Le Informazioni Presenti Sul Sito Non Costituiscono Consulenza Medica. Non Vendiamo Nulla. L'Accuratezza Della Traduzione Non È Garantita. Disclaimer
Agenti dell'acne, combo di attualità
L'unica cosa è
Riepilogo della droga
Cos'è Acanya?
Acanya (clindamicina fosfato 1,2% e perossido di benzoile 2,5%) per uso topico è una combinazione di un agente antibiotico e antibatterico e cheratolitico usato per trattare l'acne.
Quali sono gli effetti collaterali di Acanya?
Gli effetti collaterali comuni di Acanya includono:
- Irritazione della pelle come bruciore o puntura
- prurito o sentendole
- secchezza o peeling della pelle trattata o
- arrossamento o altra irritazione.
Di 'al medico se hai gravi effetti collaterali di Acanya, incluso:
- grave arrossamento che brucia il puntura o il peeling delle aree cutanee trattate; O
- Diarrea che è acquosa o sanguinosa.
Dosaggio per Acanya
Il dosaggio consigliato di Acanya è un importo di dimensioni di piselli applicata sul viso una volta al giorno.
Quali sostanze o integratori di farmaci interagiscono con Acanya?
Altri antibiotici topici possono interagire con Acanya. Di 'al medico tutti i farmaci che usi.
Acanya durante la gravidanza e l'allattamento
Non mettere Acanya nella vagina degli occhi della bocca o sulle labbra. Non usare Acanya se si dispone di colite ulcerosa di Crohn o diarrea grave con uso antibiotico passato. Se sei in gravidanza, usi Acanya solo se il potenziale beneficio supera il potenziale rischio per il feto. Parla con il tuo medico dell'uso di Acanya se stai allattando.Ulteriori informazioni
Il nostro Acanya (clindamicina fosfato 1,2% e perossido di benzoile 2,5%) per gli effetti collaterali di uso topico Centro farmacologico fornisce una visione completa delle informazioni disponibili sui farmaci sui potenziali effetti collaterali durante l'assunzione di questo farmaco.
Informazioni sui farmaci FDA
- Descrizione del farmaco
- Indicazioni
- Effetti collaterali
- Avvertimenti
- Overdose
- Farmacologia clinica
- Guida ai farmaci
Descrizione per Acanya Gel
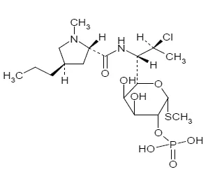
Il gel Acanya (clindamicina fosfato e perossido di benzoile) 1,2%/2,5% è un prodotto di combinazione con due ingredienti attivi in una formulazione di gel acquosa liscia da bianca a bianca opaca destinata all'uso topico. La clindamicina fosfato è un estere idrico dell'antibiotico semi-sintetico prodotto da una sostituzione cloro 7 (S) (S) del gruppo 7 (R)-idrossile della linomina antibiotica genitore.
Il nome chimico per la clindamicina fosfato è Metil 7-cloro-678-trideoxy-6- (1-metil-trans-4-propil-l-2-pirrolidinecarboxamido)- 1-THIO-L-Direction- α-d-galactooctopyranoside 2 -(diidrogeno fosfato). La formula strutturale per la clindamicina fosfato è rappresentata di seguito:
Clindamicina fosfato :
|
Formula molecolare : C 18 H 34 Cln 2 O 8 Ps Peso molecolare : 504.97
Il perossido di benzoil è un agente antibatterico e cheratolitico. La formula strutturale per il perossido di benzoile è rappresentata di seguito:
Perossido di benzoil :
|
Formula molecolare : C 14 H 10 O 4 Peso molecolare : 242.23
Il gel Acanya contiene i seguenti ingredienti inattivi: carbomero acqua purificato 980 glicole propilenico e idrossido di potassio. Ogni grammo di gel Acanya contiene l'1,2% della clindamicina fosfato che equivale all'1% di clindamicina.
Usi per Acanya Gel
Il gel Acanya® è indicato per il trattamento topico dell'acne vulgaris in pazienti di età pari o superiore a 12 anni.
Dosaggio per Acanya Gel
Prima di applicare il gel Acanya Lava il viso delicatamente con un risciacquo in sapone lieto con acqua calda e asciuga la pelle. Applicare una quantità di gel Acanya a grandezza naturale sul viso una volta al giorno. Evita gli occhi mucosi della bocca o aree di pelle rotta.
Non è stato valutato l'uso di Acanya Gel oltre 12 settimane.
La terapia di acne topica concomitante deve essere utilizzata con cautela perché può verificarsi un possibile effetto di irritanza cumulativa, specialmente con l'uso di agenti desquamati o abrasivi peeling.
Il gel Acanya non è per uso oftalmico orale o intravaginale.
Come fornito
Forme di dosaggio e punti di forza
Gel 1,2%/2,5%
Ogni grammo di gel Acanya contiene 10 mg (1%) clindamicina come fosfato e 25 mg (NULL,5%) perossido di benzoile in un gel liscio opaco da bianco a bianco sporco.
Gel Acania 1,2%/2,5% è un gel liscio bianco a bianco sporco viene fornito come:
Ndc 13548-132-50 Pompa da 50 g
Istruzioni di distribuzione per il farmacista
- Distribuire il gel Acanya con una data di scadenza di 10 settimane.
- Specificare la memorizzazione a temperatura ambiente fino a 25 ° C (77 ° F). Non congelare.
Archiviazione e maneggevolezza
- Farmacista: prima dell'erogazione: conservare in frigorifero da 2 ° a 8 ° C (da 36 ° a 46 ° F).
- Paziente: conservare a temperatura ambiente a 77 ° F) o inferiore a 25 ° C.
- Proteggere dal congelamento.
- Conservare la pompa in posizione verticale.
- Tenere fuori dalla portata dei bambini.
- Mantieni il contenitore strettamente chiuso.
Distribuito da: Bausch Health US LLC Bridgewater NJ 08807 USA. Prodotto da: Bausch Health Companies Inc. Laval Quebec H7L 4A8 Canada. UN
Effetti collaterali per Acanya Gel
Esperienza di studi clinici
Poiché gli studi clinici sono condotti in condizioni ampiamente variabili reazioni avverse osservate negli studi clinici di un farmaco non possono sempre essere paragonati direttamente ai tassi negli studi clinici di un altro farmaco e potrebbero non riflettere i tassi osservati nella pratica.
Le seguenti reazioni avverse selezionate si sono verificate in meno dello 0,2% dei soggetti trattati con gel Acanya: dolore del sito di applicazione (NULL,1%); esfoliazione del sito dell'applicazione (NULL,1%); e irritazione del sito dell'applicazione (NULL,1%).
Durante gli studi clinici i soggetti sono stati valutati per i segni e i sintomi cutanei locali del ridimensionamento dell'eritema che prude brucia e bruciando. La maggior parte delle reazioni cutanee locali aumentava e raggiunse il picco intorno alla settimana 4 e diminuiva continuamente nel tempo raggiungendo i livelli di base della settimana 12. La percentuale di soggetti che presentavano sintomi presenti prima del trattamento il valore massimo registrato durante il trattamento e la percentuale con i sintomi presenti alla settimana 12 è mostrata nella Tabella 1.
Tabella 1: percentuale di soggetti con reazioni cutanee locali. Risultati combinati dalle due prove di fase 3 (n = 773)
| Prima del trattamento (basale) | Massimo durante il trattamento | Fine del trattamento (settimana 12) | |||||||
| Blando | Contro.* | Acuto | Blando | Contro.* | Acuto | Blando | Contro.* | Acuto | |
| Eritema | 22 | 4 | 0 | 25 | 5 | <1 | 15 | 2 | 0 |
| Ridimensionamento | 8 | <1 | 0 | 18 | 3 | 0 | 8 | 1 | 0 |
| Prurito | 10 | 2 | 0 | 15 | 2 | 0 | 6 | <1 | 0 |
| Bruciore | 3 | <1 | 0 | 8 | 2 | 0 | 2 | <1 | 0 |
| Pungente | 2 | <1 | 0 | 6 | 1 | 0 | 1 | <1 | 0 |
| *Mod. = Moderato |
Esperienza post -marketing
Poiché queste reazioni sono riportate volontariamente da una popolazione di dimensioni incerte, non è sempre possibile stimare in modo affidabile la loro frequenza o stabilire una relazione causale con l'esposizione ai farmaci.
L'anafilassi e le reazioni allergiche che portano a ricoveri sono state riportate nell'uso post -marketing di prodotti contenenti clindamicina/perossido di benzoil.
Interazioni farmacologiche per Acanya Gel
Eritromicina
Il gel Acanya non deve essere utilizzato in combinazione con prodotti contenenti eritromicina topici o orali grazie al suo componente di clindamicina. Studi in vitro hanno mostrato antagonismo tra eritromicina e clindamicina. Il significato clinico di questo antagonismo in vitro non è noto.
Agenti bloccanti neuromuscolari
È stato dimostrato che la clindamicina ha proprietà di blocco neuromuscolare che possono migliorare l'azione di altri agenti bloccanti neuromuscolari. Pertanto, Acanya Gel dovrebbe essere usato con cautela nei pazienti che ricevono tali agenti.
Avvertimenti per Acanya Gel
Incluso come parte del PRECAUZIONI sezione.
Precauzioni per Acanya Gel
Colite
L'assorbimento sistemico della clindamicina è stato dimostrato dopo l'uso topico della clindamicina. Diarrea sanguinante diarrea e colite (compresa la colite pseudomembrana) sono stati riportati con l'uso di clindamicina topica e sistemica. Quando si verifica una diarrea significativa, il gel Acanya dovrebbe essere sospeso.
Acuto colitis has occurred following oral and parenteral administration of clindamycin with an onset of up to several weeks following cessation of therapy. Antiperistaltic agents such as opiates and diphenoxylate with atropine may prolong and/or worsen severe colitis. Acuto colitis may result in death.
Gli studi indicano che le tossine prodotte dal Clostridia sono una causa primaria di colite associata agli antibiotici. La colite è generalmente caratterizzata da grave diarrea persistente e crampi addominali gravi e può essere associata al passaggio del sangue e del muco. Culture di feci per Clostridium difficile e saggio di feci per C. difficile La tossina può essere utile diagnosticamente.
Luce ultravioletta e esposizione ambientale
Ridurre al minimo l'esposizione al sole, incluso l'uso di letti abbronzanti o lampade da sole a seguito dell'applicazione del farmaco.
Farmaci topici concomitanti
La terapia di acne topica concomitante deve essere utilizzata con cautela poiché può verificarsi un possibile effetto di irritanza cumulativa, specialmente con l'uso di agenti desquamating o abrasivi peeling. Se l'irritalità o la dermatite si verificano ridurre la frequenza dell'applicazione o interrompere temporaneamente il trattamento e riprendere una volta che l'irritazione si attenua. Il trattamento deve essere sospeso se l'irritazione persiste.
Posso prendere Sudafed con Benadryl
Informazioni sulla consulenza del paziente
Consiglia al paziente di leggere l'etichettatura del paziente approvata dalla FDA (informazioni sul paziente).
- I pazienti che sviluppano reazioni allergiche come grave gonfiore o mancanza di respiro dovrebbero interrompere l'uso e contattare immediatamente il proprio medico.
- Il gel Acanya può causare irritazione come il prurito o la combustione dell'eritema, specialmente se usato in combinazione con altre terapie di acne topiche.
- L'esposizione eccessiva o prolungata alla luce solare dovrebbe essere limitata. Per ridurre al minimo l'esposizione alla luce solare, è necessario indossare un cappello o altri vestiti. La protezione solare può anche essere utilizzata.
- Il gel Acanya può sbiancare i capelli o il tessuto colorato.
Tossicologia non clinica
Mutagenesi della carcinogenesi compromissione della fertilità
La mutagenicità della cancerogenicità e la compromissione dei test di fertilità del gel Acanya non sono stati eseguiti.
Perossido di benzoil has been shown to be a tumor promoter and progression agent in a number of animal studies. Perossido di benzoil in acetone at doses of 5 and 10 mg administered topically twice per week for 20 weeks induced skin tumors in transgenic Tg.AC mice. The clinical significance of this is unknown.
Studi di cancerogenicità sono stati condotti con una formulazione di gel contenente 1% di clindamicina e perossido di benzoil al 5%. In uno studio di cancerogenicità dermica di 2 anni nel trattamento dei topi con la formulazione del gel a dosi di 900 2700 e 15000 mg/kg/giorno (NULL,8 5,4 e 30 volte l'MRHD per la clindemicina e 3,6 10,8 e 60 volte l'MRHD per il perossido di benzoilico basato rispettivamente basato su confronti di BSA) non ha causato aumento nei tumori. Tuttavia, il trattamento topico con una diversa formulazione in gel contenente clindamicina all'1% e perossido di benzoile al 5% a dosi di 100 500 e 2000 mg/kg/giorno ha causato un aumento dose-dipendente nell'incidenza del cheratoacantoma nel sito cutaneo trattato dei ratti maschi in un studio di carcinogenicità dermale di 2 anni nei ratti. In uno studio di cancerogenicità orale (Gavage) nel trattamento dei ratti con la formulazione del gel a dosi di 300 900 900 e 3000 mg/kg/giorno (1.2 3,6 e 12 volte il MRHD per la clindamicina e 2,4 7,2 e 24 volte il MRHD per il perossido di benzoyl rispettivamente basato sui confronti BSA) per 97 settimane non hanno causato un aumento del tumori.
Clindamicina fosfato was not genotoxic in the human lymphocyte chromosome aberration assay. Perossido di benzoil has been found to cause DNA strand breaks in a variety of mammalian cell types to be mutagenic in S. typhimurium tests by some but not all investigators and to cause sister chromatid exchanges in Chinese hamster ovary cells.
Studi di fertilità non sono stati condotti con gel Acanya o perossido di benzoile, ma la fertilità e l'abilità di accoppiamento sono state studiate con clindamicina. Gli studi sulla fertilità nei ratti trattati per via orale con fino a 300 mg/kg/giorno di clindamicina (circa 120 volte l'MRHD per la clindamicina in base ai confronti di BSA) non hanno rivelato effetti sulla fertilità o sulla capacità di accoppiamento.
Utilizzare in popolazioni specifiche
Gravidanza
Riepilogo del rischio
Non ci sono dati disponibili sull'uso di gel Acanya nelle donne in gravidanza per valutare un rischio associato al farmaco di gravi difetti alla nascita abortificazione o esiti avversi materni o fetali. I dati pubblicati limitati sull'uso della clindamicina nelle donne in gravidanza con esposizione durante il primo trimestre non sono sufficienti per informare un rischio associato al farmaco di esiti avversi legati alla gravidanza (vedi Dati ). In studi clinici pubblicati limitati con donne in gravidanza, la somministrazione sistemica di clindamicina durante il secondo e il terzo trimestre non è stata associata ad una maggiore frequenza dei principali difetti alla nascita.
Negli studi sulla riproduzione degli animali la clindamicina non ha causato malformazioni o tossicità per lo sviluppo dell'embrione nei ratti e nei topi in gravidanza quando somministrata durante il periodo di organogenesi a dosi sistemiche fino a 240 volte la dose umana consigliata massima (MRHD) di 2,5 g di gel Acanya basato su area di superficie corporea (BSA) comparati (vedi Dati ).
Il rischio di background stimato di principali difetti alla nascita e aborto spontaneo per la popolazione indicata non è noto. Tutte le gravidanze hanno un rischio di fondo di importanti difetti alla nascita e altri risultati avversi. Nella popolazione generale degli Stati Uniti il rischio di background stimato di importanti difetti alla nascita e aborto spontaneo nelle gravidanze clinicamente riconosciute è rispettivamente del 24% e del 15-20%.
Dati
Dati umani
In prove pubblicate limitate su donne in gravidanza somministrate clindamicina durante il primo trimestre di gravidanza non vi era alcuna differenza nel tasso di principali difetti alla nascita riportati tra i neonati esposti in utero rispetto ai neonati non esposti. Questi dati non possono sicuramente stabilire o escludere alcun rischio associato alla clindamicina durante la gravidanza.
Dati sugli animali
Studi di tossicità riproduttiva/sviluppo degli animali non sono stati condotti con gel Acanya o perossido di benzoile. Studi sulla tossicità dello sviluppo della clindamicina condotti in ratti in gravidanza e topi somministrati durante il periodo di organogenesi a dosi orali fino a 600 mg/kg/giorno (240 e 120 volte l'MRHD per i confronti BSA) basati su BSA basati su BSA) Confronti) non hanno rivelato malformazioni o tossicità per lo sviluppo dell'embrione.
Lattazione
Riepilogo del rischio
Non ci sono dati sulla presenza di clindamicina o perossido di benzoile nel latte umano Gli effetti sul bambino allattato al seno o sugli effetti sulla produzione di latte dopo la somministrazione topica. Tuttavia, è stato segnalato che la clindamicina è presente nel latte materno in piccole quantità dopo la somministrazione orale e parenterale. I benefici per lo sviluppo e la salute dell'allattamento dovrebbero essere considerati insieme alla necessità clinica della madre di Acanya Gel e a potenziali effetti avversi sul bambino allattato al seno dal gel Acanya o dalla condizione materna sottostante.
Considerazioni cliniche
Se utilizzato durante l'allattamento e il gel Acanya viene applicato alla cura del torace per evitare l'ingestione accidentale da parte del bambino.
Uso pediatrico
La sicurezza e l'efficacia del gel Acanya nei pazienti pediatrici di età inferiore ai 12 anni non sono state valutate.
Come usare la nistatina per il mughetto
Uso geriatrico
Gli studi clinici di Acanya Gel non includevano un numero sufficiente di soggetti di età pari o superiore a 65 anni per determinare se rispondono in modo diverso dai soggetti più giovani.
Informazioni per overdose per Acanya Gel
Nessuna informazione fornita
Controindicazioni per Acanya Gel
Ipersensibilità
Il gel di Acanya è controindicato in quegli individui che hanno mostrato ipersensibilità al perossido di benzoil di clindamicina eventuali componenti della formulazione o della linomicina. L'anafilassi e le reazioni allergiche che portano al ricovero sono state riportate in uso post -marketing con Acanya Gel [vedi Esperienza post -marketing ].
Colite/Enteritis
Il gel di Acanya è controindicato nei pazienti con una storia di colite ulcerosa regionale di enterite o colite associata agli antibiotici [vedi Avvertimenti e precauzioni ].
Farmacologia clinica for Acanya Gel
Meccanismi d'azione
Clindamicina
Clindamicina is a lincosamide antibacterial [see Microbiologia ].
Perossido di benzoil
Perossido di benzoil is an oxidizing agent with bactericidal and keratolytic effects but the precise mechanism of action is unknown.
Farmacocinetica
L'assorbimento sistemico della clindamicina è stato studiato in una sperimentazione a dosi multipla in aperto in 16 soggetti adulti con acne vulgaris da moderata a grave trattata con 1 grammo di gel di acanya applicato sul viso una volta al giorno per 30 giorni. Dodici soggetti (75%) avevano almeno una concentrazione plasmatica quantificabile di clindamicina al di sopra del limite inferiore di quantificazione (LOQ = 0,5 ng/ml) il giorno 1 o il giorno 30. Il giorno 1 La media (± deviazione standard) era una concentrazione plasmatica (cMax) era 0,78 ± 0,22 ng/ml (n = 9 con concentrazione standard) e la concentrazione media di Auc0-a h.ng/ml (n = 4). Il giorno 30 il CMAX medio era di 1,22 ± 0,88 ng/mL (n = 10) e l'AUC0-T medio era 8,42 ± 6,01 H.NG/ML (n = 6). Le concentrazioni plasmatiche di clindamicina erano al di sotto di LOQ in tutti i soggetti a 24 ore dopo la dose nei tre giorni testati (giorno 1 15 e 30).
Perossido di benzoil has been shown to be absorbed by the skin where it is converted to benzoic acid.
Microbiologia
Clindamicina binds to the 50S ribosomal subunits of susceptible bacteria and prevents elongation of peptide chains by interfering with peptidyl transfer thereby suppressing bacterial protein synthesis.
Clindamicina and benzoyl peroxide individually have been shown to have in vitro activity against Propionibacterium acnes un organismo che è stato associato all'acne vulgaris; Tuttavia il significato clinico di questa attività contro P. Acnes non è noto.
P. Acnes La resistenza alla clindamicina è stata documentata. La resistenza alla clindamicina è spesso associata alla resistenza all'eritromicina.
Studi clinici
La sicurezza e l'efficacia dell'uso un tempo quotidiano di Acanya Gel sono state valutate in due studi in cieco randomizzati multicentrici di 12 settimane in soggetti di età pari o superiore a 12 anni con acne vulgaris da moderata a grave. Le due prove erano identiche nel design e confrontavano il gel Acanya con la clindamicina nel perossido di benzoil gel del veicolo nel gel del veicolo e solo nel gel del veicolo.
Le variabili di efficacia co-primaria erano:
- Modifica assoluta media rispetto al basale alla settimana 12 in:
- Conta lesioni infiammatorie
- Conti di lesione non infiammatoria
- Percentuale dei soggetti che hanno avuto un miglioramento di 2 gradi rispetto al punteggio di base della gravità globale (EGS) di un valutatore.
La scala di punteggio EGS utilizzata in tutti gli studi clinici per Acanya Gel è la seguente:
| Grado | Descrizione |
| Chiaro | Pelle chiara normale senza evidenza di acne vulgaris |
| Quasi chiaro | Le lesioni rare non infiammatorie presenti con rare papule non flamed (le papule devono essere risolte e possono essere iperpigmentate sebbene non rosse rosa) |
| Blando | Alcune lesioni non infiammatorie sono presenti con poche lesioni infiammatorie (solo papule/pustole; nessuna lesione nodulocistica) |
| Moderare | Le lesioni non infiammatorie predominano con lesioni infiammatorie multiple evidenti: diverse a molti comici e papule/pustole e potrebbero esserci o meno una piccola lesione nodulocistica |
| Acuto | Le lesioni infiammatorie sono più evidenti molti comici e papule/pustole potrebbero esserci o meno alcune lesioni nodulocistiche |
| Molto grave | Lesioni altamente infiammatorie predominano il numero variabile di comici molte papule/pustole e molte lesioni nodulocistiche |
I risultati della prova 1 alla settimana 12 sono presentati nella Tabella 2:
Tabella 2: risultati di prova 1
| Prova 1 | Vieni in Acania N = 399 | Clindamicina Gel N = 408 | Perossido di benzoil Gel N = 406 | Gel del veicolo N = 201 |
| EGSS chiaro o quasi chiaro | 115 (29%) | 84 (21%) | 76 (19%) | 29 (14%) |
| Riduzione di livello di livello dal basale | 131 (33%) | 100 (25%) | 96 (24%) | 38 (19%) |
| Lesioni infiammatorie: | ||||
| Medio cambiamento assoluto | 14.8 | 12.2 | 13.0 | 9.0 |
| Percentuale media (%) riduzione | 55,0% | 47,1% | 49,3% | 34,5% |
| Lesioni non infiammatorie: | ||||
| Medio cambiamento assoluto | 22.1 | 17.9 | 20.6 | 13.2 |
| Percentuale media (%) riduzione | 45,3% | 38,0% | 40,2% | 28,6% |
I risultati della prova 2 alla settimana 12 sono presentati nella Tabella 3:
Tabella 3: risultati della prova 2
| Prova 2 | Vieni in Acania N = 398 | Clindamicina Gel N = 404 | Perossido di benzoil Gel N = 403 | Gel del veicolo N = 194 |
| EGSS chiaro o quasi chiaro | 113 (28%) | 94 (23%) | 94 (23%) | 21 (11%) |
| Riduzione di livello di livello dal basale | 147 (37%) | 114 (28%) | 114 (28%) | 27 (14%) |
| Lesioni infiammatorie: | ||||
| Medio cambiamento assoluto | 13.7 | 11.3 | 11.2 | 5.7 |
| Percentuale media (%) riduzione | 54,2% | 45,3% | 45,7% | 23,3% |
| Lesioni non infiammatorie: | ||||
| Medio cambiamento assoluto | 19.0 | 14.9 | 15.2 | 8.3 |
| Percentuale media (%) riduzione | 41,2% | 34,3% | 34,5% | 19,2% |
Informazioni sul paziente per Acanya Gel
Il ®
(Ah-can'-yah)
(clindamicina fosfato e perossido di benzoile) gel 1,2%/2,5%
Informazioni importanti: il gel Acanya è da utilizzare solo sulla pelle (uso topico). Non usare il gel Acanya nei tuoi occhi o vagina.
Cos'è Acanya Gel?
Vieni in Acania is a prescription medicine used on the skin (topical) to treat acne vulgaris in people 12 years of age and older.
Non è noto se il gel Acanya è sicuro ed efficace per l'uso più di 12 settimane.
Non è noto se Acanya Gel è sicuro ed efficace nei bambini di età inferiore ai 12 anni.
Non usare il gel Acanya se hai:
- ha avuto una reazione allergica alla linomicina perossido di benzoile di clindamicina o uno qualsiasi degli ingredienti in Acanya Gel. Vedi la fine di questo opuscolo per un elenco completo di ingredienti nel gel Acanya.
- Malattia di Crohn o colite ulcerosa.
- aveva infiammazione del colon (colite) o una diarrea grave con uso antibiotico passato. Parla con il tuo medico se non sei sicuro di avere una qualsiasi delle condizioni sopra elencate.
Prima di usare Acanya Gel racconta al tuo medico di tutte le tue condizioni mediche, incluso se tu:
- Pianifica di sottoporsi a un intervento chirurgico. Il gel Acanya può influire su come funzionano alcuni medicinali che possono essere somministrati durante
- chirurgia.
- sono incinta o prevedono di rimanere incinta. Non è noto se Acanya Gel danneggerà il tuo bambino non ancora nato.
- stanno allattando o pianificano di allattare. Non è noto se il gel Acanya passa nel latte materno. È stato segnalato che la clindamicina quando viene presa in bocca o per iniezione appare nel latte materno. Parla con il tuo medico del modo migliore per nutrire il tuo bambino durante il trattamento con Acanya Gel.
Racconta al tuo medico di tutte le medicine che prendi tra cui prescrizione e medicine da banco vitamine e integratori a base di erbe. Il gel Acanya può influire sul modo in cui altri medicinali funzionano e altri medicinali possono influenzare il funzionamento del gel Acanya.
- In particolare, racconta al tuo medico se prendi medicine per bocca che contiene eritromicina o usi prodotti sulla pelle che contengono eritromicina. Il gel Acanya non deve essere utilizzato con prodotti che contengono eritromicina.
- Racconta al tuo medico qualsiasi prodotto per la pelle che usi. Altri prodotti per la pelle e l'acne topico possono aumentare l'irritazione della pelle quando utilizzati con il gel Acanya.
Conosci le medicine che prendi. Tienilo un elenco e mostralo al tuo medico e al farmacista quando ottieni un nuovo medicinale.
Come dovrei usare Acanya Gel?
- Usa Acanya Gel esattamente come il tuo medico ti dice di usarlo. Vedere le istruzioni dettagliate per l'uso per le indicazioni su come applicare il gel Acanya.
- Il tuo medico ti dirà per quanto tempo usare il gel Acanya.
- Applica il gel Acanya sul viso 1 volta ogni giorno.
Cosa dovrei evitare durante l'utilizzo di Acanya Gel?
- Limita il tuo tempo alla luce solare. Dovresti evitare di usare letti abbronzanti o elamp durante il trattamento con gel Acanya. Se devi essere alla luce del sole, indossare un cappello a tesa larga o altri vestiti protettivi e utilizzare la protezione solare per coprire le aree trattate.
- Evita di ottenere gel Acanya tra i capelli o su tessuto colorato. Il gel Acanya può sbiancare i capelli o il tessuto colorato.
Quali sono i possibili effetti collaterali di Acanya Gel?
Vieni in Acania can cause serious side effects including:
- Infiammazione del colon (colite). Smetti di usare il gel Acanya e chiama subito il medico se si dispone di crampi (addominali) gravi (addominali) crampi acquosi o diarrea sanguinante durante il trattamento e entro diverse settimane dal trattamento con Acanya Gel.
- Reazioni allergiche. Smetti di usare Acanya Gel chiama il medico e ottieni subito aiuto se hai uno dei seguenti sintomi durante il trattamento con Acanya Gel:
- Grave prurito
- gonfiore degli occhi del viso labbra o gola
- difficoltà a respirare
Gli effetti collaterali più comuni di Acanya Gel includono SITO APPLICAZIONE DOIN SITO Irritazione del sito Applicazione, incluso arrossamento e bruciore. Smetti di usare Acanya Gel e chiama il medico se hai un'eruzione cutanea o la pelle diventa prurito molto rosso o gonfio. Parla con il tuo medico di qualsiasi effetto collaterale che ti disturba o che non scompare.
Questi non sono tutti i possibili effetti collaterali con Acanya Gel.
Chiama il medico per consigli medici sugli effetti collaterali. È possibile segnalare gli effetti collaterali alla FDA al numero 1-800-FDA-1088.
Come dovrei conservare Acanya Gel?
- Conservare il gel Acanya a temperatura ambiente a 25 ° C (inferiore a 77 ° F).
- Non congelare il gel Acanya.
- Buttare via (scartare) gel Acanya che ha superato la data di scadenza.
- Conservare la pompa in posizione verticale.
- Mantieni il contenitore strettamente chiuso.
Tieni Acanya Gel e tutti i medicinali fuori dalla portata dei bambini.
Informazioni generali sull'uso sicuro ed efficace del gel Acanya.
Le medicine sono talvolta prescritte a fini diversi da quelli elencati in un volantino delle informazioni del paziente. Non utilizzare Acanya Gel per una condizione per la quale non è stato prescritto. Non dare Acanya Gel ad altre persone anche se hanno le stesse condizioni che hai. Potrebbe danneggiare loro. Puoi anche chiedere al tuo medico o al farmacista informazioni sul gel Acanya che è scritto per gli operatori sanitari.
Quali sono gli ingredienti di Acanya Gel?
Ingredienti attivi: clindamicina fosfato e perossido di benzoile
Ingredienti inattivi: Carbomero dell'acqua purificato 980 glicole propilenico e idrossido di potassio
Istruzioni per l'uso
Il ®
(Ah-can'-yah) (clindamicina fosfato e perossido di benzoile) gel 1,2%/2,5%
Informazioni importanti: il gel Acanya è da utilizzare solo sulla pelle (uso topico). Il gel Acanya non è da utilizzare negli occhi o nella vagina.
Leggi queste istruzioni da utilizzare prima di iniziare a utilizzare Acanya Gel e ogni volta che ottieni una ricarica. Potrebbero esserci nuove informazioni. Queste informazioni non prendono il posto di parlare con il proprio medico delle condizioni mediche o del trattamento.
- Applicare Acanya Gel sul viso 1 volta ogni giorno come prescritto.
- Prima di applicare il gel Acanya Lava il viso delicatamente con un risciacquo in sapone lieto con acqua calda e asciuga la pelle.
- Per applicare il gel Acanya sul viso usa la pompa per dispensare una quantità di gel Acanya a grandezza di piselli sulla punta. Vedi Figura 1.
- Una quantità di gel Acanya a grandezza naturale dovrebbe essere sufficiente per coprire l'intero viso.
Figura 1
|
- Punta l'unica quantità di gel di Acanya di dimensioni piselli su sei aree del viso (Chin Sink Cheek Right Cheek Naso Sinistra Fronta destra destra). Vedi Figura 2.
Figura 2
|
- Distribuire il gel sul viso e strofinarlo delicatamente. È importante diffondere il gel su tutto il viso. Se il tuo medico ti dice di mettere in gel Acanya su altre aree della pelle con acne, assicurati di chiedere quanto dovresti usare.
- Lavati le mani con acqua e sapone dopo aver applicato il gel Acanya.
Come dovrei conservare Acanya Gel?
- Conservare il gel Acanya a temperatura ambiente a 25 ° C (inferiore a 77 ° F).
- Non congelare il gel Acanya.
- Buttare via (scartare) gel Acanya che ha superato la data di scadenza.
- Conservare la pompa in posizione verticale.
- Mantieni il contenitore strettamente chiuso.
Tieni Acanya Gel e tutti i medicinali fuori dalla portata dei bambini.
Le informazioni e le istruzioni del paziente per l'uso sono state approvate dalla Food and Drug Administration degli Stati Uniti.