Le Informazioni Presenti Sul Sito Non Costituiscono Consulenza Medica. Non Vendiamo Nulla. L'Accuratezza Della Traduzione Non È Garantita. Disclaimer
Androgeni
Danazol
Riepilogo della droga
Cos'è Danazol?
Danazol è uno steroide sintetico usato per trattare il dolore pelvico e l'infertilità dovuta a endometriosi e anche per trattare il dolore al seno /tenerezza /noduli a causa della malattia del seno fibrocistica. Danazol è disponibile in generico modulo.
Quali sono gli effetti collaterali di Danazol?
Danazolo può causare gravi effetti collaterali tra cui:
- gonfiore delle mani e dei piedi
- Modifiche mestruali (individuare periodi mancati)
- Cambiamenti dell'umore
- nervosismo
- sbalzi d'umore
- eruzione cutanea
- prurito
- gonfiore della lingua o della gola
- forti vertigini e
- difficoltà a respirare
Ottieni subito assistenza medica se hai uno qualsiasi dei sintomi sopra elencati.
Gli effetti collaterali comuni di Danazol includono:
- aumento di peso
- acne
- pelle grassa o capelli
- arrossamento
- sudorazione
- perdita di capelli
- Cambiamenti vocali (cambiamenti di raucedine in tono)
- mal di gola
- Crescita anormale dei peli del corpo (nelle donne)
- secchezza vaginale/irritazione/bruciore/prurito
- Diminuzione delle dimensioni del seno
- ritenzione idrica o gonfiore
- depressione
- irritabilità
- Cambiamenti nel ciclo mestruale (individuare periodi mancati di sanguinamento irregolare)
- nervosismo E
- Cambiamenti dell'umore.
Cerca cure mediche o chiama il 911 contemporaneamente se hai i seguenti gravi effetti collaterali:
- Sintomi di occhiali gravi come la perdita di visione improvvisa del tunnel della visione sfocata Dolore alla visione o gonfiore o vedere aloni attorno alle luci;
- Sintomi cardiaci gravi come battiti cardiaci irregolari o martellanti veloci; svolazzando nel petto; fiato corto; e vertigini improvvise Accendino o svenire;
- Grave mal di testa confusione Il braccio del linguaggio bloccato o la debolezza delle gambe problemi perdite perdita di coordinamento sentendoti instabili muscoli molto rigidi ad alta febbre abbondante sudorazione o tremori.
Questo documento non contiene tutti i possibili effetti collaterali e altri possono verificarsi. Verificare con il tuo medico ulteriori informazioni sugli effetti collaterali.
Dosaggio per Danazol
Per il trattamento dell'endometriosi si raccomanda una dose iniziale di 800 mg di Danazol somministrato in due dosi divise. Il dosaggio giornaliero totale di Danazolo per la malattia mammaria fibrocistica varia da 100 mg a 400 mg somministrati in due dosi divise a seconda della risposta del paziente.
Quali sostanze o integratori di droghe interagiscono con Danazol?
Danazol può interagire con Warfarin o Carbamazepina. Dì al medico tutti i farmaci e gli integratori che usi.
Danazol durante la gravidanza e l'allattamento
Danazolo non dovrebbe essere usato durante la gravidanza. Può danneggiare un feto. Questo farmaco non è raccomandato per l'allattamento durante l'allattamento.
Ulteriori informazioni
Il nostro Centro farmacologico degli effetti collaterali di Danazol fornisce una visione completa delle informazioni disponibili sui farmaci sui potenziali effetti collaterali quando si assume questo farmaco.
Informazioni sui farmaci FDA
- Descrizione del farmaco
- Indicazioni
- Effetti collaterali
- Interazioni farmacologiche
- Avvertimenti
- Precauzioni
- Overdose
- Farmacologia clinica
- Guida ai farmaci
Descrizione per Danazol
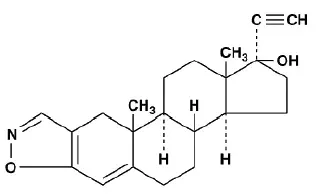
Danazol è uno steroide sintetico derivato dall'etisterone. È una polvere cristallina da bianco a giallo pallido praticamente insolubile o insolubile in acqua e con parsimonia solubile in alcol. Chimicamente danazol è 17α-pregge-24-dien-20-yno [23- d ] -isoxazol-17-ol. La formula molecolare è C 22 H 27 NO 2 . Ha un peso molecolare di 337,46 e la seguente formula strutturale:
|
Le capsule di danazol per somministrazione orale contengono 50 mg 100 mg o 200 mg Danazol.
Ingredienti inattivi
lattosio anidro lattosio monoidrato magnesio stearato di amido pregelatinizzato sodico lauril solfato talco. Le gusci di capsule per 200 mg di Danazol contengono D
Effetti collaterali della levotiroxina 150 mcg
Usi per Danazol
Endometriosi
Le capsule di danazolo sono indicate per il trattamento dell'endometriosi suscettibili alla gestione ormonale.
Angiedema ereditario
Le capsule di danazolo sono indicate per la prevenzione degli attacchi di angioedema di tutti i tipi (laringeo addominale cutaneo) nei maschi e nelle femmine.
Dosaggio per Danazol
Endometriosi
Nella malattia da moderata a grave o in pazienti infertili a causa dell'endometriosi si raccomanda una dose iniziale di 800 mg somministrata in due dosi divise. L'amenorrea e la rapida risposta ai sintomi dolorosi sono meglio raggiunti a questo livello di dosaggio. La titolazione discendente graduale a una dose sufficiente per mantenere l'amenorrea può essere considerata a seconda della risposta del paziente. Per casi lievi si raccomanda una dose giornaliera iniziale di 200 mg a 400 mg somministrata in dosi due divise e può essere regolata a seconda della risposta del paziente. La terapia dovrebbe iniziare durante le mestruazioni. Altrimenti devono essere eseguiti test appropriati per garantire che il paziente non sia incinta durante la terapia con le capsule di Danazol (vedi Controindicazioni E Avvertimenti ). È essenziale che la terapia continui ininterrottamente per 3-6 mesi, ma può essere estesa a 9 mesi se necessario. Dopo la cessazione della terapia se i sintomi si riprendono il trattamento possono essere ripristinati .
Angiedema ereditario
I requisiti di dosaggio per il trattamento continuo dell'angioedema ereditario con capsule di danazol dovrebbero essere individualizzati sulla base della risposta clinica del paziente. Si consiglia di iniziare il paziente con 200 mg due o tre volte al giorno. Dopo aver ottenuto una risposta iniziale favorevole in termini di prevenzione degli episodi di attacchi edematosi, il dosaggio continuo adeguato dovrebbe essere determinato diminuendo il dosaggio del 50% o meno a intervalli da uno a tre mesi o più se la frequenza degli attacchi prima del trattamento dei dettagli. Se si verifica un attacco, il dosaggio giornaliero può essere aumentato fino a 200 mg. Durante la fase di regolazione della dose, il monitoraggio ravvicinato della risposta del paziente è indicato in particolare se il paziente ha una storia di coinvolgimento delle vie aeree.
Come fornito
Danazol Capsules USP 50 mg sono disponibili come capsule opache opache/bianche mais impressa con logo Lannett sul cappuccio e 1392 sul corpo e sono fornite in:
Bottiglie di 100 ( Ndc 0527-1392-01)
Danazol Capsules USP 100 mg sono disponibili come capsule opache opache/mais mais impressa con logo Lannett sul cappuccio e 1368 sul corpo e sono fornite in:
Bottiglie di 100 ( Ndc 0527-1368-01)
Danazol Capsules USP 200 mg sono disponibili come capsule opache opache arancione/arancione impresse con logo Lannett sul cappuccio e 1369 sul corpo e sono fornite in:
Bottiglie di 60 ( Ndc 0527-1369-06)
Bottiglie di 100 ( Ndc 0527-1369-01)
Conservare da 20 ° a 25 ° C (da 68 ° a 77 ° F) [vedi temperatura ambiente controllata da USP].
Dispensare in un contenitore ben chiuso con una chiusura resistente ai bambini come definito nell'USP.
Distribuito da: Lannett Company Inc. Philadelphia PA 19154. Revisionato: maggio 2018
Effetti collaterali for Danazol
I seguenti eventi sono stati segnalati in associazione con l'uso delle capsule di Danazol:
Gli effetti simili agli androgeni includono l'acne di peso di peso e seborrea. Possono verificarsi lieve irsutismo edema per la perdita di capelli che può assumere la forma di mal di gola o di instabilità o approfondimento del tono e può persistere dopo l'interruzione della terapia. L'ipertrofia del clitoride è rara.
Altri possibili effetti endocrini sono i disturbi mestruali, tra cui l'alterazione della tempistica del ciclo e dell'amenorrea. Sebbene il sanguinamento ciclico e l'ovulazione di solito ritornano entro 60-90 giorni dopo l'interruzione della terapia con capsule di danazolo che occasionalmente è stata segnalata l'amenorrea persistente.
Il lavaggio della secchezza vaginale e dell'irritazione e la riduzione delle dimensioni del seno possono riflettere l'abbassamento degli estrogeni. Sono stati segnalati nervosismo e labilità emotiva. Nel maschio una modesta riduzione della spermatogenesi può essere evidente durante il trattamento. Le anomalie nel volume dello sperma la conteggio degli spermatozoi e la motilità possono verificarsi in pazienti che hanno ricevuto terapia a lungo termine.
La disfunzione epatica evidenziata da enzimi sierici e/o ittero reversibili è stato riportato in pazienti che hanno ricevuto un dosaggio giornaliero di capsule di danazolo di 400 mg o più. Si raccomanda che i pazienti che ricevono capsule di danazolo siano monitorati per la disfunzione epatica mediante test di laboratorio e osservazione clinica. Una seria tossicità epatica tra cui la peliosi del gia Avvertimenti E PRECAUZIONI ).
Anomalie nei test di laboratorio possono verificarsi durante la terapia con capsule di danazolo tra cui la tolleranza al glucosio CPK glucagone legante l'ormone del sesso globulina legante la globulina di altre proteine plasmatiche e lipoproteine.
Le seguenti reazioni sono state riportate una relazione causale all'amministrazione delle capsule di Danazol non è stata né confermata né confutata;
Allergico: orticaria prurito e raramente congestione nasale;
Effetti del SNC: Nervosismo del mal di testa e vertigini emotive e svenimento della depressione Disturbi del sonno del sonno di tremore di debolezza di debolezza dei disturbi visivi e raramente i cambiamenti di ansia di ipertensione intracranica benigna cambiano nei brividi di appetito e raramente convulsioni sindrome da guillain-barre;
Gastrointestinale: gastroenterite nausea vomito costipazione e raramente pancreatite e peliosi splenica;
Muscoloscheletrico: Crampi muscolari o spasmi o dolori dolori di chiusura articolare del dolore articolare articolare nel collo posteriore o delle estremità e raramente sindrome da tunnel carpale che può essere secondario alla ritenzione fluida;
Genitourinario: Ematuria ha prolungato l'amenorrea postterapia;
Cosa significano 10 325 mg
Ematologico: un aumento della conta dei cellulari rossi e piastrine. L'eritrocitosi reversibile la leucocitosi o la policitemia può essere provocata. Sono state anche osservate anche l'eosinofilia leucopenia e la trombocitopenia.
Pelle: eruzione cutaneaes (maculopapular vesicular papular purpuric petechial) E rarely sun sensitivity Stevens-Johnson syndrome E erythema multiforme;
Altro: Un aumento dei requisiti di insulina nei pazienti diabetici cambia nella libido infarto miocardico di palpitazione di tachicardia Elevazione della polmoniteinterite per la pressione arteriosa e raramente la cataratta sanguinante febbre febbre per lo scarico del capezzolo pelvico. I tumori epatici maligni sono stati riportati in rari casi dopo un uso a lungo termine.
Interazioni farmacologiche for Danazol
Il prolungamento del tempo di protrombina si verifica nei pazienti stabilizzati su warfarin.
La terapia con danazolo può causare un aumento dei livelli di carbamazepina nei pazienti che assumono entrambi i farmaci.
Danazolo può causare resistenza all'insulina. Attenzione dovrebbe essere esercitata quando usata con farmaci antidiabetici.
Danazolo può aumentare i livelli plasmatici di ciclosporina e tacrolimus portando ad un aumento della tossicità renale di questi farmaci. Il monitoraggio delle concentrazioni sistemiche di questi farmaci e possono essere necessari adeguati aggiustamenti della dose se utilizzati in concomitanza con Danazolo.
Danazol può aumentare la risposta calcica agli analoghi sintetici di vitamina D nell'ipoparatiroidismo primario.
Il rischio di miopatia e rabdomiolisi è aumentato dalla concomitante somministrazione di danazolo con statine come la simvastatina atorvastatina e lovastatina. Attenzione dovrebbe essere esercitata se usata in concomitanza. Consultare l'etichettatura del prodotto per i farmaci per statine per informazioni specifiche sulle restrizioni della dose in presenza di Danazol.
Avvertimenti for Danazol
L'uso di Danazol in gravidanza è controindicato. Un test sensibile (ad es. Test di subunità beta se disponibile) in grado di determinare la gravidanza precoce si raccomanda immediatamente prima dell'inizio della terapia. Inoltre, durante la terapia, dovrebbe essere utilizzato un metodo di contraccezione non ormonale durante la terapia. Se un paziente rimane incinta mentre assume la somministrazione di danazolo del farmaco dovrebbe essere sospesa e il paziente dovrebbe essere informato del potenziale rischio per il feto. L'esposizione a Danazol in utero può provocare effetti androgeni sul feto femminile; Sono state ricevute segnalazioni di ipertrofia del clitoride labiale fusione del seno urogenitale difetto atresia vaginale e genitali ambigui (vedi PRECAUZIONI : Effetti teratogeni in gravidanza).
Sono stati segnalati eventi trombotici e tromboflebitici di tromboembolismo, tra cui trombosi sagittale del seno e ictus pericolosi o fatali.
L'esperienza con la terapia a lungo termine con Danazol è limitata. La peliosi hepatis e l'adenoma epatico benigno sono stati osservati con uso a lungo termine. La peliosi epatis e l'adenoma epatico possono tacere fino a quando non sono complicati da emorragia intraaddominale potenzialmente potenzialmente letale. Il medico dovrebbe quindi essere attento a questa possibilità. Dovrebbero essere fatti tentativi per determinare la dose più bassa che fornirà una protezione adeguata. Se il farmaco è stato iniziato in un momento di esacerbazione dell'edema angioneurotico ereditario a causa dello stress del trauma o di altri tentativi periodici di diminuire o ritirare la terapia.
Danazol è stato associato a diversi casi di ipertensione intracranica benigna nota anche come pseudotumor cerebri. I primi segni e sintomi dell'ipertensione intracranica benigna includono nausea di mal di testa papilledema e vomito e disturbi visivi. I pazienti con questi sintomi devono essere sottoposti a screening per il papilledema e se presenti ai pazienti dovrebbero essere consigliati di interrompere immediatamente Danazolo ed essere indirizzati a un neurologo per ulteriori diagnosi e cure.
Durante la terapia del danazolo è stata riportata un'alterazione temporanea delle lipoproteine sotto forma di ridotte lipoproteine ad alta densità e probabilmente aumentate le lipoproteine a bassa densità. Queste alterazioni possono essere contrassegnate e i prescrittori dovrebbero considerare il potenziale impatto sul rischio di aterosclerosi e malattia coronarica in conformità con il potenziale beneficio della terapia per il paziente.
Il mobico può causare ipertensione
I pazienti devono essere osservati da vicino per segni di effetti androgeni alcuni dei quali potrebbero non essere reversibili anche quando la somministrazione di farmaci viene fermata.
Precauzioni for Danazol
Poiché le capsule di danazolo possono causare un certo grado di condizioni di ritenzione fluida che potrebbero essere influenzate da questo fattore come l'emicrania dell'epilessia o la policitemia e l'ipertensione della disfunzione cardiaca o renale richiedono un'attenta osservazione. Usa con cautela nei pazienti con diabete mellito.
Poiché la disfunzione epatica manifestata da modesti aumenti dei livelli sierici di transaminasi è stato riportato in pazienti trattati con capsule danazolo che devono essere eseguiti test di funzionalità epatica periodica (vedi Avvertimenti E Reazioni avverse ).
È stato segnalato che la somministrazione di Danazol provoca esacerbazione delle manifestazioni della porfiria acuta intermittente (vedi Controindicazioni ).
Dovrebbe essere preso in considerazione il monitoraggio di laboratorio dello stato ematologico.
Test di laboratorio
Il trattamento con danazolo può interferire con le determinazioni di laboratorio di testosterone androstenedione e deidroepiandosterone. Altri eventi metabolici includono una riduzione della globulina legante la tiroide e T4 con aumento dell'assorbimento di T3 ma senza disturbi dell'ormone stimolante la tiroide o dell'indice di tiroxina libera.
Mutagenesi della carcinogenesi compromissione della fertilità
I dati attuali non sono sufficienti per valutare la cancerogenicità di Danazol.
Effetti teratogeni in gravidanza
(Vedere Controindicazioni .) Danazol ha somministrato per via orale ai ratti in gravidanza dai 6 th through the 15 th Giorno di gestazione a dosi fino a 250 mg/kg/die (7-15 volte la dose umana) non ha provocato l'embritossicità o la teratogenicità indotta dalla droga o la differenza della prole rispetto ai controlli. Nei conigli l'amministrazione di Danazolo nei giorni 6-18 della gestazione a dosi di 60 mg/kg/giorno e superiore (2-4 volte la dose umana) ha comportato l'inibizione dello sviluppo fetale.
Madri infermieristiche
(Vedere Controindicazioni .
Uso pediatrico
La sicurezza ed efficacia nei pazienti pediatrici non è stata stabilita.
Uso geriatrico
Studi clinici sulle capsule di Danazol non includevano un numero sufficiente di soggetti di età pari o superiore a 65 anni per determinare la sicurezza e l'efficacia del danocrino nei pazienti anziani.
Informazioni per overdose per Danazol
Nessuna informazione fornita
Controindicazioni per Danazol
Le capsule di Danazol non dovrebbero essere somministrate ai pazienti con:
- Sanguinamento genitale anormale non diagnosticato.
- Funzione renale epatica o cardiaca marcatamente compromessa.
- Gravidanza (vedi Avvertimenti ).
- Allerimento.
- Le capsule di porfiria-danazolo possono indurre l'attività della sintetasi di ala e quindi il metabolismo della porfirina.
- Tumore dipendente dagli androgeni.
- Trombosi attiva o malattia tromboembolica e storia di tali eventi.
- Ipersensibilità a Danazol.
Farmacologia clinica for Danazol
Danazol sopprime l'asse ipofisario-ovarico. Questa soppressione è probabilmente una combinazione di risposta depressa ipotalamica-ipofisi alla riduzione della produzione di estrogeni all'alterazione del metabolismo degli steroidi sessuali e all'interazione di Danazolo con i recettori dell'ormone sessuale. L'unico altro effetto ormonale dimostrabile è l'attività androgenica debole. Danazol deprime l'output sia dell'ormone stimolante il follicolo (FSH) che dell'ormone luteinizzante (LH).
Recenti prove suggeriscono un effetto inibitorio diretto nei siti gonadali e un legame di danazolo ai recettori degli steroidi gonadali negli organi bersaglio. Inoltre, Danazolo ha dimostrato di ridurre significativamente i livelli di IgG IgM e IgA, nonché autoanticorpi isotopi di fosfolipidi e IgG nei pazienti con endometriosi e aumenti associati di autoanticorpi che suggeriscono che questo potrebbe essere un altro meccanismo in base al quale facilita la regressione della malattia.
Nel trattamento dell'endometriosi Danazol altera il tessuto endometriale normale ed ectopico in modo che diventi inattivo e atrofico. La risoluzione completa delle lesioni endometriali si verifica nella maggior parte dei casi.
I cambiamenti nella citologia vaginale e nel muco cervicale riflettono l'effetto soppressivo di Danazolo sull'asse ipofisario-ovarico.
Possono verificarsi cambiamenti nel modello mestruale.
Generalmente l'azione dell'ipofisi supressionante di Danazol è reversibile. L'ovulazione e il sanguinamento ciclico di solito ritornano entro 60-90 giorni quando la terapia con Danazolo viene interrotta.
Nel trattamento dell'angiedema ereditario danazol a dosi efficaci impedisce gli attacchi della malattia caratterizzati da edema episodico delle estremità di visceri addominali che facciano le vie aeree che possono essere disabilitanti e se le vie aeree sono fatali. Inoltre, Danazol corregge parzialmente o completamente l'anomalia biochimica primaria dell'angiedema ereditario aumentando i livelli del carente inibitore della esterasi C1 (C1EL). Come risultato di questa azione sono aumentati anche i livelli sierici del componente C4 del sistema di complemento.
Farmacocinetica
Assorbimento
Dopo la somministrazione orale di una dose di 400 mg a volontari maschi sani, le concentrazioni plasmatiche di picco di danazolo sono raggiunte tra 2 e 8 ore con un valore TMAX mediano di 4 ore. Le condizioni dello stato stazionario si osservano dopo 6 giorni di dosaggio due volte al giorno delle capsule di Danazol.
farmaci lyrica a cosa serve
I parametri farmacocinetici per le capsule di Danazol dopo aver somministrato una dose orale di 400 mg a maschi sani sono riassunti nella tabella seguente:
| Parametri | Media ± DS (n = 15) |
| CMAX (NG/ML) | 69,6 ± 29,9 |
| TMAX (H) | 2,47 ± 1,62 |
| Auc0 -∞ (di*h/ml) | 601 ± 181 |
| t 1/2 (H) | 9,70 ± 3,29 |
| Clearance totale del corpo (L/H) | 727 ± 221 |
I parametri farmacocinetici per le capsule di Danazol dopo somministrazione orale di 100 200 e 400 mg di dosi singole a volontari femminili sane sono riassunti nella tabella seguente:
| Dose (MG) | CMAX medio ± SD (ng/ml) | TMAX medio (H) | AUC0-∞ media ± Sd (di*h/ml) | |||
| Digiuno | Alimentato | Digiuno | Alimentato | Digiuno | Alimentato | |
| 100 | 45.9 ± 23,9 | 113,8 ± 46.0 | 1-8 | 2-6 | 484 ± 263 | 741 ± 265 |
| 200 | 63,8 ± 27.7 | 159 ± 57,3 | 1-6 | 2-4 | 681 ± 363 | 1252 ± 307 |
| 400 | 60,4 ± 30.0 | 253,7 ± 105.5 | 1-6 | 2-4 | 754 ± 443 | 1851 ± 605 |
Dose proportionality
Gli studi di biodisponibilità indicano che i livelli ematici non aumentano proporzionalmente con gli aumenti della dose somministrata.
La somministrazione di dose singola di capsule di Danazol in volontarie sane ha scoperto che un aumento di 4 volte della dose ha prodotto solo un aumento di 1,6 e 2,5 volte nell'AUC e un aumento di 1,3 e 2,2 volte di CMAX rispettivamente nello stato digiuno e alimentato. Un simile grado di proporzionalità non dose è stato osservato allo stato stazionario.
Effetto alimentare
La somministrazione di dose singola di 100 mg e 200 mg capsule di danazolo a volontari femminili ha mostrato che sia l'entità della disponibilità che la massima concentrazione plasmatica sono aumentate rispettivamente da 3 a 4 volte a seguito di un pasto (> 30 grammi di grassi) rispetto allo stato a digiuno. Ulteriori cibo ha anche ritardato il tempo medio alla concentrazione di picco di Danazol di circa 30 minuti. Anche dopo il dosaggio multiplo in condizioni di alimenti/digiuno meno estremi, è rimasta circa una differenza di biodisponibilità di 2 a 2,5 volte tra gli stati alimentati e a digiuno.
Distribuzione
Danazol è lipofilo e può partire in membrane cellulari che indicano la probabilità di distribuzione in compartimenti di tessuti profondi.
Metabolismo ed escrezione
Danazolo sembra essere metabolizzato e i metaboliti vengono eliminati da percorsi renali e fecali. I due metaboliti primari escreti nelle urine sono 2-idrossimetil danazol ed etisterone. Almeno dieci diversi prodotti sono stati identificati nelle feci.
L'emivita di eliminazione riportata di Danazol è variabile tra gli studi. L'emivita media di Danazol nei maschi sani è di 9,7 ore. Dopo 6 mesi di 200 mg tre volte al giorno di dosaggio nei pazienti con endometriosi, l'emivita di Danazolo è stata segnalata come 23,7 ore.
Informazioni sul paziente per Danazol
Nessuna informazione fornita. Si prega di fare riferimento a Avvertimenti E PRECAUZIONI sezioni.