Le Informazioni Presenti Sul Sito Non Costituiscono Consulenza Medica. Non Vendiamo Nulla. L'Accuratezza Della Traduzione Non È Garantita. Disclaimer
Monobactams
Iniezione di azactam
Riepilogo della droga
Cos'è l'iniezione di azactam?
Azactam (aztreonam) per iniezione è un antibiotico usato per trattare gravi infezioni del tratto urinario inferiore tratto respiratorio di organi riproduttivi femminili e altri sistemi del corpo. Azactam è disponibile in forma generica.
Quali sono gli effetti collaterali dell'iniezione di azactam?
Azactam può causare gravi effetti collaterali tra cui:
- orticaria
- Difficoltà a respirare
- gonfiore della lingua o della gola
- grave reazione cutanea
- febbre
- mal di gola
- occhi ardenti
- Dolore della pelle
- Eruzione cutanea rossa o viola con vesciche e peeling
- forte mal di stomaco
- diarrea che è acquosa o sanguinosa
- sibilante
- dolore al petto
- Facile lividi o sanguinanti
- confisca
- perdita di appetito
- Dolore allo stomaco (lato in alto a destra)
- urina scura
- sgabelli color argilla e
- Ingialcare la pelle o gli occhi (ittero)
Ottieni subito assistenza medica se hai uno qualsiasi dei sintomi sopra elencati.
Gli effetti collaterali comuni di azactam includono:
- disagio allo stomaco
- diarrea
- nausea
- vomito
- vertigini
- mal di testa
- visione sfocata
- Reazioni del sito di iniezione (arrossamento del dolore gonfio o irritazione)
- Flushing (calore/arrossamento/tintinnio sotto la pelle)
- intorpidimento/formicolio/bruciore
- eruzione cutanea o prurito o
- prurito o scarico vaginale.
Di 'al medico se hai gravi effetti collaterali di Azactam, incluso:
- battito cardiaco veloce o irregolare
- confusione
- Facile lividi o sanguinanti
- squillare nelle orecchie
- confiscas
- dolore al petto
- occhi ingialliti o pelle
- urina scura
- Forte stomaco o dolore addominale
- nausea o vomito persistente
- Fatica insolita o
- Segni persistenti di infezione (ad es. Dolore alla febbre).
Cerca cure mediche o chiama il 911 contemporaneamente se hai i seguenti gravi effetti collaterali:
- Sintomi di occhiali gravi come la perdita di visione improvvisa del tunnel della visione sfocata Dolore alla visione o gonfiore o vedere aloni attorno alle luci;
- Sintomi cardiaci gravi come battiti cardiaci irregolari o martellanti veloci; svolazzando nel petto; fiato corto; e improvviso vertigini giuria o svenuta;
- Grave mal di testa confusione Il braccio del linguaggio bloccato o la debolezza delle gambe problemi perdite perdita di coordinamento sentendoti instabili muscoli molto rigidi ad alta febbre abbondante sudorazione o tremori.
Questo documento non contiene tutti i possibili effetti collaterali e altri possono verificarsi. Verificare con il tuo medico ulteriori informazioni sugli effetti collaterali.
Dosaggio per iniezione di azactam
La dose di azactam dipende dalla gravità dell'infezione da trattare.
Quali sostanze o integratori di farmaci interagiscono con l'iniezione di azactam?
L'azactam può interagire con la gentamicina di amikacina kanamicina neomicina neomicina streptomicina o tobramicina. Di 'al medico tutti i farmaci che usi.
Iniezione di azactam durante la gravidanza e l'allattamento
Ulteriori informazioni
Azactam dovrebbe essere usato solo quando prescritto durante la gravidanza. Questo farmaco passa nel latte materno in piccole quantità. Mentre non ci sono stati segnalazioni di danno ai bambini infermieristici consultare il medico prima dell'allattamento al seno.Ulteriori informazioni
Il nostro Centro farmacologico azactam (aztreonam) fornisce una visione completa delle informazioni disponibili sui farmaci sui potenziali effetti collaterali durante l'assunzione di questo farmaco.
Informazioni sui farmaci FDA
- Descrizione del farmaco
- Indicazioni
- Dosaggio
- Effetti collaterali
- Avvertimenti
- Precauzioni
- Overdose
- Farmacologia clinica
- Guida ai farmaci
Descrizione per l'iniezione di azactam
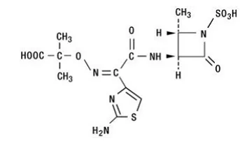
Azactam ® (Aztreonam per iniezione USP) contiene l'ingrediente attivo aztreonam a monobactam. Era originariamente isolato da Chromobacterium violaceum . È un antibiotico battericida sintetico.
I monobactamici con un nucleo beta-lattamico monociclico unico sono strutturalmente diversi dagli altri antibiotici beta-lattamici (ad es. Penicilline cefalosporine cefamicine). Il sostituente dell'acido solfonico nella posizione 1 dell'anello attiva la porzione beta-lattamica; Una catena laterale di aminotiazolil oxime nella 3-posizione e un gruppo metilico nella posizione a 4 posizioni conferisce lo spettro antibatterico specifico e la stabilità beta-lattamasi.
Aztreonam è designato chimicamente come (z) -2-[[[(2-ammino-4-tiazolil) [[(2S3S) -2-metil4- oxo-1-solfo-3-azetidinil] carbamoyl] metilene] amino] amino] -2-metilpropionico. Formula strutturale:
|
C 13 H 17 N 5 O 8 S 2
Azactam is a sterile nonpyrogenic sodium-free white powder containing approximately 780 mg arginine per gram of aztreonam. Following constitution the product is per intramuscular or intravenous use. Aqueous solutions of the product have a pH in the range of 4.5 to 7.5.
Usi per l'iniezione di azactam
Per ridurre lo sviluppo di batteri resistenti ai farmaci e mantenere l'efficacia di azactam (aztreonam per iniezione USP) e altri farmaci antibatterici azactam dovrebbero essere usati solo per trattare o prevenire infezioni che sono dimostrate o fortemente sospettate di essere causate da batteri sensibili. Quando sono disponibili informazioni sulla coltura e sulla suscettibilità, dovrebbero essere considerate nella selezione o nella modifica della terapia antibatterica. In assenza di tali dati di epidemiologia locale e modelli di suscettibilità possono contribuire alla selezione empirica della terapia.
Azactam is indicated per the treatment of the following infections causato da susceptible Gram-negative microorganisms:
Infezioni del tratto urinario (complicato e semplice) tra cui pilonefrite e cistite (iniziale e ricorrente) causata da Escherichia coli Klebsiella pneumoniae Proteus mirabilis pseudomonas aeruginosa enterobacter cloacae klebsiella oxytoca* citrobacter specie* e Serratia marcescens *.
Infezioni del tratto respiratorio inferiore tra cui polmonite e bronchite causate da Escherichia coli Klebsiella pneumoniae pseudomonas aeruginosa haemophilus influenzae proteus mirabilis enterobacter specie e Serratia marcescens *.
Setticemia causato da Escherichia coli Klebsiella pneumoniae pseudomonas aeruginosa proteus meravigliosa * serratia marcescens * E Enterobacter specie.
Infezioni della pelle e della struttura della pelle compresi quelli associati a ferite postoperatorie ulcere e ustioni causate da Escherichia coli proteus mirabilis serratia marcescens Enterobacter specie pseudomonas aeruginosa klebsiella pneumoniae E Citrobacter specie*.
Infezioni intra-addominali compresa la peritonite causata da Escherichia coli Klebsiella specie tra cui K. Pneumoniae Enterobacter specie tra cui E. cloacae* pseudomonas aeruginosa citrobacter specie* comprese C. freundii* E Serrazia specie* comprese S. marcescens*.
Infezioni ginecologiche compresa l'endometrite e la cellulite pelvica causata da Escherichia coli Klebsiella pneumoniae* Enterobacter specie* comprese E. cloacae* E Proteus Wonderful *.
Azactam is indicated per adjunctive therapy to surgery in the management of infections causato da susceptible organisms including abscesses infections complicating hollow viscus perperations cutaneous infections E infections of serous surfaces. Azactam is effective against most of the commonly encountered Gram-negative aerobic pathogens seen in general surgery.
* L'efficacia per questo organismo in questo sistema di organi è stata studiata in meno di 10 infezioni.
Terapia concorrente
La terapia iniziale concomitante con altri agenti antimicrobici e Azactam è raccomandata prima che l'organismo causale è noto in pazienti grave che sono anche a rischio di avere un'infezione a causa di agenti patogeni aerobici Gram-positivi. Se si sospettano anche gli organismi anaerobici come terapia di agenti eziologici dovrebbe essere iniziata usando un agente anti-anaerobico contemporaneamente con azactam (vedi Dosaggio e amministrazione ).
Alcuni antibiotici (ad es. Cefoxitina imipenem) possono indurre alti livelli di beta-lattamasi in vitro in alcuni aerobi gramnegativi come Enterobacter E Pseudomonas Specie che si traducono in antagonismo a molti antibiotici beta-lattamici tra cui Aztreonam. Questi in vitro I risultati suggeriscono che tali antibiotici che inducono la beta-lattamasi non vengano usati contemporaneamente con Aztreonam. Seguendo i test di identificazione e suscettibilità all'organismo causale / i, dovrebbe essere continuata la terapia antibiotica appropriata.
Dosaggio per iniezione di azactam
Dosaggio In Adult Patients
Azactam may be administered intravenously or by intramuscular injection. Dosaggio E route of administration should be determined by susceptibility of the causative organisms severity E site of infection E the condition of the patient.
Tabella 2: Linee guida per il dosaggio di Azactam per gli adulti*
| Tipo di infezione | Dose | Frequenza (ore) |
| Infezioni del tratto urinario | 500 mg o 1 g | 8 o 12 |
| Infezioni sistemiche moderatamente gravi | 1 g o 2 g | 8 o 12 |
| Gravi infezioni sistemiche o potenzialmente letali | 2 g | 6 o 8 |
| * La dose massima consigliata è di 8 g al giorno. |
A causa della grave natura delle infezioni dovute Pseudomonas aeruginosa Il dosaggio di 2 g ogni sei o otto ore è raccomandato almeno all'inizio della terapia nelle infezioni sistemiche causate da questo organismo.
La via endovenosa è raccomandata per i pazienti che richiedono singole dosi superiori a 1 g o quelli con setticemia batterica di ascesso parenchimale localizzato (ad es. Ascesso intra-addominale) peritonite o altre infezioni sistemiche o potenzialmente letali.
La durata della terapia dipende dalla gravità dell'infezione. Generalmente azactam dovrebbe essere continuato per almeno 48 ore dopo che il paziente diventa asintomatico o è stata ottenuta la prova dell'eradicazione batterica. Le infezioni persistenti possono richiedere un trattamento per diverse settimane. Dosi più piccole di quelle indicate non dovrebbero essere utilizzate.
Compromissione renale nei pazienti adulti
Livelli sierici prolungati di aztreonam possono verificarsi in pazienti con insufficienza renale transitoria o persistente. Pertanto il dosaggio di azactam deve essere dimezzato in pazienti con autori di creatinina stimati tra 10 e 30 ml/min/1,73 m 2 Dopo una dose di caricamento iniziale di 1 o 2 g.
Quando è disponibile solo la concentrazione sierica di creatinina, la seguente formula (in base al peso sessuale e all'età del paziente) può essere utilizzata per approssimare la clearance della creatinina (CLCR). La creatinina sierica dovrebbe rappresentare uno stato stazionario di funzione renale.
| Maschi: | (peso in kg) x (140 - età) (72) x creatinina sierica (mg/100 ml) |
| Femmine: | (NULL,85) x (valore superiore) |
Nei pazienti con grave insufficienza renale (clearance della creatinina inferiore a 10 ml/min/1,73 m 2 ) come quelli supportati dall'emodialisi, inizialmente dovrebbe essere somministrata inizialmente la dose abituale di 500 mg 1 g o 2 g. La dose di mantenimento dovrebbe essere un quarto della normale dose iniziale indicata al solito intervallo fisso di 6 8 o 12 ore. Per infezioni gravi o di vita, oltre alle dosi di mantenimento, un ottavo della dose iniziale dovrebbe essere somministrato dopo ogni sessione di emodialisi.
Dosaggio In The Elderly
Lo stato renale è un importante fattore determinante del dosaggio negli anziani; Questi pazienti in particolare possono avere una funzione renale ridotta. La creatinina sierica potrebbe non essere un determinante accurato dello stato renale. Pertanto, come per tutti gli antibiotici eliminati dalle stime dei reni della clearance della creatinina, se necessario.
Dosaggio In Pediatric Patients
Azactam should be administered intravenously to pediatric patients with normal renal function. There are insufficient data regarding intramuscular administration to pediatric patients or dosing in pediatric patients with renal impairment. (See PRECAUZIONI : Uso pediatrico .
Tabella 3: Linee guida per il dosaggio di Azactam per pazienti pediatrici*
| Tipo di infezione | Dose | Frequenza (ore) |
| Infezioni da lievi a moderate | 30 mg/kg | 8 |
| Infezioni da moderate a gravi | 30 mg/kg | 6 o 8 |
| * La dose massima consigliata è di 120 mg/kg/giorno. |
Come fornito
Azactam ® (Aztreonam per iniezione USP)
Fial di capacità di 15 ml a dosi monodose:
Quanto dura Advair Diskus
| 1 g/fiala: | Pacchetti di 10 | Ndc 0003-2560-16 |
| 2 g/vial: | Pacchetti di 10 | Ndc 0003-2570-16 |
Magazzinaggio
Conservare i pacchetti originali a temperatura ambiente; Evita il calore eccessivo.
Azactam E the Bristol-Myers Squibb logo are registered trademarks of Bristol-Myers Squibb Company. All other trademarks are the property of their respective owners.
Prodotto da: Bristol-Myers Squibb Company Princeton NJ 08543 USA. Revisionato: dicembre 2019
Effetti collaterali per l'iniezione di azactam
Reazioni locali come la flebite/tromboflebitis a seguito di somministrazione endovenosa e disagio/gonfiore nel sito di iniezione dopo la somministrazione intramuscolare si sono verificate rispettivamente a tassi di circa l'1,9% e il 2,4%.
Le reazioni sistemiche (considerate correlate alla terapia o all'eziologia incerta) che si verificano con un'incidenza dell'1% all'1,3% includono la nausea della diarrea e/o il vomito e l'eruzione cutanea. Le reazioni che si verificano ad un'incidenza inferiore all'1% sono elencate all'interno di ciascun sistema del corpo in ordine di gravità decrescente:
Ipersensibilità - Bronchospasmo anafilassi dell'angioedema
Ematologico - Pancytopenia neutropenia trombocitopenia anemia eosinofilia leucocitosi trombocitosi
Gastrointestinale - Crampi addominali; rari casi di C. difficile –Dearrea associata alla diarrea, compresa la colite pseudomembranosa o il sanguinamento gastrointestinale. L'inizio dei sintomi pseudomembrani di colite possono verificarsi durante o dopo il trattamento antibiotico. (Vedere Avvertimenti .
Dermatologico - Necrolisi epidermica tossica (vedi Avvertimenti ) Eritema viola Dermatite esfoliativa multiforme orticaria petechia
Cardiovascolare - Ipotensione Transient ECG Cambiamenti (BigEMiny ventricolare e PVC) Flushing
Respiratorio - Dolore al torace della dispnea sibilante
Epatobiliare - Ittero dell'epatite
Sistema nervoso - Confusione convulsa encefalopatia Vertigeste parestesia Insonnia vertigini.
Muscoloscheletrico - Dolori muscolari
Sensi speciali - Tinnitus Diplopia Mouth Ulcer alterato Tasto intorpidito intorpidito starnuti
Altro - Candidiasi vaginale Vaginite Dollietezza del seno
Corpo nel suo insieme - Malaise della febbre del mal di testa di debolezza
Reazioni avverse pediatriche
Dei 612 pazienti pediatrici che sono stati trattati con azactam in studi clinici meno dell'1% ha richiesto l'interruzione della terapia a causa di eventi avversi. I seguenti eventi avversi sistemici indipendentemente dalla relazione farmacologica si sono verificati in almeno l'1%dei pazienti trattati in studi clinici domestici: diarrea eruzione (NULL,3%) (NULL,4%) e febbre (NULL,0%). Questi eventi avversi erano paragonabili a quelli osservati negli studi clinici per adulti.
In 343 pazienti pediatrici che hanno ricevuto terapia endovenosa sono state notate le seguenti reazioni locali: dolore (12%) eritema (NULL,9%) di indurimento (NULL,9%) e flebite (NULL,1%). Nella popolazione di pazienti statunitensi si è verificato nel 1,5% dei pazienti mentre ciascuna delle restanti 3 reazioni locali ha avuto un'incidenza dello 0,5%.
I seguenti eventi avversi di laboratorio indipendentemente dalla relazione farmacologica si sono verificati in almeno l'1%dei pazienti trattati: aumento degli eosinofili (NULL,3%) ha aumentato le piastrine (NULL,6%) neutropenia (NULL,2%) ha aumentato AST (NULL,8%) ha aumentato ALT (NULL,5%) e aumento della creatinina sierica (NULL,8%).
Negli Stati Uniti Studi clinici pediatrici neutropenia ( conta assoluta dei neutrofili Meno di 1000/mm 3 ) si è verificato nell'11,3% dei pazienti (8/71) di età inferiore ai 2 anni che ricevono 30 mg/kg ogni 6 ore. Elevazioni AST e ALT a più di 3 volte il limite superiore del normale è stato notato nel 15% al 20% dei pazienti di età pari o superiore a 50 mg/kg ogni 6 ore. L'aumento della frequenza di questi eventi avversi di laboratorio segnalati può essere dovuta all'aumento della gravità della malattia trattata o alle dosi più elevate di azactam somministrate.
Cambiamenti avversi di laboratorio
I cambiamenti avversi del laboratorio indipendentemente dalla relazione farmacologica che sono state riportate durante gli studi clinici sono stati:
Epatico - elevazioni di AST (SGOT) Alt (SGPT) e fosfatasi alcalina; Segni o sintomi della disfunzione epatobiliare si sono verificati in meno dell'1% dei destinatari (vedi sopra).
Ematologico - Aumento del test di Coombops positivo della protrombina e della tromboplastina parziale.
Renale - Aumento della creatinina sierica.
Interazioni farmacologiche per l'iniezione di azactam
Nessuna informazione fornita
Avvertimenti per Azactam Injection
Sia i dati animali che quelli umani suggeriscono che l'azactam (aztreonam per iniezione USP) è raramente reattivo con altri antibiotici beta-lattamici e debolmente immunogenico. Il trattamento con aztreonam può provocare reazioni di ipersensibilità nei pazienti con o senza esposizione precedente. (Vedere Controindicazioni .
È necessario fare un'attenta indagine per determinare se il paziente ha una storia di reazioni di ipersensibilità ad eventuali allergeni.
Mentre la reattività incrociata di aztreonam con altri antibiotici beta-lattamici è raro, questo farmaco dovrebbe essere somministrato con cautela a qualsiasi paziente con una storia di ipersensibilità ai beta-lattamici (ad es. Penicilline cefalosporine e/o carbapenemi). Il trattamento con aztreonam può provocare reazioni di ipersensibilità nei pazienti con o senza precedente esposizione ad Aztreonam. Se si verifica una reazione allergica ad Aztreonam interrompere il trattamento di supporto e istituire il trattamento di supporto, a seconda dei casi (ad es. Mantenimento di corticosteroidi antistaminici delle ammine a pressione di ventilazione). Le gravi reazioni di ipersensibilità possono richiedere epinefrina e altre misure di emergenza. (Vedere Reazioni avverse .
Clostridium difficile –La diarrea associata (CDAD) è stata segnalata con l'uso di quasi tutti gli agenti antibatterici tra cui azactam e può variare in gravità dalla diarrea lieve alla colite fatale. Il trattamento con agenti antibatterici altera la normale flora del colon che porta alla crescita eccessiva di C. difficile.
C. difficile produce tossine A e B che contribuiscono allo sviluppo di CDAD. Ceppi produttori di ipertoxina di C. difficile causano un aumento della morbilità e della mortalità poiché queste infezioni possono essere refrattarie alla terapia antimicrobica e possono richiedere colectomia. Il CDAD deve essere considerato in tutti i pazienti che presentano diarrea a seguito di uso antibiotico. È necessaria un'attenta storia medica da quando è stato segnalato che il CDAD si verifichi oltre 2 mesi dopo la somministrazione di agenti antibatterici.
Se il CDAD è sospettato o confermato l'uso di antibiotici in corso non diretto contro C. difficile Potrebbe essere necessario interrompere. Appropriato TRATTAMENTO ANTIbiotico di integrazione di proteine per la gestione dei fluidi ed elettroliti C. difficile E surgical evaluation should be instituted as clinically indicated.
Rari casi di necrolisi epidermica tossica sono stati riportati in associazione con Aztreonam nei pazienti sottoposti a trapianto di midollo osseo con molteplici fattori di rischio tra cui la radioterapia di sepsi e altri farmaci somministrati in modo concomitante associati a necrolisi epidermica tossica.
Precauzioni per Azactam Injection
Generale
È improbabile che la prescrizione di azactam in assenza di un'infezione batterica comprovata o fortemente sospetta o un'indicazione profilattica fornisca benefici al paziente e aumenta il rischio di sviluppo di batteri resistenti ai farmaci.
Nei pazienti con funzionalità epatica o renale alterata si raccomanda un monitoraggio appropriato durante la terapia.
Se viene utilizzato un aminoglicoside contemporaneamente con aztreonam, specialmente se vengono utilizzati alti dosaggi del primo o se la terapia è prolungata una funzione renale deve essere monitorata a causa della potenziale nefrotossicità e ototossicità degli antibiotici aminoglicoside.
L'uso di antibiotici può promuovere la crescita eccessiva di organismi non sensibili, tra cui organismi Gram-positivi ( Staphylococcus aureus E Streptococcus faecalis ) e funghi. Se si verificano superinfezione durante la terapia, dovrebbero essere prese misure appropriate.
Mutagenesi della carcinogenesi compromissione della fertilità
Gli studi di cancerogenicità con Aztreonam non sono stati condotti utilizzando una via di somministrazione endovenosa. Uno studio di tossicologia per inalazione di ratto di 104 settimane per valutare il potenziale cancerogeno di Aztreonam non ha dimostrato alcun aumento correlato al farmaco nell'incidenza dei tumori. I ratti sono stati esposti ad Aztreonam aerosol per un massimo di 4 ore al giorno. I livelli plasmatici di picco di aztreonam in media circa 6,8 mcg/ml sono stati misurati nei ratti a livello di dose più elevato.
Studi di tossicologia genetica condotti con Aztreonam in vitro (Test del linfoma del linfoma del topo AMES Assaggio del geni di conversione del dosaggio del cromosoma Aberrazione nei linfociti umani) e in vivo (test citogenetico del midollo osseo del topo) non ha rivelato prove di potenziale mutagenico o clastogenico.
Uno studio di riproduzione di due generazioni nei ratti a dosi giornaliere di 150 600 o 2400 mg/kg somministrate prima e durante la gestazione e l'allattamento non ha rivelato alcuna prova di fertilità compromessa. Sulla base della superficie corporea, l'alta dose è di 2,9 volte maggiore della dose umana consigliata massima (MRHD) per adulti di 8 g al giorno. C'è stato un tasso di sopravvivenza leggermente ridotto durante il periodo di allattamento nella progenie di ratti che hanno ricevuto la dose più alta ma non nella prole dei ratti che hanno ricevuto dosi più basse di aztreonam.
Gravidanza
Gravidanza Category B
Nelle donne in gravidanza Aztreonam attraversa la placenta ed entra nella circolazione fetale.
Gli studi sulla tossicità dello sviluppo su ratti in gravidanza e conigli con dosi giornaliere di aztreonam fino a 1800 e 1200 mg/kg rispettivamente non hanno rivelato alcuna prova di embriotossicità o fetossicità o teratogenicità. Queste dosi basate sulla superficie corporea sono 2,2 e 2,9 volte maggiore del MRHD per adulti di 8 g al giorno. Uno studio peri/postnatale sui ratti non ha rivelato cambiamenti indotti dal farmaco in qualsiasi parametro fetale o neonatale materno. La dose più alta utilizzata in questo studio 1800 mg/kg/giorno è 2,2 volte la MRHD in base alla superficie corporea.
Non ci sono studi adeguati e ben controllati su Aztreonam sui risultati della gravidanza umana. Poiché gli studi sulla riproduzione degli animali non sono sempre predittivi della risposta umana che Aztreonam dovrebbe essere usato durante la gravidanza solo se chiaramente necessario.
Madri infermieristiche
Aztreonam è escreto nel latte umano in concentrazioni che sono inferiori all'1% delle concentrazioni determinate nel siero materno ottenuto simultaneamente; Si dovrebbe prendere in considerazione la sospensione temporanea dell'assistenza infermieristica e l'uso di poppate di formula.
Uso pediatrico
La sicurezza e l'efficacia dell'azactam per via endovenosa sono state stabilite nelle fasce di età da 9 mesi a 16 anni. L'uso di azactam in queste fasce di età è supportato da prove da studi adeguati e ben controllati su azactam negli adulti con ulteriore sicurezza di efficacia e dati farmacocinetici da studi clinici non comparativi in pazienti pediatrici. Non sono disponibili dati sufficienti per i pazienti pediatrici di età inferiore ai 9 mesi o per le seguenti indicazioni/patogeni di trattamento: setticemia e infezioni della pelle e della struttura della pelle (in cui si ritiene che l'infezione cutanea sia dovuta a H. influenzae Tipo B). Nei pazienti pediatrici con fibrosi cistica dosi più elevate di azactam possono essere giustificate. (Vedere Farmacologia clinica Dosaggio e amministrazione E Studi clinici .
è sicuro viaggiare in Europa in questo momento?
Uso geriatrico
Gli studi clinici di Azactam non includevano un numero sufficiente di soggetti di età pari o superiore a 65 anni per determinare se rispondono in modo diverso dai soggetti più giovani. Altra esperienza clinica segnalata non ha identificato le differenze nelle risposte tra i pazienti anziani e più giovani. Nella selezione della dose generale per un paziente anziano dovrebbe essere cauto riflettendo la maggiore frequenza della ridotta funzione renale e cardiaca epatica e di malattia concomitante o altre terapia farmacologica.
Nei pazienti anziani l'emivita sierica media di Aztreonam è aumentata e la clearance renale è diminuita in linea con la riduzione legata all'età della clearance della creatinina. Dal momento che Aztreonam è noto per essere sostanzialmente escreto dal rene il rischio di reazioni tossiche a questo farmaco può essere maggiore nei pazienti con funzione renale alterata. Poiché i pazienti anziani hanno maggiori probabilità di avere una riduzione della funzione renale renale dovrebbe essere monitorato e le regolazioni del dosaggio apportate di conseguenza (vedi Dosaggio e amministrazione : Compromissione renale nei pazienti adulti E Dosaggio In The Elderly ).
Azactam contains no sodium.
Informazioni per overdose per l'iniezione di azactam
Se necessario, aztreonam può essere eliminato dal siero dalla emodialisi e/o dalla dialisi peritoneale.
Controindicazioni per l'iniezione di azactam
Questa preparazione è controindicata nei pazienti con ipersensibilità nota ad Aztreonam o in qualsiasi altro componente nella formulazione.
Farmacologia clinica per Azactam Injection
Singole infusioni endovenose di 30 minuti di 500 mg 1 g e 2 g di dosi di azactam in soggetti sani hanno prodotto livelli sierici di picco aztreonam di 54 mcg/ml 90 mcg/mL e 204 mcg/ml rispettivamente immediatamente dopo la somministrazione; A 8 ore i livelli sierici erano rispettivamente 1 mcg/ml 3 mcg/ml e 6 mcg/ml (Figura 1). Le iniezioni endovenose a 3 minuti di 3 minuti delle stesse dosi hanno portato a livelli sierici di 58 mcg/ml 125 mcg/mL e 242 mcg/ml a 5 minuti dopo il completamento dell'iniezione.
Le concentrazioni sieriche di aztreonam in soggetti sani dopo il completamento di singole iniezioni intramuscolari di 500 mg e 1 g di dosi sono rappresentate nella Figura 1; Le concentrazioni sieriche massime si verificano a circa 1 ora. Dopo identiche dosi endovenose o intramuscolari di azactam, le concentrazioni sieriche di aztreonam sono comparabili a 1 ora (NULL,5 ore dall'inizio dell'infusione endovenosa) con pendii simili di concentrazioni sieriche da allora in poi.
Figura 1
|
I livelli sierici di aztreonam a seguito di singoli 500 mg o 1 g (intramuscolare o endovenosa) o 2 g (endovenosi) dosi di azactam superano il MIC 90 per Neisseria sp. Haemophilus influenzae E most genera of the Enterobacteriaceae per 8 hours (per Enterobacter sp. the 8-hour serum levels exceed the MIC per 80% of strains). For Pseudomonas aeruginosa Una singola dose endovenosa da 2 g produce livelli sierici che superano il MIC per circa 4-6 ore. Tutte le dosi di cui sopra di azactam provocano livelli medi di urina di aztreonam che superano il microfono 90 per the same pathogens per up to 12 hours.
Quando la farmacocinetica Aztreonam è stata valutata per i pazienti adulti e pediatrici, è stato comparabile (fino a 9 mesi). L'emivita sierica di Aztreonam è stata in media di 1,7 ore (NULL,5-2,0) in soggetti con normale funzione renale indipendentemente dalla dose e dalla via di somministrazione. In soggetti sani basati su una persona di 70 kg l'autorizzazione sierica era di 91 ml/min e l'autorizzazione renale era di 56 ml/min; Il volume medio apparente di distribuzione a stato stazionario era in media 12,6 litri approssimativamente equivalente al volume del fluido extracellulare.
Nei pazienti anziani l'emivita sierica media di Aztreonam è aumentata e la clearance renale è diminuita in coerente con la riduzione legata all'età della clearance della creatinina. 1-4 Il dosaggio di azactam dovrebbe essere regolato di conseguenza (vedi Dosaggio e amministrazione : Compromissione renale nei pazienti adulti ).
Nei pazienti con funzionalità renale alterata è prolungata l'emivita sierica di Aztreonam. (Vedere Dosaggio e amministrazione : Compromissione renale nei pazienti adulti ). The serum half-life of aztreonam is only slightly prolonged in patients with hepatic impairment since the liver is a minor pathway of excretion.
Le concentrazioni medie di urina di aztreonam erano circa 1100 mcg/ml 3500 mcg/mL e 6600 mcg/mL entro le prime 2 ore dopo le singole dosi endovenose di 500 mg 1 g e 2 g di azactam (infusioni di 30 minuti) rispettivamente. La gamma di concentrazioni medie per Aztreonam negli esemplari di urina da 8 a 12 ore in questi studi era da 25 a 120 mcg/mL. Dopo l'iniezione intramuscolare di singoli 500 mg e 1 g di dosi di livelli urinari di azactam erano rispettivamente di circa 500 mcg/ml e 1200 mcg/ml nelle prime 2 ore in calo a 180 mcg/ml e 470 mcg/ml nei campioni da 6 a 8 ore. In soggetti sani, aztreonam viene escreto nelle urine equamente mediante secrezione tubulare attiva e filtrazione glomerulare. Circa il 60% al 70% di una dose endovenosa o intramuscolare è stato recuperato nelle urine di 8 ore. L'escrezione urinaria di una singola dose parenterale è stata essenzialmente completa di 12 ore dopo l'iniezione. Circa il 12% di una singola dose endovenosa radiomarcata è stato recuperato nelle feci. Aztreonam invariato e il prodotto di idrolisi dell'anello betalattam inattivo di Aztreonam erano presenti nelle feci e nelle urine.
La somministrazione endovenosa o intramuscolare di una singola dose di 500 mg o 1 g di azactam ogni 8 ore per 7 giorni a soggetti sani non ha prodotto alcun accumulo apparente di aztreonam o modifica delle sue caratteristiche di disposizione; Il legame sierico proteico in media del 56% ed era indipendente dalla dose. Una media di circa il 6% di una dose intramuscolare da 1 g è stata escreta come prodotto di idrolisi dell'anello beta-lattamico-open-lattamico microbiologicamente inattivo (emivita sierica di circa 26 ore) di Aztreonam nella collezione di urine da 0 a 8 ore nell'ultimo giorno di dosaggio multiplo.
Renale function was monitored in healthy subjects given aztreonam; stEard tests (serum creatinine creatinine clearance BUN urinalysis E total urinary protein excretion) as well as special tests (excretion of N-acetyl-β- glucosaminidase alanine aminopeptidase E β 2 -microglobulina) sono stati usati. Non sono stati ottenuti risultati anormali.
Aztreonam raggiunge concentrazioni misurabili nei seguenti fluidi e tessuti corporei:
Tabella 1: concentrazioni extravascolari di aztreonam dopo una singola dose parenterale a
| Fluido o tessuto | Dose (g) | Itinerario | Ore dopo l'iniezione | Numero di pazienti | Concentrazione media (MCG/mL o MCG/G) |
| Fluidi | |||||
| 1 | IV | 2 | 10 | 39 | |
| 1 | IV | 1 | 6 | 20 | |
| 2 | IV | 4 | 7 | 5 | |
| 2 | IV | 0.9-4.3 | 16 | 3 | |
| 2 | IV | 1 | 6 | 33 | |
| 2 | IV | 1.1-3.0 | 3 | 51 | |
| 2 | IV | 0,8-1,9 | 11 | 83 | |
| Tessuti | |||||
| 2 | IV | 0.9-1.6 | 12 | 22 | |
| 2 | IV | 0,7-1,9 | 4 | 9 | |
| 2 | IV | 0,7-1,9 | 8 | 12 | |
| 2 | IV | 1.3-2.0 | 10 | 5 | |
| 2 | IV | 1.0-2.1 | 15 | 16 | |
| 2 | IV | 0.8-1.3 | 4 | 23 | |
| 2 | IV | 2.4-5.6 | 5 | 67 | |
| 2 | IV | 0,8-1,9 | 9 | 12 | |
| 2 | IV | 0.9-2.0 | 6 | 47 | |
| 2 | IV | 1.2-2.1 | 6 | 22 | |
| 2 | IV | 0,7-1,9 | 9 | 11 | |
| 2 | IV | 0,7-1,9 | 7 | 13 | |
| 1 | Nel | 0,8-3,0 | 8 | 8 | |
| 2 | IV | 0,3-0,7 | 6 | 16 | |
| 2 | IV | 0,0-1,0 | 8 | 25 | |
| 2 | IV | 1 | 6 | 6 | |
| a La penetrazione dei tessuti è considerata essenziale per l'efficacia terapeutica, ma i livelli specifici dei tessuti non sono stati correlati con effetti terapeutici specifici. |
La concentrazione di aztreonam in saliva a 30 minuti dopo una singola dose endovenosa di 1 g (9 pazienti) era di 0,2 mcg/mL; Nel latte umano a 2 ore dopo una singola dose endovenosa da 1 g (6 pazienti) 0,2 mcg/mL e a 6 ore dopo una singola dose intramuscolare da 1 g (6 pazienti) 0,3 mcg/ml; Nel fluido amniotico a 6-8 ore dopo una singola dose endovenosa di 1 g (5 pazienti) 2 mcg/mL. La concentrazione di aztreonam nel fluido peritoneale ha ottenuto 1-6 ore dopo più dosi endovenose di 2 g variavano tra 12 mcg/ml e 90 mcg/mL in 7 su 8 pazienti studiati.
Aztreonam somministrato per via endovenosa rapidamente a concentrazioni terapeutiche nel fluido peritoneale della dialisi; Al contrario Aztreonam somministrato per via intraperitoneale nel fluido dialisi produce rapidamente livelli sierici terapeutici.
La somministrazione concomitante di probenecide o furosemide e aztreonam provoca aumenti clinicamente insignificanti dei livelli sierici di Aztreonam. Studi farmacocinetici per via endovenosa a dose monodosa non hanno mostrato alcuna interazione significativa tra aztreonam e concomitabilmente somministrato in gentamicina nafcillina sodio cephradine clindamicina o metronidazolo. Non sono state notate segnalazioni di reazioni simili a disulfiram con ingestione di alcol; Questo non è inaspettato poiché Aztreonam non contiene una catena laterale metil-tetrazolo.
Microbiologia
Meccanismo d'azione
Aztreonam è un agente battericida che agisce per inibizione della sintesi della parete cellulare batterica. Aztreonam ha attività in presenza di alcune beta-lattamasi sia penicillinasi che cefalosporinasi di batteri Gram-negativi e Gram-positivi.
Meccanismo di resistenza
La resistenza ad Aztreonam è principalmente attraverso l'idrolisi mediante alterazione beta-lattamasi delle proteine leganti la penicillina (PBP) e una ridotta permeabilità.
Interazione con altri antimicrobici
Aztreonam e aminoglicosidi hanno dimostrato di essere sinergici in vitro contro la maggior parte dei ceppi di P. aeruginosa Molti ceppi di Enterobacteriaceae e altri bacilli aerobici Gram-negativi.
Aztreonam ha dimostrato di essere attivo contro la maggior parte dei ceppi dei seguenti microrganismi in vitro E in clinical infections as described in the Indicazioni e utilizzo 5 sezione.
Microrganismi aerobici gram-negativi
Citrobacter species
Enterobacter species
Hanno mostrato freddo
Haemophilus influenzae (tra cui ceppi che producono l'ampicillina e altri ceppi produttori di penicillinasi)
Klebsiella oxytoca
Klebsiella pneumoniae
Proteus meraviglioso
Pseudomonas aeruginosa
Serrazia species
Quanto segue in vitro Sono disponibili dati ma il loro significato clinico è sconosciuto. Almeno il 90% dei seguenti microrganismi presenta un in vitro Concentrazione inibitoria minima (MIC) inferiore o uguale al punto di interruzione sensibile per Aztreonam. Tuttavia, l'efficacia di Aztreonam nel trattamento delle infezioni cliniche dovute a questi microrganismi non è stata stabilita in studi clinici adeguati e ben controllati.
Microrganismi aerobici gram-negativi
Aeromonas hydrophila
Morganella Morganies
Neisseria gonorrhoeae (compresi ceppi produttori di penicillinasi)
Pasteurella multocida
Proteus vulgaris
Providencia Stuartii
Rettgeri Providence
Yersinia enterocolitica
Aztreonam e aminoglicosidi hanno dimostrato di essere sinergici in vitro contro la maggior parte dei ceppi di P. aeruginosa Molti ceppi di Enterobacteriaceae e altri bacilli aerobici Gram-negativi.
Le alterazioni della flora intestinale anaerobica da parte degli antibiotici ad ampio spettro possono ridurre la resistenza alla colonizzazione, consentendo così la crescita eccessiva di potenziali agenti patogeni, ad es. Candida E Clostridium specie. Aztreonam has little effect on the anaerobic intestinal microflora in in vitro studi. Clostridium difficile E its cytotoxin were not found in animal models following administration of aztreonam. (See Reazioni avverse : Gastrointestinale .
Test di suscettibilità
Per informazioni specifiche relative ai criteri interpretativi di test di suscettibilità e ai metodi di prova associati e agli standard di controllo della qualità riconosciuti dalla FDA per questo farmaco, consultare: https://www.fda.gov/stic .
Studi clinici
Un totale di 612 pazienti pediatrici di età compresa tra 1 mese a 12 anni sono stati arruolati in studi clinici incontrollati di Aztreonam nel trattamento di infezioni gravi negative gram-negative, tra cui il tratto urinario inferiore, la pelle del tratto respiratorio inferiore e la struttura della pelle e le infezioni intra-addominali.
Preparazione di soluzioni parenterali
Generale
All'aggiunta del diluente al contenuto del contenitore deve essere scosso immediatamente E vigorosamente Le soluzioni costituite non sono per uso a dosi multiple; Se l'intero volume nel contenitore non venga utilizzato per una singola dose, la soluzione non utilizzata deve essere scartata.
A seconda della concentrazione di aztreonam e diluente utilizzato costituito, azactam produce una soluzione incolore alla luce gialla di paglia che può sviluppare una leggera tinta rosa in piedi (la potenza non è influenzata). I prodotti farmaceutici parentali devono essere ispezionati visivamente per il particolato e lo scolorimento ogni volta che la soluzione e il consumo del contenitore.
Addixtures con altri antibiotici
Le soluzioni di infusione per via endovenosa di azactam non superiori al 2% p/v preparate con iniezione di cloruro di sodio USP 0,9% o iniezione di destrosio USP il 5% a cui sono stati aggiunti clinicamente la clinica di clinica fosfato di clindamicina a una temperatura di rulfato o di rulfato a base di rulfato o di rulfato di rulfato a base di solfato di rulfato o di rulfigica a 40 ore a 48 ore di rulfrigazione a base di refrigerazione a base di refrigerazione. Le miscele di sodio di ampicillina con aztreonam in iniezione di cloruro di sodio USP 0,9% sono stabili per 24 ore a temperatura ambiente e 48 ore in refrigerazione; La stabilità nell'iniezione di destrosio USP il 5% è di 2 ore a temperatura ambiente e 8 ore in refrigerazione.
Aztreonam-cloxacillin sodico e aztreonam-vancomicina cloridrato le miscele sono stabili nella dianeale 137 (soluzione di dialisi peritoneale) con dextrosio del 4,25% per un massimo di 24 ore a temperatura ambiente.
Aztreonam è incompatibile con la nafcillina sodio cephradine e il metronidazolo.
Altro admixtures are not recommended since compatibility data are not available.
Soluzioni endovenose
Per iniezione di bolo
Il contenuto di una fiala di capacità di 15 ml di Azactam dovrebbe essere costituito con acqua sterile da 6 a 10 ml per USP iniezione.
Per infusione
Se il contenuto di una fiala di capacità di 15 ml deve essere trasferito a una soluzione di infusione appropriata, ogni grammo di aztreonam dovrebbe essere inizialmente costituito con almeno 3 ml di acqua sterile per l'iniezione USP. Un'ulteriore diluizione può essere ottenuta con una delle seguenti soluzioni per l'infusione endovenosa:
Iniezione di cloruro di sodio USP 0,9% Iniezione Ringer USPLACTATO INIEZIONE DELLA RINGER USP Iniezione di destrosio USP 5% o 10% di destrosio e iniezione di cloruro di sodio USP 5%: 0,9% 5%: 0,45% o 5%: 0,2% Iniezione di sodio USP (M/6 sodio lattato) ionosol) ® B e isolato di destrosio B e 5% ® Eisolile ® E con isolato a destrosio al 5% ® M con destrosio al 5% normosol ® -R normosol -r e destrosio 5% normosol -m e iniezione di mannitolo di destrosio 5% USP 5% o 10% Ringer lattato e 5% di iniezione di destrosio Plasma -lyte M e 5% di destrosio
Soluzioni intramuscolari
Il contenuto di una fiala di capacità di 15 ml di azactam dovrebbe essere costituito con almeno 3 ml di un diluente appropriato per grammo aztreonam. È possibile utilizzare i seguenti diluenti:
Acqua sterile per iniezione USP
Acqua batteriostatica sterile per iniezione USP (con alcool benzilico o con metil- e propilparabeni)
cose da fare a Girona
Iniezione di cloruro di sodio USP 0,9%
Iniezione batteriostatica di cloruro di sodio USP (con alcool benzilico)
Stabilità di soluzioni endovenose e intramuscolari
Azactam solutions per intravenous infusion at concentrations not exceeding 2% w/v must be used within 48 hours following constitution if kept at controlled room temperature (59°F-86°F/15°C-30°C) or within 7 days if refrigerated (36°F-46°F/2°C-8°C).
Azactam solutions at concentrations exceeding 2% w/v except those prepared with Acqua sterile per iniezione USP or Sodium Chloride Injection USP should be used promptly after preparation; the 2 excepted solutions must be used within 48 hours if stored at controlled room temperature or within 7 days if refrigerated.
Amministrazione endovenosa
Iniezione di bolo
Un'iniezione di bolo può essere utilizzata per iniziare la terapia. La dose dovrebbe essere lentamente Iniettato direttamente in una vena o il tubo di una somministrazione adeguata impostata per un periodo da 3 a 5 minuti (vedere il paragrafo successivo per quanto riguarda il lavaggio del tubo).
Infusione
Con qualsiasi infusione intermittente di Aztreonam e un altro farmaco con cui non è farmaceuticamente compatibile, il tubo di rilascio comune dovrebbe essere scaricato prima e dopo il parto di Aztreonam con qualsiasi soluzione di infusione appropriata compatibile con entrambe le soluzioni farmacologiche; I farmaci non devono essere consegnati contemporaneamente. Qualsiasi infusione di azactam dovrebbe essere completata entro un periodo da 20 a 60 minuti. Con l'uso di a Set di amministrazione di tipo Y. Un'attenta attenzione dovrebbe essere prestata al volume calcolato della soluzione di Aztreonam richiesto in modo da infondere l'intera dose. Un set di somministrazione di controllo del volume può essere utilizzato per fornire una diluizione iniziale di azactam (vedi Preparazione di soluzioni parenterali: Soluzioni endovenose: Per infusione ) in una soluzione di infusione compatibile durante la somministrazione; In questo caso la diluizione finale di Aztreonam dovrebbe fornire una concentrazione non superiore al 2% p/v.
Somministrazione intramuscolare
La dose dovrebbe essere data da iniezione profonda in una grande massa muscolare (come il quadrante esterno superiore del gluteo massimo o la parte laterale della coscia). Aztreonam è ben tollerato e non dovrebbe essere miscelato con nessun agente anestetico locale.
Informazioni sul paziente per l'iniezione di azactam
I pazienti dovrebbero essere consigliati che i farmaci antibatterici tra cui l'azactam dovrebbero essere usati solo per trattare le infezioni batteriche. Non trattano le infezioni virali (ad es. Cool comune). Quando viene prescritto azactam per il trattamento di un'infezione batterica, i pazienti dovrebbero essere detto che sebbene sia comune sentirsi meglio all'inizio del corso della terapia, i farmaci dovrebbero essere presi esattamente come indicato. Saltare le dosi o non completare l'intero corso della terapia può (1) ridurre l'efficacia del trattamento immediato e (2) aumentare la probabilità che i batteri sviluppino resistenza e non saranno curabili da Azactam o altri farmaci antibatterici in futuro.
La diarrea è un problema comune causato dagli antibiotici che di solito termina quando l'antibiotico viene interrotto. A volte dopo aver iniziato il trattamento con i pazienti con antibiotici possono sviluppare feci acquose e sanguinanti (con o senza crampi di stomaco e febbre) anche fino a 2 o più mesi dopo aver preso l'ultima dose dell'antibiotico. Se ciò si verifica, i pazienti devono contattare il proprio medico il più presto possibile.