTIMENTOS AND PRECAUZIONI ].

Esperienza di studi clinici in soggetti adulti

Poiché gli studi clinici sono condotti in condizioni di reazione avverse ampiamente variabili osservate negli studi clinici di un farmaco non possono essere confrontati direttamente con i tassi negli studi clinici di un altro farmaco e potrebbero non riflettere i tassi osservati nella pratica clinica.

Reazioni di ipersensibilità associate a abacavir gravi e fatali

Negli studi clinici si sono verificate reazioni di ipersensibilità gravi e talvolta fatali con Abacavir un componente di Epzicom [vedi Avvertenza della scatola AVVERTIMENTOS AND PRECAUZIONI ]. These reactions have been characterized by 2 or more of the following signs or symptoms: (1) febbre; (2) rash; (3) gastrointestinal symptoms (including nausea vomito diarrea or abdominal pain); (4) constitutional symptoms (including generalized malaise fatigue or achiness); (5) respiratory symptoms (including dyspnea tosse or pharyngitis). Almost all abacavir hypersensitivity reactions include febbre and/or rash as part of the syndrome.

Altri segni e sintomi hanno incluso l'edema e la parestesia di Myalgia Edema Artralgia e la parestesia. Insufficienza epatica dell'anafilassi Ipotensione renale Sindrome da distress respiratorio adulto Myolisi e morte si sono verificati in associazione con queste reazioni di ipersensibilità. I risultati fisici hanno incluso lesioni mucose di linfoadenopatia (congiuntivite e ulcerazioni della bocca) e eruzione maculopapolare o orticaria (sebbene alcuni pazienti avessero altri tipi di eruzioni cutanee e altri non avevano un'eruzione cutanea). C'erano segnalazioni di Eritema multiforme. Le anomalie di laboratorio includevano elevate chimiche epatiche elevate di creatina fosfocinasi, elevata creatinina e linfopenia e scoperte anormali di raggi X del torace (prevalentemente infiltrati localizzati).

Ulteriori reazioni avverse con l'uso di epzicom

Adulti naive per terapia

Le reazioni avverse cliniche emergenti dal trattamento (classificate dallo investigatore come moderate o gravi) con una frequenza maggiore o uguale al 5% durante la terapia con Ziagen 600 mg una volta al giorno o Ziagen 300 mg due volte al giorno

Tabella 1. Reazioni avverse emergenti dal trattamento (tutta la causalità) di intensità almeno moderata (gradi 2-4 maggiore o uguale alla frequenza del 5%) negli adulti naive per terapia (CNA30021) per 48 settimane di trattamento

Evento avverso Ziagen 600 mg Q.D.
Più epivir di più
Efavirenz
(n = 384)
Ziagen 300 mg b.i.d.
Più epivir di più
Efavirenz
(n = 386)
Ipersensibilità alla droga ab 9% 7%
Insonnia 7% 9%
Depressione/umore depresso 7% 7%
Mal di testa/emicrania 7% 6%
Affaticamento/disagio 6% 8%
Vertigini/vertigini 6% 6%
Nausea 5% 6%
Diarrea a 5% 6%
Eruzione cutanea 5% 5%
Pyrexia 5% 3%
Dolore addominale/gastrite 4% 5%
Sogni anormali 4% 5%
Ansia 3% 5%
a I soggetti che ricevono Ziagen 600 mg una volta al giorno hanno sperimentato un'incidenza significativamente più elevata di reazioni di ipersensibilità farmacologica grave e una diarrea grave rispetto ai soggetti che hanno ricevuto Ziagen 300 mg due volte al giorno. Il cinque percento (5%) dei soggetti che ricevevano Ziagen 600 mg una volta al giorno aveva gravi reazioni di ipersensibilità ai farmaci rispetto al 2% dei soggetti che ricevevano Ziagen 300 mg due volte al giorno. Il due percento (2%) dei soggetti che ricevevano Ziagen 600 mg una volta al giorno avevano una grave diarrea, mentre nessuno dei soggetti che riceveva Ziagen 300 mg due volte al giorno aveva questo evento. b CNA30024 era una sperimentazione controllata in doppio cieco multicentrica in cui gli adulti nai-nai-hiv-1 con infezione da HIV-1 sono stati randomizzati e hanno ricevuto epivir Ziagen (300 mg due volte al giorno) (150 mg due volte al giorno) ed Efavirenz (600 mg una volta al giorno); o zidovudina (300 mg due volte al giorno) Epivir (150 mg due volte al giorno) ed Efavirenz (600 mg una volta al giorno). CNA30024 ha usato l'accertamento in doppio cieco di sospette reazioni di ipersensibilità. Durante la parte cieca della sperimentazione sospetta ipersensibilità ad Abacavir è stata segnalata dagli investigatori nel 9% di 324 soggetti nel gruppo Abacavir e 3% di 325 soggetti nel gruppo Zidovudina.
Anomalie di laboratorio

Le anomalie di laboratorio osservate negli studi clinici su Ziagen erano anemia neutropenia che test di funzionalità epatica anomalie ed elevazioni della glicemia e dei triglicaridi CPK. Ulteriori anomalie di laboratorio osservate negli studi clinici di epivir erano trombocitopenia e livelli elevati di bilirubina amilasi e lipasi.

Le frequenze delle anomalie del laboratorio emergente del trattamento erano comparabili tra i gruppi di trattamento in CNA30021.

Altri eventi avversi

Oltre alle reazioni avverse elencate sopra altri eventi avversi osservati nel programma di accesso ampliato per Abacavir c'erano la pancreatite e un aumento della GGT.

Studi clinici Esperienza in soggetti pediatrici

La sicurezza di una volta al giorno rispetto al dosaggio due volte al giorno di abacavir e lamivudina somministrato come singoli prodotti o come epzicom è stato valutato nella prova della freccia (n = 336). La valutazione della sicurezza primaria nella sperimentazione freccia (COL105677) si basava su eventi avversi di grado 3 e di grado 4. La frequenza degli eventi avversi di grado 3 e 4 era simile tra i soggetti randomizzati al dosaggio una volta al giorno rispetto ai soggetti randomizzati al dosaggio due volte al giorno. Un evento di epatite di grado 4 nella coorte un tempo al giorno è stato considerato come incerto causalità dall'investigatore e tutti gli altri eventi avversi di grado 3 o 4 sono stati considerati non correlati dal ricercatore. Non sono stati identificati ulteriori problemi di sicurezza in soggetti pediatrici che ricevono abacavir e lamivudina una volta al giorno rispetto ai dati storici negli adulti [vedi Esperienza di studi clinici in soggetti adulti ].

puoi prendere subutex con metadone

Esperienza post -marketing

Le seguenti reazioni avverse sono state identificate durante l'uso post -marketing. Poiché queste reazioni sono riportate volontariamente da una popolazione di dimensioni sconosciute, non è sempre possibile stimare in modo affidabile la loro frequenza o stabilire una relazione causale con l'esposizione ai farmaci.

Abacavir

Cardiovascolare

Infarto miocardico.

Pelle

La sindrome di Stevens-Johnson sospetta (SJS) e la necrolisi epidermica tossica (dieci) sono state riportate in pazienti che hanno ricevuto Abacavir principalmente in combinazione con farmaci noti per essere associati a SJS e dieci rispettivamente. A causa della sovrapposizione di segni e sintomi clinici tra ipersensibilità ad Abacavir e SJ e dieci e la possibilità di sensibilità a più farmaci in alcuni pazienti Abacavir dovrebbe essere interrotta e non riavviata in tali casi. Ci sono stati anche segnalazioni di eritema multiforme con abacavir [vedi Esperienza di studi clinici in soggetti adulti ].

Abacavir And Lamivudina

Corpo nel suo insieme: Ridistribuzione/accumulo di grasso corporeo.

Digestivo: Stomatite.

Endocrino e metabolico: Iperglicemia.

Generale: Debolezza.

Emico e linfatico: Anemia aplastica anemia (compresa l'aplasia a cellule rosse pura e anemie gravi che progrediscono in terapia) linfoadenopatia splenomegalia.

Epatico: Acidosi lattica e steatosi epatica [vedi AVVERTIMENTOS AND PRECAUZIONI ] esacerbazioni post -trattamento dell'epatite B [vedi AVVERTIMENTOS AND PRECAUZIONI ].

Ipersensibilità: Reazioni di sensibilizzazione (inclusa l'anafilassi) orticaria.

Muscoloscheletrico: Debolezza muscolare creatinina fosfosfinasi (CPK) Rhabdomiolisi.

Nervoso: Convulsioni neuropatia periferica di parestesia.

Respiratorio: Suoni anormali del respiro/sibilante.

Pelle: Sindrome di Alopecia Eritema multiforme Stevens-Johnson.

Interazioni farmacologiche for Epzicom

Metadone

In una sperimentazione di 11 soggetti infetti da HIV-1 che ricevono una terapia di mantenimento del metadone con 600 mg di Ziagen due volte al giorno (doppia dose raccomandata) clearance orale del metadone [vedi Farmacologia clinica ]. This alteration will not result in a methadone dose modification in the majority of patients; however an increased methadone dose may be required in a small number of patients.

Sorbitolo

La somministrazione di co-somministrazione di singole dosi di lamivudina e sorbitolo ha comportato una riduzione dose-dipendente di sorbitolo nelle esposizioni di lamivudina. Quando possibile, evitare l'uso di medicinali contenenti sorbitolo con medicinali contenenti lamivudina [vedi Farmacologia clinica ].

Riociguat

La somministrazione di co-somministrazione con abacavir a dosi fissa/dolutegravir/lamivudina ha comportato un aumento dell'esposizione al riociguat che può aumentare il rischio di reazioni avverse riociguat [vedi Farmacologia clinica ]. The riociguat dose may need to be reduced. See full prescribing information for ADEMPAS (riociguat).

Avvertimenti per Epzicom

Incluso come parte del 'PRECAUZIONI' Sezione

Precauzioni per Epzicom

Reazioni di ipersensibilità

Reazioni di ipersensibilità gravi e talvolta fatali si sono verificate con Abacavir un componente di Epzicom. Queste reazioni di ipersensibilità hanno incluso insufficienza multi-organi e anafilassi e in genere si sono verificate entro le prime 6 settimane di trattamento con Abacavir (il tempo mediano all'inizio era di 9 giorni); Sebbene le reazioni di ipersensibilità di Abacavir si siano verificate in qualsiasi momento durante il trattamento [vedi Reazioni avverse ]. Patients who carry the HLA-B*5701 allele are at a higher risk of abacavir hypersensitivity reactions; although patients who do not carry the HLA-B*5701 allele have developed hypersensitivity reactions. Hypersensitivity to abacavir was reported in approximately 206 (8%) of 2670 patients in 9 clinical trials with abacavir-containing products where HLA-B*5701 screening was not performed. The incidence of suspected abacavir hypersensitivity reactions in clinical trials was 1% when subjects carrying the HLA-B*5701 allele were excluded. In any patient treated with abacavir the clinical diagnosis of hypersensitivity reaction must remain the basis of clinical decision making.

A causa del potenziale per gravi reazioni di ipersensibilità gravi e forse fatali con Abacavir:

  • Tutti i pazienti devono essere sottoposti a screening per l'allele HLA-B*5701 prima di iniziare la terapia con Epzicom o reiniziazione della terapia con Epzicom a meno che i pazienti non abbiano una valutazione degli alleli HLA-B*5701 precedentemente documentata.
  • Epzicom is contraindicated in patients with a prior hypersensitivity reaction to abacavir and in HLA-B*5701-positive patients.
  • Prima di iniziare Epzicom a rivedere la storia medica per un'esposizione preventiva a qualsiasi prodotto abavizzato. Non riavviare mai Epzicom o nessun altro prodotto contenente Abacavir a seguito di una reazione di ipersensibilità ad Abacavir indipendentemente dallo stato HLA-B*5701.
  • Per ridurre il rischio di una reazione di ipersensibilità potenzialmente letale, indipendentemente dallo stato HLA-B*5701, interrompere immediatamente l'epzicom se si sospetta una reazione di ipersensibilità anche quando sono possibili altre diagnosi (ad esempio ad altri medicinali).
  • Se non è possibile escludere una reazione di ipersensibilità, non riavviare Epzicom o altri prodotti contenenti abavir perché i sintomi più gravi che possono includere ipotensione e morte potenzialmente letali possono verificarsi in poche ore.
  • Se si decide una reazione di ipersensibilità, i pazienti possono riavviare Epzicom. Raramente i pazienti che hanno fermato Abacavir per ragioni diverse dai sintomi di ipersensibilità hanno anche subito reazioni potenzialmente letali entro poche ore dalla reniziazione della terapia abacavir. Pertanto, è raccomandata la reintroduzione di Epzicom o qualsiasi altro prodotto contenente Abacavir solo se è possibile accedere alle cure mediche.
  • Una guida per i farmaci e una scheda di avvertimento che forniscono informazioni sul riconoscimento delle reazioni di ipersensibilità dovrebbero essere erogate con ogni nuova prescrizione e ricarica.

Pazienti con coinfezione da virus dell'epatite B

Esacerbazioni post -trattamento dell'epatite

Dopo l'interruzione della lamivudina si sono verificate prove cliniche e di laboratorio di esacerbazioni dell'epatite. Vedi informazioni di prescrizione completa per epivir (lamivudina). I pazienti devono essere attentamente monitorati con un follow-up clinico e di laboratorio per almeno diversi mesi dopo l'interruzione del trattamento.

Emergere di HBV resistente alla lamivudina

La sicurezza e l'efficacia della lamivudina non sono state stabilite per il trattamento dell'epatite B cronica in soggetti doppiamente infettati da HIV-1 e HBV. L'emergere di varianti di virus dell'epatite B associate alla resistenza alla lamivudina è stata riportata in soggetti infetti da HIV-1 che hanno ricevuto regimi antiretrovirali contenenti lamivudina in presenza di infezione concorrente con virus dell'epatite B. Vedi informazioni di prescrizione completa per epivir (lamivudina).

Acidosi lattica e grave epatomegalia con steatosi

L'acidosi lattica e l'epatomegalia grave con steatosi, compresi i casi fatali, sono stati riportati con l'uso di analoghi nucleosidici tra cui abacavir e lamivudina (componenti di Epzicom). La maggior parte di questi casi è stata nelle donne. Il sesso e l'obesità femminile possono essere fattori di rischio per lo sviluppo di acidosi lattica e grave epatomegalia con steatosi nei pazienti trattati con analoghi nucleosidici antiretrovirali. Vedi informazioni di prescrizione completa per Ziagen (Abacavir) ed epivir (lamivudina). Il trattamento con Epzicom deve essere sospeso in qualsiasi paziente che sviluppa risultati clinici o di laboratorio che suggerisce l'acido lattico o l'epatotossicità pronunciata che può includere epatomegalia e steatosi anche in assenza di marcati aumenti transaminasi.

Sindrome di ricostituzione immunitaria

La sindrome della ricostituzione immunitaria è stata riportata in pazienti trattati con terapia antiretrovirale combinata, incluso Epzicom. Durante la fase iniziale della combinazione, i pazienti con trattamento antiretrovirale il cui sistema immunitario risponde può sviluppare una risposta infiammatoria a infezioni opportunistiche indolenti o residue (come Mycobacterium avium Infezione Cytomegalovirus Pneumocystis jirovecii polmonite [PCP] o tubercolosi) che possono richiedere ulteriori valutazioni e trattamenti.

Sono stati anche segnalati disturbi autoimmuni (come la polimiosite della malattia di Graves e la sindrome di Guillain-Barré) nel contesto della ricostituzione immunitaria; Tuttavia, il tempo di insorgenza è più variabile e può verificarsi molti mesi dopo l'inizio del trattamento.

Infarto miocardico

Diversi studi epidemiologici osservazionali prospettici hanno riportato un'associazione con l'uso di Abacavir e il rischio di infarto del miocardio (MI). Le meta-analisi di studi clinici controllati randomizzati non hanno osservato alcun rischio in eccesso di IM nei soggetti trattati con Abacavir rispetto ai soggetti di controllo. Ad oggi non esiste un meccanismo biologico stabilito per spiegare il potenziale aumento del rischio. Nella totalità i dati disponibili dagli studi osservazionali e dagli studi clinici controllati mostrano incoerenza; Pertanto, le prove di una relazione causale tra il trattamento di Abacavir e il rischio di IM sono inconcludenti.

Come precauzione, il rischio sottostante di malattia coronarica dovrebbe essere preso in considerazione quando si prescrivono terapie antiretrovirali, tra cui Abacavir e azioni intraprese per ridurre al minimo tutti i fattori di rischio modificabili (ad es. Ipertensione iperlipidemia diabete mellito fumo).

Informazioni sulla consulenza del paziente

Consiglia al paziente di leggere l'etichettatura del paziente approvato dalla FDA ( Guida ai farmaci ).

Reazioni di ipersensibilità Inform Patients
  • Che una guida farmacologica e una scheda di avvertimento che riassumono i sintomi della reazione di ipersensibilità di Abacavir e altre informazioni sul prodotto saranno distribuite dal farmacista con ogni nuova prescrizione e ricarica di Epzicom e istruire il paziente a leggere ogni volta la guida ai farmaci e la scheda di avvertimento per ottenere nuove informazioni che possono essere presenti su Epzicom. Il testo completo della guida ai farmaci è ristampato alla fine di questo documento.
  • per portare con sé la scheda di avvertimento.
  • come identificare una reazione di ipersensibilità [vedi AVVERTIMENTOS AND PRECAUZIONI Informazioni sul paziente ].
  • Che se sviluppano sintomi coerenti con una reazione di ipersensibilità, dovrebbero chiamare immediatamente il proprio operatore sanitario per determinare se dovrebbero smettere di prendere Epzicom.
  • Che una reazione di ipersensibilità può peggiorare e portare al ricovero in ospedale o alla morte se Epzicom non viene immediatamente sospeso.
  • Non riavviare Epzicom o qualsiasi altro prodotto contenente Abacavir a seguito di una reazione di ipersensibilità perché possono verificarsi sintomi più gravi entro ore e possono includere ipotensione e morte potenzialmente letali.
  • Che se hanno una reazione di ipersensibilità, dovrebbero smaltire qualsiasi epzicom inutilizzato per evitare di riavviare Abacavir.
  • Che una reazione di ipersensibilità sia generalmente reversibile se viene rilevata prontamente e Epzicom viene arrestata immediatamente.
  • che se hanno interrotto l'Epzicom per ragioni diverse dai sintomi di ipersensibilità (ad esempio coloro che hanno un'interruzione nell'approvvigionamento di droghe) può verificarsi una reazione di ipersensibilità grave o fatale con reintroduzione di abacavir.
  • Non riavviare Epzicom o qualsiasi altro prodotto contenente Abacavir senza consultazione medica e solo se è possibile accedere a cure mediche dal paziente o da altri.
Pazienti con co-infezione da epatite B o C

Consiglia i pazienti co-infettati con HIV-1 e HBV che in alcuni casi si è verificato il peggioramento della malattia epatica quando il trattamento con lamivudina è stato sospeso. Consiglia ai pazienti di discutere eventuali cambiamenti nel regime con il proprio medico [vedi AVVERTIMENTOS AND PRECAUZIONI ].

Acidosi lattica/epatomegalia con steatosi

Consiglio ai pazienti che sono state riportate acidosi lattica e grave epatomegalia con steatosi con l'uso di analoghi nucleosidici e altri antiretrovirali. Consiglia ai pazienti di smettere di prendere Epzicom se sviluppano sintomi clinici che suggeriscono l'acido lattico o l'epatotossicità pronunciata [vedi AVVERTIMENTOS AND PRECAUZIONI ].

Sindrome di ricostituzione immunitaria

Consigliare ai pazienti di informare immediatamente il proprio operatore sanitario di eventuali segni e sintomi di infezione poiché l'infiammazione da infezione precedente può verificarsi subito dopo la combinazione di terapia antiretrovirale, incluso quando è iniziata l'epzicom [vedi AVVERTIMENTOS AND PRECAUZIONI ].

Registro di gravidanza

Consiglia ai pazienti che esiste un registro di esposizione alla gravidanza che monitora gli esiti di gravidanza nelle donne esposte a Epzicom durante la gravidanza [vedi Utilizzare in popolazioni specifiche ].

Lattazione

Istruire le donne con infezione da HIV-1 non allattare perché l'HIV-1 può essere passato al bambino nel latte materno [vedi Utilizzare in popolazioni specifiche ].

Dose persa

Istruire ai pazienti che se perdono una dose di Epzicom di prenderlo non appena si ricordano. Consiglia ai pazienti di non raddoppiare la loro prossima dose o di assumere più della dose prescritta [vedi Dosaggio e amministrazione ].

Disponibilità della guida ai farmaci

Chiedi ai pazienti di leggere la guida ai farmaci prima di iniziare Epzicom e di rileggerlo ogni volta che la prescrizione viene rinnovata. Chiedere ai pazienti di informare il proprio medico o farmacista se sviluppano un sintomo insolito o se un sintomo noto persiste o peggiora.

Epivir Epzicom Trizivir e Ziagen sono marchi di proprietà o autorizzati al gruppo di società VIIV Healthcare.

Gli altri marchi elencati sono marchi di proprietà o autorizzati ai rispettivi proprietari e non sono di proprietà o autorizzati al gruppo di società VIIV Healthcare. I produttori di questi marchi non sono affiliati e non sostengono il gruppo di aziende VIIV Healthcare o i suoi prodotti.

Tossicologia non clinica

Mutagenesi della carcinogenesi compromissione della fertilità

Cancerogenicità

Abacavir

Abacavir was administered orally at 3 dosage levels to separate groups of mice and rats in 2-year carcinogenicity studies. Results showed an increase in the incidence of malignant and non-malignant tumors. Malignant tumors occurred in the preputial gland of males and the clitoral gland of females of both species and in the liver of female rats. In addition non-malignant tumors also occurred in the liver and thyroid gland of female rats. These observations were made at systemic exposures in the range of 6 to 32 times the human exposure at the recommended dose of 600 mg.

Lamivudina

idrocodone acetaminofene 10-325 dosaggio

Gli studi di cancerogenicità a lungo termine con lamivudina nei topi e nei ratti non hanno mostrato alcuna evidenza di potenziale cancerogeno alle esposizioni fino a 10 volte (topi) e 58 volte (ratti) le esposizioni umane alla dose raccomandata di 300 mg.

Mutagenicità

Abacavir

Abacavir induced chromosomal aberrations both in the presence and absence of metabolic activation in an in vitro Studio citogenetico nei linfociti umani. Abacavir era mutagenico in assenza di attivazione metabolica sebbene non fosse mutageno in presenza di attivazione metabolica in un test del linfoma di topo L5178Y. Abacavir era clastogenico nei maschi e non clastogenico nelle femmine in un in vivo Tosaggio di micronucleo del midollo osseo del topo. Abacavir non era mutagenico nei test di mutagenicità batterica in presenza e assenza di attivazione metabolica.

Lamivudina

Lamivudina was mutagenic in an L5178Y mouse lymphoma assay and clastogenic in a cytogenetic assay using cultured human lymphocytes. Lamivudina was not mutagenic in a microbial mutagenicity assay in an in vitro Saggio di trasformazione cellulare in un test di micronucleo di ratto in un test citogenetico del midollo osseo di ratto e in un dosaggio per sintesi di DNA non programmata nel fegato di ratto.

Compromissione della fertilità

Abacavir

Abacavir did not affect male or female fertility in rats at a dose associated with exposures (AUC) approximately 3.3 times (male) or 4.1 times (female) those in humans at the clinically recommended dose.

Lamivudina

Lamivudina did not affect male or female fertility in rats at doses up to 4000 mg per kg per day associated with concentrations approximately 42 times (male) or 63 times (female) higher than the concentrations (Cmax) in humans at the dose of 300 mg.

Utilizzare in popolazioni specifiche

Gravidanza

Gravidanza Exposure Registry

Esiste un registro di esposizione alla gravidanza che monitora gli esiti di gravidanza nelle donne esposte a Epzicom durante la gravidanza. Gli operatori sanitari sono incoraggiati a registrare i pazienti chiamando il registro di gravidanza antiretrovirale (APR) al numero 1-800-258-4263.

Riepilogo del rischio

I dati disponibili dall'APR non mostrano alcuna differenza nel rischio complessivo di difetti alla nascita per Abacavir o Lamivudine rispetto al tasso di fondo per i difetti alla nascita del 2,7% nel Metropolitan Atlanta Congenity Defects Program (MACDP) Popolazione Dati ). The APR uses the MACDP as the U.S. reference population for birth defects in the general population. The MACDP evaluates women and infants from a limited geographic area and does not include outcomes for births that occurred at less than 20 weeks’ gestation. The rate of miscarriage is not reported in the APR. The estimated background rate of miscarriage in clinically recognized pregnancies in the U.S. general population is 15% to 20%. The background risk for major birth defects and miscarriage for the indicated population is unknown.

Negli studi sulla riproduzione degli animali La somministrazione orale di abacavir ai ratti in gravidanza durante l'organogenesi ha provocato malformazioni fetali e altre tossicità embrionali e fetali alle esposizioni 35 volte l'esposizione umana (AUC) alla dose clinica raccomandata. Tuttavia, non sono stati osservati effetti avversi sullo sviluppo a seguito della somministrazione orale di abacavir ai conigli incinta durante l'organogenesi alle esposizioni circa 9 volte l'esposizione umana (AUC) alla dose clinica raccomandata. La somministrazione orale di lamivudina ai conigli incinta durante l'organogenesi ha comportato l'embriletalità all'esposizione sistemica (AUC) simile alla dose clinica raccomandata; Tuttavia, non sono stati osservati effetti di sviluppo avverso con somministrazione orale di lamivudina ai ratti in gravidanza durante l'organogenesi a concentrazioni plasmatiche (CMAX) 35 volte la dose clinica raccomandata (vedi Dati ).

Dati

Dati umani

Abacavir

Sulla base di potenziali rapporti all'APR delle esposizioni ad Abacavir durante la gravidanza con conseguenti nascite vive (inclusi oltre 1300 esposti nel primo trimestre e oltre 1300 esposti nel secondo/terzo trimestre) non vi era alcuna differenza tra il rischio complessivo di difetti alla nascita per Abacavir rispetto al tasso di difetto di nascita di fondo del 2,7% nel

Popolazione di riferimento degli Stati Uniti del MACDP. La prevalenza di difetti nelle nascite vive è stata del 3,2% (IC 95%: dal 2,3% al 4,3%) dopo l'esposizione al primo trimestre ai regimi contenenti Abacavir e 2,9% (IC 95%: dal 2,1% al 4,0%) dopo l'esposizione del secondo/terzo trimestre a Abacavir.

Abacavir has been shown to cross the placenta and concentrations in neonatal plasma at birth were essentially equal to those in maternal plasma at delivery [see Farmacologia clinica ].

Lamivudina

Sulla base di potenziali rapporti all'APR delle esposizioni alla lamivudina durante la gravidanza con conseguenti nascite vive (tra cui oltre 5300 esposte nel primo trimestre e oltre 7400 esposte nel secondo/terzo trimestre) non vi era alcuna differenza tra il rischio complessivo di difetti alla nascita per la lamivudina rispetto al tasso di difetto di nascita di fondo del 2,7% nella popolazione di riferimento degli Stati Uniti del MacDP. La prevalenza dei difetti alla nascita nelle nascite vive è stata del 3,1% (IC 95%: dal 2,7% al 3,6%) dopo l'esposizione del primo trimestre a regimi contenenti lamivudina e 2,9% (IC 95%: 2,5% 3,3%) dopo l'esposizione del secondo/terzo trimestre in lamivudineing.

Lamivudina pharmacokinetics were studied in pregnant women during 2 clinical trials conducted in South Africa. The trials assessed pharmacokinetics in 16 women at 36 weeks’ gestation using 150 mg lamivudine twice daily with zidovudine 10 women at 38 weeks’ gestation using 150 mg lamivudine twice daily with zidovudine and 10 women at 38 weeks’ gestation using lamivudine 300 mg twice daily without other antiretrovirals. These trials were not designed or powered to provide efficacy information. Lamivudina concentrations were generally similar in maternal neonatal and umbilical cord serum samples. In a subset of subjects amniotic fluid specimens were collected following natural rupture of membranes and confirmed that lamivudine crosses the placenta in humans. Based on limited data at delivery median (range) amniotic fluid concentrations of lamivudine were 3.9 (1.2 to 12.8)–fold greater compared with paired maternal serum concentration (n = 8).

Dati sugli animali

Abacavir

Abacavir was administered orally to pregnant rats (at 100 300 and 1000 mg per kg per day) and rabbits (at 125 350 or 700 mg per kg per day) during organogenesis (on Gestation Days 6 through 17 and 6 through 20 respectively). Fetal malformations (increased incidences of fetal anasarca and skeletal malformations) or developmental toxicity (decreased fetal body weight and crown-rump length) were observed in rats at doses up to 1000 mg per kg per day resulting in exposures approximately 35 times the human exposure (AUC) at the recommended daily dose. No developmental effects were observed in rats at 100 mg per kg per day resulting in exposures (AUC) 3.5 times the human exposure at the recommended daily dose. In a fertility and early embryo-fetal development study conducted in rats (at 60 160 or 500 mg per kg per day) embryonic and fetal toxicities (increased resorptions decreased fetal body weights) or toxicities to the offspring (increased incidence of stillbirth and lower body weights) occurred at doses up to 500 mg per kg per day. No developmental effects were observed in rats at 60 mg per kg per day resulting in exposures (AUC) approximately 4 times the human exposure at the recommended daily dose. Studies in pregnant rats showed that abacavir is transferred to the fetus through the placenta. In pregnant rabbits no developmental toxicities and no increases in fetal malformations occurred at up to the highest dose evaluated resulting in exposures (AUC) approximately 9 times the human exposure at the recommended dose.

Lamivudina

Lamivudina was administered orally to pregnant rats (at 90 600 and 4000 mg per kg per day) and rabbits (at 90 300 and 1000 mg per kg per day and at 15 40 and 90 mg per kg per day) during organogenesis (on Gestation Days 7 through 16 [rat] and 8 through 20 [rabbit]). No evidence of fetal malformations due to lamivudine was observed in rats and rabbits at doses producing plasma concentrations (Cmax) approximately 35 times higher than human exposure at the recommended daily dose. Evidence of early embryolethality was seen in the rabbit at systemic exposures (AUC) similar to those observed in humans but there was no indication of this effect in the rat at plasma concentrations (Cmax) 35 times higher than human exposure at the recommended daily dose. Studies in pregnant rats showed that lamivudine is transferred to the fetus through the placenta. In the fertility/pre-and postnatal development study in rats lamivudine was administered orally at doses of 180 900 and 4000 mg per kg per day from prior to mating through postnatal Day 20). In the study development of the offspring including fertility and reproductive performance were not affected by the maternal administration of lamivudine.

Lattazione

Riepilogo del rischio

I Centri per il controllo e la prevenzione delle malattie raccomandano alle madri infette dall'HIV-1 negli Stati Uniti non allattavano i loro bambini per evitare di rischiare la trasmissione postnatale dell'infezione da HIV-1. Abacavir e lamivudina sono presenti nel latte umano. Non ci sono informazioni sugli effetti di abacavir e lamivudina sul bambino allattato al seno o sugli effetti del farmaco sulla produzione di latte. A causa del potenziale per (1) trasmissione dell'HIV-1 (nei neonati HIV-negativi) (2) sviluppare resistenza virale (nei neonati sieropositivi) e (3) reazioni avverse in un bambino allattato al seno simile a quelli osservati negli adulti istruiscono le madri a non allattare se ricevono Epzicom.

Uso pediatrico

Le raccomandazioni sul dosaggio in questa popolazione si basano sulla sicurezza e l'efficacia stabilite in una sperimentazione controllata condotta utilizzando la combinazione di epivir e zogen o epzicom [vedi Dosaggio e amministrazione Reazioni avverse Studi clinici ].

Nei pazienti pediatrici che pesano meno di 25 kg di uso di abacavir e lamivudina come singoli prodotti si raccomanda di ottenere un dosaggio adeguato.

Uso geriatrico

Gli studi clinici di Abacavir e Lamivudine non includevano un numero sufficiente di soggetti di età pari o superiore a 65 anni per determinare se rispondono in modo diverso dai soggetti più giovani. In generale, dovrebbe essere esercitata nella somministrazione di Epzicom nei pazienti anziani che riflettono la maggiore frequenza della ridotta funzione renale epatica e cardiaca e di malattia concomitante o altra terapia farmacologica [vedi Dosaggio e amministrazione Pazienti con funzionalità renale alterata pazienti con funzionalità epatica compromessa ].

Pazienti con funzionalità renale alterata

Epzicom is not recommended for patients with creatinine clearance less than 30 mL per min because Epzicom is a fixed-dose combination and the dosage of the individual components cannot be adjusted. If a dose reduction of lamivudine a component of Epzicom is required for patients with creatinine clearance less than 30 mL per min then the individual components should be used [see Farmacologia clinica ].

I pazienti con clearance della creatinina tra 30 e 49 ml per min che ricevono Epzicom possono sperimentare un'esposizione a lamivudina più alta da 1,6 a 3,3 volte (AUC) rispetto ai pazienti con clearance di creatinina ≥50 ml al minuto. Non ci sono dati di sicurezza da studi randomizzati controllati che confrontano Epzicom con i singoli componenti in pazienti con clearance della creatinina tra 30 e 49 ml per min che hanno ricevuto lamivudina adeguata alla dose. Negli studi di registrazione originali di lamivudina in combinazione con le esposizioni di lamivudina più elevate di zidovudina erano associati a tassi più elevati di tossicità ematologiche (neutropenia e anemia) sebbene si verifichino discontinuazioni dovute a neutropenia o anemia ciascuna in <1% of subjects. Patients with a sustained creatinine clearance between 30 and 49 mL per min who receive Epzicom should be monitored for hematologic toxicities. If new or worsening neutropenia or anemia develop dose adjustment of lamivudine per lamivudine prescribing information is recommended. If lamivudine dose adjustment is indicated Epzicom should be discontinued and the individual components should be used to construct the treatment regimen.

Pazienti con funzionalità epatica compromessa

Epzicom is a fixed-dose combination and the dosage of the individual components cannot be adjusted. If a dose reduction of abacavir a component of Epzicom is required for patients with mild hepatic impairment (Child-Pugh Class A) then the individual components should be used [see Farmacologia clinica ].

L'efficacia della sicurezza e le proprietà farmacocinetiche di Abacavir non sono state stabilite in pazienti con compromissione epatica moderata (classe-pugh di classe B) o grave (classe-pugh di classe C); Pertanto l'epzicom è controindicato in questi pazienti [vedi Controindicazioni ].

Informazioni per overdose per Epzicom

Non esiste un trattamento specifico noto per il sovradosaggio con Epzicom. Se si verifica un overdose, il paziente deve essere monitorato e il trattamento di supporto standard applicato come richiesto.

Abacavir

Non è noto se Abacavir possa essere rimosso dalla dialisi peritoneale o dall'emodialisi.

Lamivudina

Poiché una quantità trascurabile di lamivudina è stata rimossa tramite emodialisi (4 ore) (dialisi peritoneale ambulatoriale continua e dialisi peritoneale automatizzata, non è noto se l'emodialisi continua avrebbe fornito benefici clinici in un evento di overdose di lamivudina.

Controindicazioni per epzicom

Epzicom is contraindicated in patients:

  • che hanno l'allele HLA-B*5701 [vedi AVVERTIMENTOS AND PRECAUZIONI ].
  • con una precedente reazione di ipersensibilità ad Abacavir [vedi AVVERTIMENTOS AND PRECAUZIONI ] o lamivudina.
  • con compromissione epatica moderata o grave [vedi Utilizzare in popolazioni specifiche ].

Farmacologia clinica for Epzicom

Meccanismo d'azione

Epzicom is an antiretroviral agent with activity against HIV-1 [see Microbiologia ].

Farmacocinetica

Farmacocinetica In Adulti

In una sperimentazione di biodisponibilità crossover a 3 vie monodose di 1 compressa epzicom rispetto a 2 compresse di ziagen (2 x 300 mg) e 2 compresse di epivir (2 x 150 mg) somministrate simultaneamente in soggetti sani (n = 25) non vi era alcuna differenza nell'estensione di assorbimento misurata dall'area sotto il PLASMA Concentrazione (AUC) e massal) e massima) componente.

Abacavir

A seguito di somministrazione orale Abacavir viene rapidamente assorbito e ampiamente distribuito. Dopo la somministrazione orale di una singola dose di 600 mg di abacavir in 20 soggetti CMAX era 4,26 ± 1,19 mcg per ml (media ± DS) e AUC∞ era 11,95 ± 2,51 mcg • ora per ml. Il legame di Abacavir alle proteine ​​plasmatiche umane è di circa il 50% ed era indipendente dalla concentrazione. Le concentrazioni di radioattività totali e plasmatiche di radioattività sono identiche dimostrando che Abacavir si distribuisce prontamente negli eritrociti. Le rotte primarie di eliminazione di abacavir sono il metabolismo mediante alcol deidrogenasi per formare l'acido 5′-carbossilico e il glucuronil transferasi per formare il 5′-glucuronide.

Lamivudina

Dopo la somministrazione orale lamivudina viene rapidamente assorbita e ampiamente distribuita. Dopo la somministrazione orale a dose multipla di lamivudina 300 mg una volta al giorno per 7 giorni a 60 soggetti sani CMAX (CMAXSS) era 2,04 ± 0,54 mcg per ml (media ± DS) e l'AUC a stato stazionario di 24 ore (AUC24SS) era 8,87 ± 1,83 mcg • Hour per ML. Il legame con la proteina plasmatica è basso. Circa il 70% di una dose endovenosa di lamivudina viene recuperato come farmaco invariato nelle urine. Il metabolismo della lamivudina è un percorso minore di eliminazione. Nell'uomo l'unico metabolita noto è il metabolita trans-solfossido (circa il 5% di una dose orale dopo 12 ore).

Nell'uomo abacavir e lamivudina non sono significativamente metabolizzati dagli enzimi del citocromo P450 (CYP).

Le proprietà farmacocinetiche di abacavir e lamivudina nei soggetti a digiuno sono riassunte nella Tabella 2.

Tabella 2. Parametri farmacocinetici a per abacavir e lamivudina negli adulti

Parametro Abacavir Lamivudina
Biodisponibilità orale (%) 86 ± 25 n = 6 86 ± 16 n = 12
Volume apparente di distribuzione (l/kg) 0,86 ± 0,15 n = 6 1,3 ± 0,4 n = 20
Li un autorizzazione sistemica (L/H/KG) 0,80 ± 0,24 n = 6 0,33 ± 0,06 n = 20
Li un autorizzazione renale (L/H/KG) 0,007 ± 0,008 n = 6 0,22 ± 0,06 n = 20
Emifiega di eliminazione (H) 1,45 ± 0,32 n = 20 13-19 b
a Dati presented as mean ± standard deviation except where noted.
b Gamma approssimativa.
Effetto del cibo sull'assorbimento di epzicom

Epzicom may be administered with or without food. Administration with a high-fat meal in a single-dose bioavailability trial resulted in no change in AUClast AUC∞ and Cmax for lamivudine. Food did not alter the extent of systemic exposure to abacavir (AUC∞) but the rate of absorption (Cmax) was decreased approximately 24% compared with fasted conditions (n = 25). These results are similar to those from previous trials of the effect of food on abacavir and lamivudine tablets administered separately.

Popolazioni specifiche

Pazienti con compromissione renale

La farmacocinetica per la singola componente di lamivudina di Epzicom è stata valutata in pazienti con compromissione renale (vedere le informazioni di prescrizione degli Stati Uniti per la singola componente di lamivudina).

Pazienti con compromissione epatica

La farmacocinetica per i singoli componenti di Epzicom è stata valutata in pazienti con vari gradi di compromissione epatica (vedere le informazioni che prescrivono gli Stati Uniti per i singoli componenti di Abacavir e Lamivudine).

Donne incinte

Abacavir

Abacavir pharmacokinetics were studied in 25 pregnant women during the last trimester of pregnancy receiving abacavir 300 mg twice daily. Abacavir exposure (AUC) during pregnancy was similar to those in postpartum and in HIV-infected non-pregnant historical controls. Consistent with passive diffusion of abacavir across the placenta abacavir concentrations in neonatal plasma cord samples at birth were essentially equal to those in maternal plasma at delivery.

Lamivudina

Lamivudina pharmacokinetics were studied in 36 pregnant women during 2 clinical trials conducted in South Africa. Lamivudina pharmacokinetics in pregnant women were similar to those seen in non-pregnant adults and in postpartum women. Lamivudina concentrations were generally similar in maternal neonatal and umbilical cord serum samples.

Pazienti pediatrici

Abacavir and Lamivudina

I dati farmacocinetici per abacavir e lamivudina a seguito della somministrazione di epzicom in soggetti pediatrici del peso di 25 kg e oltre sono limitati. Le raccomandazioni di dosaggio in questa popolazione si basano sulla sicurezza e l'efficacia stabilite in una sperimentazione controllata condotta utilizzando la combinazione di epivir e ziagen o epzicom. Fare riferimento a Epivir e Ziagen USPI per informazioni farmacocinetiche sui singoli prodotti nei pazienti pediatrici [vedi Dosaggio e amministrazione Reazioni avverse Studi clinici ].

Pazienti geriatrici

La farmacocinetica di Abacavir e Lamivudine non è stata studiata in soggetti di età superiore ai 65 anni.

Pazienti maschi e femmine

Non ci sono differenze di genere significative o clinicamente rilevanti nella farmacocinetica dei singoli componenti (abacavir o lamivudina) in base alle informazioni disponibili analizzate per ciascuno dei singoli componenti.

Gruppi razziali

Non ci sono differenze razziali significative o clinicamente rilevanti nella farmacocinetica dei singoli componenti (abacavir o lamivudina) in base alle informazioni disponibili analizzate per ciascuno dei singoli componenti.

Studi sull'interazione farmacologica

Le interazioni farmacologiche descritte si basano su studi condotti con abacavir o lamivudina come singole entità; Non sono stati condotti studi di interazione farmacologica con Epzicom.

Effetto di abacavir e lamivudina sulla farmacocinetica di altri agenti:

In vitro Gli studi hanno dimostrato che Abacavir ha il potenziale per inibire il CYP1A1 e il potenziale limitato per inibire il metabolismo mediato dal CYP3A4. La lamivudina non inibisce o induce il CYP3A4. Abacavir e lamivudina non inibiscono o inducono altri enzimi del CYP (come CYP2C9 o CYP2D6). Basato su in vitro study results abacavir and lamivudine at therapeutic drug exposures are not expected to affect the pharmacokinetics of drugs that are substrates of the following transporters: organic anion transporter polypeptide (OATP)1B1/3 breast cancer resistance protein (BCRP) or P-glycoprotein (P-gp) organic cation transporter (OCT)1 OCT2 OCT3 (lamivudine only) or Proteina multidrug ed estrusione tossica (Mate) 1 e Mate2-K.

Riociguat

La somministrazione di co-somministrazione di una singola dose di riociguat (NULL,5 mg) a soggetti infetti da HIV-1 che riceve abacavir a dose fissa/doloutegravir/lamivudina è segnalato per aumentare la riociguat AUC (∞) rispetto al riociguat AUC (∞) riportato in materie sane a causa dell'inibizione del CYP1A1. L'entità esatta di aumento dell'esposizione di riociguat non è stata completamente caratterizzata in base ai risultati di due studi [vedi Interazioni farmacologiche ].

Effetto di altri agenti sulla farmacocinetica di Abacavir o Lamivudine

Abacavir and lamivudine are not significantly metabolized by CYP enzymes; therefore CYP enzyme inhibitors or inducers are not expected to affect their concentrations. In vitro abacavir is not a substrate of OATP1B1 OATP1B3 OCT1 OCT2 OAT1 MATE1 MATE2-K multidrug resistance-associated protein 2 (MRP2) or MRP4; therefore drugs that modulate these transporters are not expected to affect abacavir plasma concentrations. Abacavir is a substrate of BCRP and P-gp in vitro ; Tuttavia, considerando i suoi modulatori assoluti di biodisponibilità (83%) di questi trasportatori, è improbabile che comporti un impatto clinicamente rilevante sulle concentrazioni di Abacavir.

Lamivudina is a substrate of MATE1 MATE2-K and OCT2 in vitro . Timetoprim (un inibitore di questi trasportatori di farmaci) ha dimostrato di aumentare le concentrazioni plasmatiche di lamivudina. Questa interazione non è considerata clinicamente significativa in quanto non è necessario alcun aggiustamento della dose della lamivudina.

Lamivudina is a substrate of P-gp and BCRP; however considering its absolute bioavailability (87%) it is unlikely that these transporters play a significant role in the absorption of lamivudine. Therefore coadministration of drugs that are inhibitors of these efflux transporters is unlikely to affect the disposition and elimination of lamivudine.

Abacavir

Lamivudina and/or Zidovudina

Quindici soggetti infetti da HIV-1 sono stati iscritti a uno studio di interazione farmacologica progettata dal crossover che valuta le singole dosi di abacavir (600 mg) lamivudina (150 mg) e zidovudina (300 mg) da sola o in combinazione. L'analisi non ha mostrato cambiamenti clinicamente rilevanti nella farmacocinetica di Abacavir con l'aggiunta di lamivudina o zidovudina o la combinazione di lamivudina e zidovudina. L'esposizione alla lamivudina (AUC è diminuita del 15%) e l'esposizione alla zidovudina (AUC è aumentata del 10%) non ha mostrato cambiamenti clinicamente rilevanti con Abacavir simultaneo.

Lamivudina

Zidovudina

Non sono state osservate alterazioni clinicamente significative in lamivudina o farmacocinetica di zidovudina in 12 soggetti adulti infetti da HIV-1 asintomatici, somministrata una singola dose di zidovudina (200 mg) in combinazione con dosi multiple di lamivudina (300 mg ogni 12 ore).

Altre interazioni

Etanolo

Abacavir has no effect on the pharmacokinetic properties of ethanol. Etanolo decreases the elimination of abacavir causing an increase in overall exposure.

Interferone alfa

Non vi è stata alcuna interazione farmacocinetica significativa tra lamivudina e interferone alfa in uno studio su 19 soggetti maschi sani.

Metadone

In una sperimentazione di 11 soggetti infetti da HIV-1 che ricevono terapia di mantenimento del metadone (40 mg e 90 mg al giorno) con 600 mg di Ziagen due volte al giorno (due volte la dose attualmente raccomandata) è aumentata la clearance orale del metadone orale (IC 90%: dal 6% al 42%) [vedi) [Vedi) [Vedi Interazioni farmacologiche ]. The addition of methadone has no clinically significant effect on the pharmacokinetic properties of abacavir.

Ribavirin

In vitro I dati indicano che ribavirina riduce la fosforilazione della stavudina e della zidovudina. However no pharmacokinetic (e.g. plasma concentrations or intracellular triphosphorylated active metabolite concentrations) or pharmacodynamic (e.g. loss of HIV-1/HCV virologic suppression) interaction was observed when ribavirin and lamivudine (n = 18) stavudine (n = 10) or zidovudine (n = 6) were coadministered as part of a multi-drug regimen ai soggetti co-infetti da HIV-1/HCV.

Sorbitolo (Excipient)

Lamivudina and sorbitol solutions were coadministered to 16 healthy adult subjects in an open-label randomized-sequence 4-period crossover trial. Each subject received a single 300-mg dose of lamivudine oral solution alone or coadministered with a single dose of 3.2 grams 10.2 grams or 13.4 grams of sorbitol in solution. Coadministration of lamivudine with sorbitol resulted in dose-dependent decreases of 20% 39% and 44% in the AUC(0-24); 14% 32% and 36% in the AUC(∞); and 28% 52% and 55% in the Cmax; of lamivudine respectively.

Gli effetti di altri farmaci somministrati in co -cofano su abacavir o lamivudina sono forniti nella Tabella 3.

Tabella 3. Effetto dei farmaci somministrati in co -abacavir o lamivudina

Droga e dose amministrati in co -somministrazione Droga e dose n Concentrazioni di abacavir o lamivudina Concentrazione di farmaco somministrato in co -amministrazione
AUC Variabilità
Etanolo 0.7 g/kg Abacavir Single 600 mg 24 ↑ 41% 90% CI:
Dal 35% al ​​48%
a
Nelfinavir 750 mg ogni 8 h x 7-10 giorni Lamivudina Single 150 mg 11 ↑ 10% 95% CI:
Dall'1% al 20%
TRIMETHOPRIM 160 mg/ sulfametossazolo 800 mg al giorno x 5 giorni Lamivudina Single 300 mg 14 ↑ 43% 90% CI:
Dal 32% al 55%
↑ = aumento; ↔ = nessun cambiamento significativo; AUC = area sotto la concentrazione rispetto alla curva temporale; CI = intervallo di confidenza.
a L'interazione farmaco-farmaco è stata valutata solo nei maschi.

Microbiologia

Meccanismo d'azione

Abacavir

Abacavir is a carbocyclic synthetic nucleoside analogue. Abacavir is converted by cellular enzymes to the active metabolite carbovir triphosphate (CBV-TP) an analogue of deoxyguanosine-5′-triphosphate (dGTP). CBV-TP inhibits the activity of HIV-1 reverse transcriptase (RT) both by competing with the natural substrate dGTP and by its incorporation into viral DNA.

Lamivudina

Lamivudina is a synthetic nucleoside analogue. Intracellularly lamivudine is phosphorylated to its active 5′-triphosphate metabolite lamivudine triphosphate (3TC-TP). The principal mode of action of 3TC-TP is inhibition of RT via DNA chain termination after incorporation of the nucleotide analogue.

Attività antivirale

Abacavir

L'attività antivirale di Abacavir contro l'HIV-1 è stata valutata in una serie di linee cellulari tra cui monociti/macrofagi primari e cellule mononucleate del sangue periferico (PBMC). EC 50 I valori variavano da 3700 a 5800 nm (1 nm = 0,28 ng per ml) e da 70 a 1000 nm contro rispettivamente HIV-1iiib e HIV-1 e la media EC 50 Il valore era di 260 ± 180 nm contro 8 isolati clinici. La mediana EC 50 I valori di Abacavir erano 344 nm (intervallo: da 14,8 a 676 nm) 16,9 nm (intervallo: da 5,9 a 27,9 nm) 8,1 nm (intervallo: da 1,5 a 16,7 nm) 356 nm (intervallo: da 35,7 a 396 nm) 105 nm (intervallo: da 28,1 a 168 nm) 47,6 nm (NULL,2 a 200 nm) Da 7,1 a 177 nm) e 282 nm (intervallo: da 22,4 a 598 nm) contro le pale HIV-1 A-G e il gruppo O virus (n = 3 tranne n = 2 per il clade B) rispettivamente. La EC 50 I valori contro gli isolati dell'HIV-2 (n = 4) variavano da 24 a 490 nm.

Lamivudina

L'attività antivirale della lamivudina contro l'HIV-1 è stata valutata in una serie di linee cellulari tra cui monociti e PBMC usando saggi di suscettibilità standard. EC 50 I valori erano nell'intervallo da 3 a 15000 nm (1 nm = 0,23 ng per ml). La mediana EC 50 I valori di lamivudina erano 60 nm (intervallo: da 20 a 70 nm) 35 nm (intervallo: da 30 a 40 nm) 30 nm (intervallo: da 20 a 90 nm) 20 nm (intervallo: da 3 a 40 nm) 30 nm (intervallo: da 1 a 60 nm) 30 nm) (intervallo di HIV) (range a 90 nm) e virus del gruppo O (n = 3 tranne n = 2 per il clade b) rispettivamente. La EC 50 I valori contro gli isolati dell'HIV-2 (n = 4) variavano da 3 a 120 nm in PBMC. La ribavirina (50000 nm) utilizzata nel trattamento dell'infezione cronica di HCV ha ridotto l'attività anti-HIV-1 della lamivudina di 3,5 volte nelle cellule MT-4.

La combinazione di abacavir e lamivudina ha dimostrato l'attività antivirale nella coltura cellulare contro isolati non subtipi B e isolati di HIV-2 con attività antivirale equivalente come per gli isolati del sottotipo B. Né Abacavir né lamivudina erano antagonisti per tutti gli agenti anti-HIV testati. Vedi informazioni di prescrizione completa per Ziagen (Abacavir) ed epivir (lamivudina). La ribavirina utilizzata nel trattamento dell'infezione da HCV ha ridotto la potenza anti-HIV-1 di abacavir/lamivudina riproducibilmente mediante coltura cellulare da 2 a 6 volte.

Resistenza

HIV-1 isolates with reduced susceptibility to the combination of abacavir and lamivudine have been selected in cell culture with amino acid substitutions K65R L74V Y115F and M184V/I emerging in HIV-1 RT. M184V or I substitutions resulted in high-level resistance to lamivudine and an approximately 2-fold decrease in susceptibility to abacavir. Substitutions K65R L74M or Y115F with M184V or I conferred a 7-to 8-fold reduction in abacavir susceptibility and combinations of three substitutions were required to confer more than an 8-fold reduction in susceptibility.

Resistenza incrociata

La resistenza incrociata è stata osservata tra gli inibitori della trascrittasi inversa nucleosidica (NRTI). La combinazione di abacavir/lamivudina ha dimostrato una ridotta suscettibilità ai virus con una sostituzione K65R con o senza una sostituzione di M184V/I virus con L74V più la sostituzione M184V/I e i virus della timidina (TAMS: M41L D67N K70R L210W T215Y/F K219E/R/H/Q/N) più M184V. Un numero crescente di TAM è associato a una progressiva riduzione della suscettibilità di Abacavir.

Tossicologia animale e/o farmacologia

La degenerazione miocardica è stata trovata nei topi e nei ratti dopo la somministrazione di Abacavir per 2 anni. Le esposizioni sistemiche erano equivalenti a 7-24 volte l'esposizione sistemica attesa nell'uomo alla dose di 600 mg. La rilevanza clinica di questa scoperta non è stata determinata.

Studi clinici

Adulti

Una compressa Epzicom fornita una volta al giorno è un regime alternativo a compresse di epivir 300 mg una volta al giorno più compresse Ziagen 2 x 300 mg una volta al giorno come componente della terapia antiretrovirale.

Il seguente studio è stato condotto con i singoli componenti di Epzicom.

Adulti naive per terapia

CNA30021 era uno studio internazionale controllato in doppio; La durata del trattamento in doppio cieco è stata di almeno 48 settimane. I partecipanti al processo avevano un'età media di 37 anni; erano maschi (81%) bianco (54%) nero (27%) e ispanico americano (15%). La conta delle cellule CD4 di base mediana era di 262 cellule per mm 3 (Intervallo: da 21 a 918 celle per mm 3 ) e l'RNA di HIV-1 al plasma di base mediana era di 4,89 copie log10 per ml (intervallo: da 2,60 a 6,99 copie Log10 per ml).

I risultati del trattamento randomizzato sono forniti nella Tabella 4.

Tabella 4. Risultati del trattamento randomizzato attraverso la settimana 48 (CNA30021)

Risultato Ziagen 600 mg Q.D. Più epivir di più
Efavirenz
(n = 384)
Ziagen 300 mg b.i.d. Più epivir di più
Efavirenz
(n = 386)
Risponditore a 64% (71%) 65% (72%)
Insufficienza virologica b 11% (5%) 11% (5%)
Interrotto a causa di reazioni avverse 13% 11%
Interrotto a causa di altri motivi c 11% 11%
a Soggetti raggiunti e mantenuti RNA HIV-1 confermato inferiore a 50 copie per ml (meno di 400 copie per ml) fino alla settimana 48 (Roche Amploring Ultrasensitive HIV-1 Monitor STANDARD Test versione 1.0).
b Include l'incapacità del rimbalzo virale di ottenere confermate meno di 50 copie per ml (meno di 400 copie per ml) entro la settimana 48 e una risposta insufficiente di carico virale.
c Include il consenso ritirato perduto per violazioni del protocollo di follow-up Progressione clinica e altro.

Dopo 48 settimane di terapia, gli aumenti delle cellule CD4 mediani dal basale erano 188 cellule per mM 3 Nel gruppo che riceve Ziagen 600 mg una volta al giorno e 200 celle per mm 3 Nel gruppo che riceve Ziagen 300 mg due volte al giorno. Durante la settimana 48 6 soggetti (2%) nel gruppo che riceve Ziagen 600 mg una volta al giorno (4 eventi di classificazione C CDC e 2 decessi) e 10 soggetti (3%) nel gruppo in ricezione di Ziagen 300 mg due volte al giorno (7 eventi di classificazione C CDC e 3 morti) hanno avuto una progressione delle malattie cliniche. Nessuno dei decessi è stato attribuito ai farmaci di prova.

Soggetti pediatrici

Arrow (COL105677) è stato uno studio multicentrico randomizzato a 5 anni che ha valutato molteplici aspetti della gestione clinica dell'infezione da HIV-1 nei soggetti pediatrici. I soggetti naïve al trattamento con infezione da HIV-1 da 3 mesi a 17 anni sono stati iscritti e trattati con un regime di prima linea contenente Abacavir e lamivudina dosati due volte al giorno secondo le raccomandazioni dell'Organizzazione mondiale della sanità. Dopo un minimo di 36 settimane di terapia, i soggetti hanno avuto la possibilità di partecipare alla randomizzazione 3 dello studio della freccia confrontando la sicurezza e l'efficacia del dosaggio una volta al giorno con il dosaggio due volte al giorno di abacavir e lamivudina in combinazione con un terzo farmaco antiretrovirale per altre 96 settimane. La soppressione virologica non era un requisito per la partecipazione al basale per la randomizzazione 3. Al basale per la randomizzazione 3 (a seguito di un minimo di 36 settimane di trattamento due volte al giorno) del 75% dei soggetti nella coorte due volte al giorno sono stati soppressi virologicamente rispetto al 71% dei soggetti nella coorte un tempo-dogana.

Dei 1206 soggetti di freccia originali 669 hanno partecipato a randomizzazione 3. Soggetti randomizzati a ricevere un dosaggio una volta al giorno (n = 336) e che hanno pesato almeno 25 kg hanno ricevuto Abacavir 600 mg e lamivudina 300 mg come singole entità o come Epzicom.

Le proporzioni di soggetti con RNA dell'HIV-1 inferiore a 80 copie per ml per 96 settimane sono mostrate nella Tabella 5. Le differenze tra le risposte virologiche nei due bracci di trattamento erano comparabili tra le caratteristiche basali per genere e età.

Tabella 5. Esito virologico di trattamento randomizzato alla settimana 96 a (Randomizzazione freccia 3)

Risultato Abacavir plus Lamivudina Twice-Daily Dosing
(n = 333)
Abacavir plus Lamivudina Once-Daily Dosing
(n = 336)
HIV-1 RNA <80 copies/mL b 70% 67%
HIV-1 RNA ≥80 copies/mL c 28% 31%
Nessun dato virologico 28% 31%
Discontinued due to adverse event or death 1% <1%
Discontinued study for other reasons d 0% <1%
Missing data during window but on study 1% 1%
a Le analisi erano basate sull'ultimo dati di carico virale osservato all'interno della finestra della settimana 96.
b La differenza di rischio (IC 95%) del tasso di risposta è del -2,4% (da -9% al 5%) alla settimana 96.
c Include soggetti che hanno interrotto a causa della mancanza o della perdita di efficacia o per motivi diversi da un evento avverso o per la morte e hanno avuto un valore di carico virale maggiore o uguale a 80 copie per ml o soggetti che avevano un interruttore nel regime di fondo che non era consentito dal protocollo.
d Altri includono ragioni come la perdita di consenso ritirata al follow-up ecc. E l'ultimo RNA HIV-1 disponibile inferiore a 80 copie per ml (o mancante).

Informazioni sul paziente per Epzicom

Epzicom
(Ep 'Jein
(compresse Abacavir e Lamivudine)

Quali sono le informazioni più importanti che dovrei sapere su Epzicom?

Epzicom can cause serious side effects including:

  • Reazioni allergiche gravi (reazione di ipersensibilità) Ciò può causare la morte è avvenuta con Epzicom e altri prodotti contenenti Abacavir. Il rischio di questa reazione allergica è molto più elevato se si ha una variazione genica chiamata HLA-B*5701. Il tuo operatore sanitario può determinare con un esame del sangue se si dispone di questa variazione genica.

Se si ottiene un sintomo da 2 o più dei seguenti gruppi mentre prendi Epzicom, chiama subito il tuo operatore sanitario per scoprire se dovresti smettere di prendere Epzicom.

Sintomi
Gruppo 1 Febbre
Gruppo 2 Eruzione cutanea
Gruppo 3 Nausea vomito diarrea abdominal (stomach area) pain
Gruppo 4 Generalmente malato sentirsi estrema stanchezza o del dolore
Gruppo 5 Shorness of Breath tosse Dole gola

Un elenco di questi sintomi è sulla scheda di avvertimento che ti dà il farmacista. Porta con te questa scheda di avvertimento in ogni momento.

Se smetti Epzicom a causa di una reazione allergica non prendi mai Epzicom (Abacavir e Lamivudine) o qualsiasi altra medicina contenente Abacavir (Triumeq Trizivir o Ziagen).

    • Se hai una reazione allergica smaltire qualsiasi epzicom inutilizzato. Chiedi al tuo farmacista come smaltire adeguatamente le medicine.
    • Se prendi di nuovo Epzicom o qualsiasi altra medicina contenente Abacavir dopo aver avuto una reazione allergica in poche ore, potresti ottenere sintomi potenzialmente letali che possono includere molto bassa pressione sanguigna o morte.
    • Se smetti Epzicom per qualsiasi altro motivo anche per alcuni giorni e non sei allergico al discorso di Epzicom con il tuo operatore sanitario prima di riprenderlo. Prendere di nuovo Epzicom può causare una reazione allergica o potenzialmente letale anche se non hai mai avuto una reazione allergica prima.

Se il tuo operatore sanitario ti dice che puoi portare di nuovo Epzicom, ricominciare a prenderlo quando sei in corso di assistenza medica o persone che possono chiamare un operatore sanitario se ne hai bisogno.

  • Peggioramento dell'infezione da virus dell'epatite B (HBV). Se hai un'infezione da HBV e prendi Epzicom, il tuo HBV potrebbe peggiorare (riacpa) se smetti di prendere Epzicom. Una riacutizzazione è quando l'infezione da HBV torna improvvisamente in modo peggiore di prima.
    • Non esaurirsi da Epzicom. Riempi la prescrizione o parla con il tuo operatore sanitario prima che il tuo Epzicom sia sparito.
    • Non fermare Epzicom senza prima parlare con il tuo operatore sanitario.
    • Se smetti di prendere Epzicom, il tuo operatore sanitario dovrà controllare spesso la salute e fare regolarmente esami del sangue per diversi mesi per controllare la funzione epatica e monitorare l'infezione da HBV. Potrebbe essere necessario darti un medicinale per curare l'HBV. Dì al tuo operatore sanitario di eventuali sintomi nuovi o insoliti che potresti avere dopo aver smesso di prendere Epzicom.
  • HBV resistente. Se si dispone di virus dell'immunodeficienza umana-1 (HIV-1) e HBV, l'HBV può cambiare (muta) durante il trattamento con Epzicom e diventare più difficile da trattare (resistente).
  • Per ulteriori informazioni sugli effetti collaterali, consultare quali sono i possibili effetti collaterali di Epzicom?

Cos'è Epzicom?

Epzicom is a prescription medicine used with other HIV-1 medicines to treat HIV-1 infection.

HIV-1 is the virus that causes Acquired Immune Deficiency Syndrome (AIDS).

Epzicom contains the prescription medicines abacavir and lamivudine .

Epzicom should not be used in children weighing less than 55 pounds (25 kg).

Non prendere Epzicom se tu:

  • Avere un certo tipo di variazione genica chiamata allele HLA-B*5701. Il tuo operatore sanitario ti metterà alla prova per questo prima di prescrivere il trattamento con Epzicom.
  • sono allergici alla lamivudina abacavir o a uno qualsiasi degli ingredienti di Epzicom. Vedi la fine di questa guida ai farmaci per un elenco completo di ingredienti in Epzicom.
  • avere alcuni problemi epatici.

Prima di prendere Epzicom racconta al tuo operatore sanitario su tutte le tue condizioni mediche, anche se tu:

  • sono stati testati e sapere se hai una particolare variazione genica chiamata HLA-B*5701.
  • hanno o hanno avuto problemi epatici tra cui l'infezione da virus dell'epatite B o C.
  • avere problemi ai reni.
  • Avere problemi cardiaci fumo o avere malattie che aumentano il rischio di malattie cardiache come il colesterolo alto o il diabete dell'ipertensione.
  • sono incinta o prevedono di rimanere incinta.

Registro di gravidanza. C'è un registro di gravidanza per le donne che assumono medicinali per l'HIV-1 durante la gravidanza. Lo scopo di questo registro è raccogliere informazioni sulla salute di te e del tuo bambino. Parla con il tuo operatore sanitario di come puoi prendere parte a questo registro.

  • stanno allattando o pianificano di allattare. Non allattare al seno se prendi Epzicom .
    • Non dovresti allattare se hai l'HIV-1 a causa del rischio di passare l'HIV-1 al tuo bambino.

Di 'al tuo operatore sanitario di tutte le medicine che prendi compresi le medicine da prescrizione e i medicinali eccessivi vitamine e integratori a base di erbe.

Alcuni medicinali interagiscono con Epzicom. Mantieni un elenco dei tuoi medicinali per mostrare il tuo medico e il tuo farmacista quando ottieni un nuovo medicinale.

  • Puoi chiedere al tuo operatore sanitario o al farmacista un elenco di medicinali che interagiscono con Epzicom.
  • Non iniziare a prendere una nuova medicina senza dirlo al tuo operatore sanitario. Il tuo operatore sanitario può dirti se è sicuro prendere Epzicom con altri medicinali.

Come dovrei prendere Epzicom?

  • Prendi Epzicom esattamente come il tuo operatore sanitario ti dice di prenderlo.
  • Non cambiare la tua dose o smettere di prendere Epzicom senza parlare con il tuo operatore sanitario.
  • Se ti perdi una dose di Epzicom, prendilo non appena ricordi. Non assumere 2 dosi contemporaneamente o prendere più di quanto il tuo operatore sanitario ti dice di prendere.
  • Rimani sotto la cura di un operatore sanitario durante il trattamento con Epzicom.
  • Epzicom may be taken with or without food.
  • Di 'al tuo operatore sanitario se tuo figlio ha difficoltà a deglutire le compresse di epzicom.
  • Non esaurirsi da Epzicom. Il virus nel sangue può aumentare e il virus può diventare più difficile da trattare. Quando la tua fornitura inizia a essere bassa, ottieni di più dal tuo medico o dalla farmacia
  • Se prendi troppo Epzicom chiama il tuo medico o vai subito al pronto soccorso dell'ospedale più vicino.

Quali sono i possibili effetti collaterali di Epzicom?

  • Epzicom can cause serious side effects including:
  • Guarda quali sono le informazioni più importanti che dovrei sapere su Epzicom?
  • Troppo acido lattico nel sangue (acidosi lattica). L'acidosi lattica è una grave emergenza medica che può causare la morte. Chiama subito il tuo operatore sanitario se si ottiene uno dei seguenti sintomi che potrebbero essere segni di acidosi lattica:
    • Sentiti molto debole o stanco
    • dolore muscolare insolito (non normale)
    • difficoltà a respirare
    • dolori di stomaco with nausea and vomito
    • sentiti freddo soprattutto tra le braccia e le gambe
    • Sentire le vertigini o la testa leggera
    • avere un battito cardiaco veloce o irregolare
  • Gravi problemi epatici. In alcuni casi gravi problemi epatici possono portare alla morte. Il tuo fegato può diventare grande (epatomegalia) e potresti sviluppare grasso nel tuo fegato (steatosi). Chiama subito il tuo medico se si ottiene uno dei seguenti segni o sintomi di problemi epatici:
    • La tua pelle o la parte bianca degli occhi diventa gialla ( ittero )
    • urina scura o color tè
    • sgabelli di colore chiaro (movimenti intestinali)
    • perdita di appetito for several days or longer
    • nausea
    • Dolore dolorante o tenerezza sul lato destro della zona dello stomaco

Potresti avere maggiori probabilità di ottenere acidosi lattica o gravi problemi epatici se sei femmina o molto in sovrappeso (obeso).

  • Cambiamenti nel sistema immunitario (sindrome della ricostituzione immunitaria) Può accadere quando inizi a prendere medicine per l'HIV-1. Il tuo sistema immunitario potrebbe diventare più forte e iniziare a combattere le infezioni che sono state nascoste nel tuo corpo per molto tempo. Di 'subito al tuo operatore sanitario se inizi ad avere nuovi sintomi dopo aver iniziato a prendere Epzicom.
  • Attacco di cuore . Alcuni medicinali per l'HIV-1 tra cui Epzicom possono aumentare il rischio di attacco di cuore .

Gli effetti collaterali più comuni di Epzicom includono:

ricerca di camere d'albergo economiche
  • reazioni allergiche
  • difficoltà a dormire
  • depressione
  • mal di testa or migraine
  • stanchezza or debolezza
  • vertigini
  • nausea
  • diarrea

Di 'al tuo operatore sanitario se hai qualche effetto collaterale che ti disturba o che non scompare.

Questi non sono tutti i possibili effetti collaterali di Epzicom. Chiama il medico per consigli medici sugli effetti collaterali. È possibile segnalare gli effetti collaterali alla FDA al numero 1-800-FDA-1088.

Come dovrei conservare Epzicom?

  • Conservare Epzicom a temperatura ambiente.

Tieni Epzicom e tutti i medicinali fuori dalla portata dei bambini.

Informazioni generali per un uso sicuro ed efficace di Epzicom.

Le medicine sono talvolta prescritte a fini diversi da quelli elencati in una guida ai farmaci. Non usare Epzicom per una condizione per la quale non è stato prescritto. Non dare Epzicom ad altre persone anche se hanno gli stessi sintomi che hai. Potrebbe danneggiare loro. Puoi chiedere al tuo operatore sanitario o al farmacista le informazioni su Epzicom che sono scritte per gli operatori sanitari.

Quali sono gli ingredienti di Epzicom?

Ingredienti attivi: Abacavir e Lamivudine

Ingredienti inattivi: glicolato di amido di sodio a cellulosa di cellulosa stearato di magnesio.

Il rivestimento per film di tablet contiene: Opadry Orange YS-1-13065-A Made di FD

Questa guida ai farmaci è stata approvata dalla Food and Drug Administration degli Stati Uniti.