Le Informazioni Presenti Sul Sito Non Costituiscono Consulenza Medica. Non Vendiamo Nulla. L'Accuratezza Della Traduzione Non È Garantita. Disclaimer
HIV, combinazioni d'arte
Lo trovo
Riepilogo della droga
Cos'è Truvada?
Truvada (emtricitabina/tenofovir disoproxil fumarate) è una combinazione di antivirale farmaci usati per curare HIV che provoca sindrome da immunodeficienza acquisita (AIDS). Truvada non è una cura per l'HIV o l'AIDS.
Quali sono gli effetti collaterali di Truvada?
Gli effetti collaterali comuni di Truvada includono:
- nausea
- vomito
- dolori di stomaco
- diarrea
- mal di testa
- vertigini
- depressione
- Dolore articolare
- difficoltà a dormire
- Strani sogni
- mal di schiena
- prurito o eruzione cutanea
- Cambiamenti nel colore della pelle sui palmi o in suole dei piedi o
- Cambiamenti nella forma o nella posizione del grasso corporeo (specialmente nelle braccia gambe sul collo del collo e la vita).
Dì al tuo medico se hai gravi effetti collaterali di Truvada, incluso:
- Cambiamenti mentali/dell'umore (come l'ansia da depressione)
- perdita di appetito
- dolore allo stomaco o addominale
- urina rosa o insanguinata o
- cambiamenti nella quantità di urina.
Lo trovo
- Dolore muscolare insolito
- difficoltà a respirare
- dolori di stomaco
- vomito
- frequenza cardiaca irregolare
- vertigini
- Sentirsi freddo
- Sentirsi molto debole o stanco
- febbre
- sudori notturni
- stanchezza
- dolori muscolari o articolari
- mal di gola
- vomito
- diarrea
- eruzione cutanea
- ghiandole gonfie al collo o all'inguine
- dolore osseo improvviso o insolito
- poca o nessuna minzione
- gonfiore ai piedi o alle caviglie
- sentirsi stanco o a corto di respiro
- nausea
- gonfiore intorno alla tua parte centrale
- Dolori di stomaco superiore
- perdita di appetito
- urina scura
- sgabelli color argilla e
- Ingialcare la pelle o gli occhi (ittero)
Cerca cure mediche o chiama il 911 contemporaneamente se hai i seguenti gravi effetti collaterali:
- Sintomi di occhiali gravi come la perdita di visione improvvisa del tunnel della visione sfocata Dolore alla visione o gonfiore o vedere aloni attorno alle luci;
- Sintomi cardiaci gravi come battiti cardiaci irregolari o martellanti veloci; svolazzando nel petto; fiato corto; e improvviso vertigini giuria o svenuta;
- Grave mal di testa confusione Il braccio del linguaggio bloccato o la debolezza delle gambe problemi perdite perdita di coordinamento sentendoti instabili muscoli molto rigidi ad alta febbre abbondante sudorazione o tremori.
Questo documento non contiene tutti i possibili effetti collaterali e altri possono verificarsi. Verificare con il tuo medico ulteriori informazioni sugli effetti collaterali.
Dosaggio per Truvada
La dose di Truvada per adulti e pazienti pediatrici di età pari o superiore a 12 anni con peso corporeo di 35 kg (77 libbre) o più è una compressa (200 mg di emtricitabina e 300 mg di fumarate disoproxil di tenofovir) una volta assunta ogni giorno prese al giorno con o senza cibo.
Quali sostanze o integratori di farmaci interagiscono con Truvada?
Truvada può interagire con il dolore al metotrexato di litio o artrite medicinali medicinali usati per prevenire il rigetto del trapianto di organi IV Antibiotici antivirali medicinali di cancro Medici dell'herpes farmaco citomegalovirus (CMV) o altri medicinali per l'HIV. Dì al medico tutti i farmaci e gli integratori che usi.
Truvada durante la gravidanza e l'allattamento
Durante la gravidanza Truvada dovrebbe essere usato solo quando prescritto. È normale prescrivere medicinali per l'HIV come Truvada per le donne in gravidanza con HIV. Ciò può ridurre il rischio di passare l'HIV al bambino. Truvada può far parte di quel trattamento. Consulta il tuo medico. Non è noto se Truvada passa nel latte materno. Poiché il latte materno può trasmettere l'HIV non allattare.
Ulteriori informazioni
Il nostro centro farmacologico Truvada (emtricitabine/tenofovir disoproxil fumarate) fornisce una visione completa delle informazioni disponibili sui farmaci, nonché gli articoli relativi agli utenti degli utenti di farmaci.
Informazioni sui farmaci FDA
- Descrizione del farmaco
- Indicazioni
- Effetti collaterali
- Interazioni farmacologiche
- Avvertimenti
- Overdose
- Farmacologia clinica
- Guida ai farmaci
AVVERTIMENTO
Post-trattamento esacerbazione acuta dell'epatite B e rischio di resistenza ai farmaci con l'uso di Truvada per la profilassi della preexposura dell'HIV-1 (PREP) nell'infezione all'HIV-1 precoce non diagnosticata
Le gravi esacerbazioni acute dell'epatite B (HBV) sono state riportate in individui infetti da HBV che hanno interrotto Truvada. La funzione epatica dovrebbe essere monitorata da vicino con il follow-up clinico e di laboratorio per almeno diversi mesi in individui infettati da HBV e interrompere Truvada. Se la terapia anti-epatite B è appropriata può essere giustificata [vedi AVVERTIMENTOS AND PRECAUTIONS )].
Truvada utilizzato per l'HIV-1 Prep deve essere prescritto solo alle persone confermate come HIV-negative immediatamente prima di iniziare e almeno ogni 3 mesi durante l'uso. Le varianti di HIV-1 resistenti ai farmaci sono state identificate con l'uso di Truvada per la preparazione all'HIV-1 a seguito di un'infezione acuta non rilevata per l'HIV-1. Non iniziare Truvada per la preparazione all'HIV-1 se sono presenti segni o sintomi dell'infezione da HIV-1 acuta a meno che non sia confermato lo stato di infezione negativa [vedi AVVERTIMENTOS AND PRECAUTIONS ].
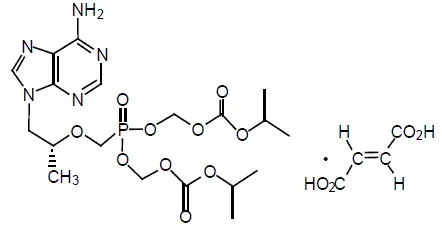
Descrizione per Truvada
Le compresse Truvada sono compresse di combinazione a dose fissa contenenti emtricitabina (FTC) e fumarate disoproxil (TDF). FTC è un analogo nucleosidico sintetico della citidina. TDF viene convertito in vivo a tenofovir un analogo di nucleoside aciclico fosfonato (nucleotide) di adenosina 5′-monofosfato.
Sia FTC che tenofovir mostrano attività inibitoria contro la trascrittasi inversa dell'HIV-1.
Emtricitabina
Il nome chimico di FTC è 5-fluoro-1- (2 R 5 S )-[2- (idrossimetil) -13-ossathiolan-5yl] citosina. FTC è l'enantiomero (-) di un analogo THIO di citidina che differisce dagli altri analoghi della citidina in quanto ha un fluoro nella posizione 5.
Ha una formula molecolare di C 8 H 10 Fn 3 O 3 S e un peso molecolare di 247,24. Ha la seguente formula strutturale:
|
La FTC è una polvere cristallina da bianco a bianco sporco con una solubilità di circa 112 mg/mL in acqua a 25 ° C. Il coefficiente di partizione (log P) per emtricitabina è -0,43 e la PKA è 2,65.
Tenofovir Disoproxil Fumarato
Il TDF è un sale acido fumarico del derivato bis-isopropossicarboniloximetil estere di tenofovir. Il nome chimico di Tenofovir DF è 9-[( R ) -2 [[bis [[(isopropossicarbonil) oxy]- metossi] fosfinil] metossi] propil] adenina fumarato (1: 1). Ha una formula molecolare di C 19 H 30 N 5 O 10 P • c 4 H 4 O 4 e un peso molecolare di 635,52. Ha la seguente formula strutturale:
|
Il fumarato di disoproxil tenofovir è una polvere cristallina bianca a bianca con una solubilità di 13,4 mg/mL in acqua a 25 ° C. Il coefficiente di partizione (log P) per il disoproxil tenofovir è 1,25 e il PKA è 3,75.
Tutti i dosaggi sono espressi in termini di TDF, tranne dove diversamente indicato.
Le compresse Truvada sono per la somministrazione orale e sono disponibili nei seguenti punti di forza:
- Tablet rivestito di film contenente 200 mg di FTC e 300 mg di TDF (che equivale a 245 mg di tenofovir Disoproxil) come ingredienti attivi
- Tablet rivestito di film contenente 167 mg di FTC e 250 mg di TDF (che equivale a 204 mg di tenofovir disoproxil) come ingredienti attivi
- Tablet rivestito di film contenente 133 mg di FTC e 200 mg di TDF (che equivale a 163 mg di tenofovir disoproxil) come ingredienti attivi
- Tablet rivestito di film contenente 100 mg di FTC e 150 mg di TDF (che equivale a 123 mg di tenofovir disoproxil) come ingredienti attivi
Tutti i punti di forza delle compresse di Truvada includono anche i seguenti ingredienti inattivi: croscarmellosio lattosio di sodio monoidosato monoidrato magnesio stearato cellulosa microcristallina e amido pregelatinizzato (senza glutine). Le compresse di resistenza da 200 mg/300 mg sono rivestite con Opadry II Blue Y-30-10701 che contiene FD
Usi per Truvada
Trattamento dell'infezione da HIV-1
Truvada è indicato in combinazione con altri agenti antiretrovirali per il trattamento dell'infezione da HIV-1 negli adulti e nei pazienti pediatrici che pesano almeno 17 kg [vedi Studi clinici ].
HIV-1 Pre-Exposure Prophylaxis (PrEP)
Truvada è indicato negli adulti e adolescenti a rischio che pesano almeno 35 kg per la profilassi pre-esposizione (PREP) per ridurre il rischio di infezione da HIV-1 acquisita sessualmente. Gli individui devono avere un test HIV-1 negativo immediatamente prima di iniziare Truvada per la preparazione all'HIV-1 [vedi Dosaggio e amministrazione AVVERTIMENTOS AND PRECAUTIONS ].
Dosaggio per Truvada
Test prima dell'inizio del trattamento Truvada F per l'infezione da HIV-1 o della preparazione all'HIV-1
Prima o quando iniziano gli individui Truvada per l'infezione da virus dell'epatite B [vedi AVVERTIMENTOS AND PRECAUTIONS ].
Prima dell'iniziazione e durante l'uso di Truvada su un programma clinicamente appropriato valutare la creatinina sierica di clearance della creatinina glucosio e proteina urinaria in tutti gli individui. Negli individui con malattia renale cronica valuta anche il fosforo sierico [vedi AVVERTIMENTOS AND PRECAUTIONS ].
HIV-1 Screening For Individuals Receiving Lo trovo For HIV-1 PrEP
Schermo tutti gli individui per l'infezione da HIV-1 immediatamente prima di iniziare Truvada per la preparazione all'HIV-1 e almeno una volta ogni 3 mesi durante l'assunzione di Truvada e dopo la diagnosi di qualsiasi altra infezione a trasmissione sessuale (IST) [vedi Indicazioni Controindicazioni E AVVERTIMENTOS AND PRECAUTIONS ].
Se recente ( <1 month) exposures to HIV-1 are suspected or clinical symptoms consistent with acute HIV-1 infection are present use a test approved or cleared by the FDA as an aid in the diagnosis of acute or primary HIV-1 infection [see AVVERTIMENTOS AND PRECAUTIONS Utilizzare in popolazioni specifiche E Studi clinici ].
Dosaggio raccomandato per il trattamento dell'infezione da HIV-1 negli adulti e nei pazienti pediatrici che pesano almeno 35 kg
Truvada è un prodotto di combinazione a dose fissa a due farmaci contenente emtricitabina (FTC) e fumarate disoproxil (TDF). Il dosaggio raccomandato di Truvada negli adulti e nei pazienti pediatrici che pesa almeno 35 kg è una compressa (contenente 200 mg di FTC e 300 mg di TDF) una volta preso al giorno presi per via orale con o senza cibo [vedi Farmacologia clinica ].
Dosaggio raccomandato per il trattamento dell'infezione da HIV-1 in pazienti pediatrici che pesano almeno 17 kg e in grado di ingoiare una compressa
Il dosaggio orale raccomandato di Truvada per i pazienti pediatrici che pesano almeno 17 kg e che può ingoiare una compressa è presentato nella Tabella 1. Le compresse devono essere prese una volta al giorno con o senza cibo. Il peso deve essere monitorato periodicamente e la dose di Truvada è stata regolata di conseguenza.
Tabella 1 Dosaggio per il trattamento dell'infezione da HIV-1 in pazienti pediatrici del peso di 17 kg a meno di 35 kg
| Peso corporeo (kg) | Dosaggio di Truvada (FTC/TDF) |
| 17 a meno di 22 | una compressa da 100 mg /150 mg una volta al giorno |
| 22 a meno di 28 | una compressa da 133 mg /200 mg una volta al giorno |
| 28 a meno di 35 | una compressa da 167 mg /250 mg una volta al giorno |
Dosaggio raccomandato per la preparazione dell'HIV-1 in adulti e adolescenti che pesano almeno 35 kg
Il dosaggio di Truvada per la preparazione all'HIV-1 è una compressa (contenente 200 mg di FTC e 300 mg di TDF) una volta assunto al giorno per orale con o senza cibo negli adulti e adolescenti non infetti dell'HIV-1 che pesa almeno 35 kg [vedi Farmacologia clinica ].
Adeguamento del dosaggio negli individui con compromissione renale
Trattamento dell'infezione da HIV-1
La tabella 2 fornisce una regolazione dell'intervallo di dosaggio per i pazienti con compromissione renale. Non è necessario alcun aggiustamento del dosaggio per i pazienti infetti da HIV-1 con lieve compromissione renale (clearance della creatinina 50–80 ml/min). La sicurezza e l'efficacia delle raccomandazioni di aggiustamento dell'intervallo di dosaggio nei pazienti con moderata compromissione renale (clearance della creatinina 30–49 ml/min) non sono state valutate clinicamente; Pertanto la risposta clinica al trattamento e alla funzione renale dovrebbe essere attentamente monitorata in questi pazienti [vedi AVVERTIMENTOS AND PRECAUTIONS ].
Non sono disponibili dati per formulare raccomandazioni di dosaggio in pazienti pediatrici con compromissione renale.
Tabella 2 Regolazione dell'intervallo di dosaggio per pazienti adulti infetti da HIV-1 con alterazione di creatinina alterata
| Clearance della creatinina (ml/min) a | |||
| ≥50 | 30–49 | <30 (Including PatientsRequiring Hemodialysis) | |
| Intervallo di dosaggio consigliato | Ogni 24 ore | Ogni 48 ore | Truvada non è raccomandato. |
| a . Calcolato usando il peso corporeo ideale (magro) |
HIV-1 PrEP
Truvada per la preparazione all'HIV-1 non è raccomandato in individui non infetti da HIV-1 con spazio di creatinina stimato inferiore a 60 ml/min [vedi AVVERTIMENTOS AND PRECAUTIONS ].
Se si osserva una diminuzione della clearance della creatinina stimata negli individui non infetti mentre si utilizza Truvada per la preparazione dell'HIV-1 valutare potenziali cause e rivalutare i potenziali rischi e i benefici dell'uso continuato [vedi AVVERTIMENTOS AND PRECAUTIONS ].
Come fornito
Forme di dosaggio e punti di forza
Lo trovo Le compresse sono disponibili in quattro punti di forza della dose.
- Compresse da 100 mg/150 mg: 100 mg di emtricitabina (FTC) e 150 mg di Tenofovir Disoproxil fumarate (TDF) (equivalente a 123 mg di Tenofovir Disoproxil): Debosse a forma di film a forma di ovale blu con GSI da un lato e con 703 dall'altra parte.
- 133 mg/200 mg compresse: 133 mg di FTC e 200 mg di TDF (equivalente a 163 mg di Tenofovir Disoproxil): film blu a forma di rettangolare rivestito con GSI su un lato e con 704 dall'altra parte.
- 167 mg/250 mg compresse: 167 mg di FTC e 250 mg di TDF (equivalente a 204 mg di Tenofovir Disoproxil): Blue Modified a forma di capsula a forma di capsula rivestita con GSI su un lato e con 705 dall'altra parte.
- Compresse da 200 mg/300 mg: 200 mg di FTC e 300 mg di TDF (equivalente a 245 mg di Tenofovir Disoproxil): pellicola a forma di capsula blu rivestita con gilead da un lato e con 701 dall'altro lato.
Archiviazione e maneggevolezza
Lo trovo Le compresse sono disponibili in bottiglie contenenti 30 tablet con chiusura resistente ai bambini come segue:
- 100 mg di FTC e 150 mg di TDF (equivalenti a 123 mg di tavolette Disoproxil Disoproxil) sono rivestiti a forma di ovale blu debossa con GSI su un lato e con 703 dall'altra parte ( Ndc 61958-0703-1).
- 133 mg di FTC e 200 mg di TDF (equivalenti a 163 mg di tavolette Disoproxil Disoproxil) sono rivestiti a forma di rettangolare blu debossato con GSI da un lato e con 704 dall'altra parte (dall'altra parte (dall'altra parte (dall'altra parte (dall'altra parte (dall'altra parte (dall'altra parte Ndc 61958-0704-1).
- 167 mg di FTC e 250 mg di TDF (equivalenti a 204 mg di tavolette Disoproxil Disoproxil) sono a forma di capsula blu modificata rivestita con GSI su GSI da un lato e con 705 dall'altra parte (dall'altra parte Ndc 61958-0705-1).
- 200 mg di FTC e 300 mg di TDF (equivalenti a 245 mg di tavolette Disoproxil Disoproxil) sono rivestiti a forma di capsula blu con rivestimento con Gilead da un lato e con 701 dall'altra parte ( Ndc 61958-0701-1).
Conservare le escursioni a 25 ° C (77 ° F) consentite a 15 ° C - 30 ° C (59 ° F - 86 ° F) (vedere la temperatura ambiente controllata da USP).
- Mantieni il contenitore strettamente chiuso.
- Dispensare solo nel contenitore originale.
Prodotto da: Gilead Sciences Inc. Foster City CA 94404. Revisionato: aprile 2024
Effetti collaterali for Truvada
Le seguenti reazioni avverse sono discusse in altre sezioni dell'etichettatura:
- Gravi esacerbazioni acute dell'epatite B nei pazienti con infezione da HBV [vedi AVVERTIMENTOS AND PRECAUTIONS ].
- Nuovo insorgenza o peggioramento della compromissione renale [vedi AVVERTIMENTOS AND PRECAUTIONS ].
- Sindrome di ricostituzione immunitaria [vedi AVVERTIMENTOS AND PRECAUTIONS ].
- Perdita ossea e difetti di mineralizzazione [vedi AVVERTIMENTOS AND PRECAUTIONS ].
- Acidosi lattica/epatomegalia grave con steatosi [vedi AVVERTIMENTOS AND PRECAUTIONS ].
Esperienza di studi clinici
Poiché gli studi clinici sono condotti in condizioni di reazione avverse ampiamente variabili osservate negli studi clinici di un farmaco non possono essere paragonati direttamente ai tassi negli studi clinici di un altro farmaco e potrebbero non riflettere i tassi osservati nella pratica.
Reazioni avverse da studi clinici Esperienza nei soggetti infetti da HIV-1
Studi clinici su soggetti adulti
Nello studio 934 511 soggetti antiretrovirali-naïve hanno ricevuto efavirenz (EFV) somministrato in combinazione con FTC TDF (n = 257) o zidovudina (AZT)/lamivudina (3TC) (n = 254) per 144 settimane. Le reazioni avverse più comuni (incidenza maggiore o uguale al 10% di tutti i gradi) includevano la affaticamento della diarrea affaticamento del mal di testa depressione inSomnia Insonnia Dreams ed eruzione cutanea. La tabella 3 fornisce le reazioni avverse emergenti dal trattamento (gradi 2-4) che si verificano in maggiore o uguale al 5% dei soggetti trattati in qualsiasi gruppo di trattamento.
Lo scolorimento della pelle manifestato dall'iperpigmentazione si è verificato nel 3% dei soggetti che assumevano il TDF FTC ed era generalmente lieve e asintomatico. Il meccanismo e il significato clinico sono sconosciuti.
Tabella 3 Reazioni avverse selezionate a (Gradi 2–4) riportati in ≥5% in qualsiasi gruppo di trattamento nello studio 934 (0-144 settimane)
| FTC TDF EFV b | It/3tc efv | |
| N = 257 | N = 254 | |
| Fatica | 9% | 8% |
| Depressione | 9% | 7% |
| Nausea | 9% | 7% |
| Diarrea | 9% | 5% |
| Vertigini | 8% | 7% |
| Infezioni del tratto respiratorio superiore | 8% | 5% |
| Sinusite | 8% | 4% |
| Evento erutto c | 7% | 9% |
| Mal di testa | 6% | 5% |
| Insonnia | 5% | 7% |
| Rinofaringngite | 5% | 3% |
| Vomito | 2% | 5% |
| UN. Le frequenze delle reazioni avverse si basano su tutti gli eventi avversi emergenti dal trattamento, indipendentemente dalla relazione con lo studio del farmaco. B. Dalle settimane da 96 a 144 dei soggetti del processo hanno ricevuto Truvada con Efavirenz al posto di FTC TDF con Efavirenz. C. L'evento erutto include eruzione cutanea eruttativa eruzione cutanea generalizzata generalizzata eruzione maculare maculo-papolare pruritica e cutanea vescicolare. |
Anomalie di laboratorio
Le anomalie di laboratorio osservate in questo studio erano generalmente coerenti con quelle osservate in altri studi di TDF e/o FTC (Tabella 4).
Tabella 4 Anomalie di laboratorio significative riportate in ≥1% dei soggetti in qualsiasi gruppo di trattamento nello studio 934 (0-144 settimane)
| FTC TDF EFV a | It/3tc efv | |
| N = 257 | N = 254 | |
| Qualsiasi anomalia di laboratorio di grado 3 | 30% | 26% |
| Colesterolo a digiuno (> 240 mg/dl) | 22% | 24% |
| Creatina chinasi (M:> 990 U/L) (F:> 845 U/L) | 9% | 7% |
| Siero amilasi (> 175 U/L) | 8% | 4% |
| Fosfatasi alcalina (> 550 U/L) | 1% | 0% |
| AST (M:> 180 U/L) (F:> 170 U/L) | 3% | 3% |
| TUTTO (M:> 215 U/L) (F:> 170 U/L) | 2% | 3% |
| Emoglobina ( <8.0 mg/dL) | 0% | 4% |
| Iperglicemia (> 250 mg/dl) | 2% | 1% |
| Ematuria (> 75 RBC/HPF) | 3% | 2% |
| Glicosuria (≥3) | <1% | 1% |
| Neutrofili ( <750/mm 3 ) | 3% | 5% |
| Trigliceridi a digiuno (> 750 mg/dl) | 4% | 2% |
| UN. Dalle settimane da 96 a 144 dei soggetti del processo hanno ricevuto Truvada con Efavirenz al posto di FTC TDF con Efavirenz. |
Studi clinici su soggetti pediatrici
Emtricitabina
Oltre alle reazioni avverse riportate nell'anemia degli adulti e l'iperpigmentazione sono state osservate rispettivamente nel 7% e nel 32% di soggetti pediatrici (da 3 mesi a meno di 18 anni) che hanno ricevuto un trattamento con FTC nel più grande di due studi pediatrici non controllati in aperto (n = 116).
Tenofovir Disoproxil Fumarato
Negli studi clinici pediatrici (studi 352 e 321) condotti in 184 soggetti infetti da HIV1 da 2 a meno di 18 anni le reazioni avverse osservate nei soggetti pediatrici che hanno ricevuto un trattamento con TDF erano coerenti con quelle osservate negli studi clinici di TDF negli adulti.
Nello studio 352 (da 2 a meno di 12 anni) 89 soggetti pediatrici hanno ricevuto TDF per un'esposizione mediana di 104 settimane. Di questi 4 soggetti si sono interrotti dallo studio a causa di reazioni avverse coerenti con la tubulopatia renale prossimale. Tre di questi 4 soggetti presentati con ipofosfatemia e hanno avuto diminuzioni nel punteggio zd z del corpo o della colonna vertebrale [vedi AVVERTIMENTOS AND PRECAUTIONS ]. Total body BMD gain at Week 48 was less in the TDF group compared to the stavudine (d4T) or zidovudine (AZT) treatment groups. The mean rate of BMD gain in lumbar spine was similar between treatment groups. One TDF-treated subject E none of the d4T-or AZT-treated subjects experienced significant (greater than 4%) lumbar spine BMD loss at Week 48. Changes from baseline in BMD Z-scores were −0.012 for lumbar spine E −0.338 for total body in the 64 subjects who were treated with TDF for 96 weeks.
Nello studio 321 (da 12 a meno di 18 anni) il tasso medio di guadagno della BMD alla settimana 48 era inferiore nel TDF rispetto al gruppo di trattamento placebo. Sei soggetti trattati con TDF e un soggetto trattato con placebo avevano una perdita di BMD della colonna lombare significativa (maggiore del 4%) alla settimana 48. I cambiamenti dai punteggi Z BMD basali sono stati di -0,341 per la colonna lombare e -0,458 per il corpo totale nei 28 soggetti che sono stati trattati con TDF per 96 settimane.
In entrambi gli studi la crescita scheletrica (altezza) sembrava non interessata.
Reazioni avverse dall'esperienza di sperimentazione clinica in soggetti non infetti che assumono Truvada per HIV-1 Prep
Studi clinici su soggetti adulti
Il profilo di sicurezza di Truvada per la preparazione all'HIV-1 era paragonabile a quello osservato negli studi clinici di soggetti infetti da HIV basati su due studi clinici randomizzati controllati con placebo (IPREX Partners Prep) in cui 2830 adulti non infetti dell'HIV-1 hanno ricevuto Truvada una volta al giorno per la preparazione all'HIV-1. I soggetti sono stati seguiti per una mediana rispettivamente di 71 settimane e 87 settimane. La tabella 5 fornisce un elenco di eventi avversi selezionati che si sono verificati nel 2% o più di soggetti in qualsiasi gruppo di trattamento nella sperimentazione Iprex con un'incidenza maggiore del placebo.
Tabella 5 Eventi avversi selezionati (tutti i gradi) riportati in ≥2% in qualsiasi gruppo di trattamento nello studio IPREX e maggiore del placebo
| FTC/TDF (N = 1251) | Placebo (N = 1248) | |
| Mal di testa | 7% | 6% |
| Dolore addominale | 4% | 2% |
| Il peso è diminuito | 3% | 2% |
Nella sperimentazione di preparazione dei partner la frequenza degli eventi avversi nel gruppo di trattamento di Truvada era generalmente inferiore o uguale al gruppo placebo.
Anomalie di laboratorio
La tabella 6 fornisce un elenco di anomalie di laboratorio di grado 2-4 osservate negli studi di preparazione di Iprex e partner. Sei soggetti nei bracci contenenti TDF del processo di preparazione dei partner sono interrotti dal processo a causa di un aumento della creatinina sierica rispetto a non interruzioni nel gruppo placebo. Un soggetto nel braccio di Truvada della sperimentazione Iprex ha interrotto dal processo a causa di un aumento della creatinina sierica e un altro soggetto ha interrotto a causa di un basso fosforo sierico. I gradi 2-3 proteinuria (2-4) e/o glicosuria (3) si sono verificati in meno dell'1% dei soggetti trattati con Truvada nello studio Iprex e nella sperimentazione di preparazione dei partner.
Tabella 6 Anomalie di laboratorio (più alto grado di tossicità riportate per ciascun soggetto) nello studio IPrex e nella sperimentazione dei partner Prep
| Grado 2-4 a | Prova Iprex | Partners Prep Trial | ||
| FTC/TDF (N = 1251) | Placebo (N = 1248) | FTC/TDF (N=1579) | Placebo (N=1584) | |
| Creatinina (> 1,4 × ULN) | <1% | <1% | <1% | <1% |
| Fosforo ( <2.0 mg/dL) | 10% | 8% | 9% | 9% |
| Branch (> 2,6 × Uln) | 5% | 5% | <1% | <1% |
| Tutto (> 2,6 × ULN) | 7% | 7% | <1% | <1% |
| Emoglobina ( <9.4 mg/dL) | 1% | 2% | 2% | 2% |
| Neutrofili ( <750/mm 3 ) | <1% | <1% | 5% | 3% |
| UN. La classificazione è per criteri Daids. |
Cambiamenti nella densità minerale ossea
Negli studi clinici sugli individui non infetti da HIV-1 sono state osservate diminuzioni della BMD. Nella sperimentazione Iprex un sottostudio di 503 soggetti ha riscontrato cambiamenti medi rispetto al basale nella BMD che vanno da –0,4% al -1,0% attraverso il collo del femorale della colonna d'anca totale e il trocantere nel gruppo Truvada rispetto al gruppo placebo che è tornato verso la base dopo l'interruzione del trattamento. Il tredici percento dei soggetti trattati con Truvada contro il 6% dei soggetti trattati con placebo hanno perso almeno il 5% della BMD alla colonna vertebrale durante il trattamento. Le fratture ossee sono state riportate nell'1,7% del gruppo Truvada rispetto all'1,4% nel gruppo placebo. Non è stata osservata alcuna correlazione tra BMD e fratture [vedi Studi clinici ]. The Partners Prep trial found similar fracture rates between the treatment E placebo groups (0.8% E 0.6% respectively); no BMD evaluations were performed in this trial [see Studi clinici ].
Studi clinici su soggetti adolescenti
In una sperimentazione clinica in aperto singolo a bracciale (ATN113) in cui 67 uomini adolescenti non infetti dell'HIV-1 (15-18 anni) che hanno fatto sesso con uomini hanno ricevuto Truvada una volta al giorno per la preparazione dell'HIV-1 il profilo di sicurezza di Truvada era simile a quello osservato negli adulti. La durata mediana all'esposizione di Truvada è stata di 47 settimane [vedi Utilizzare in popolazioni specifiche ].
Nella prova ATN113 BMD mediana è aumentato dal basale alla settimana 48 2,58% per la colonna lombare e 0,72% per il corpo totale. Un soggetto aveva una perdita di BMD del corpo totale significativa (maggiore o uguale al 4%) alla settimana 24. Le variazioni mediane dai punteggi Z BMD basali erano 0,0 per la colonna lombare e -0,2 per il corpo totale alla settimana 48. Tre soggetti hanno mostrato un peggioramento (Changing da parte di questi. Il basso tasso di aderenza a Truvada entro la settimana 48.
Esperienza post -marketing
Le seguenti reazioni avverse sono state identificate durante l'uso post -approvazione del TDF. Non sono state identificate reazioni avverse aggiuntive durante l'uso post -approvazione di FTC. Poiché le reazioni post -marketing sono riportate volontariamente da una popolazione di dimensioni incerte, non è sempre possibile stimare in modo affidabile la loro frequenza o stabilire una relazione causale con l'esposizione ai farmaci.
Disturbi del sistema immunitario
Reazione allergica incluso l'angiedema
Metabolismo e disturbi nutrizionali
acidosi lattica ipofosfatemia ipofosfatemia
Disturbi toracici e mediastinali respiratori
Dispnea
Disturbi gastrointestinali
pancreatite ha aumentato il dolore addominale dell'amilasi
Disturbi epatobiliari
Epatite epatica Epatite aumentata gli enzimi epatici (più comunemente AST Alt Gamma GT)
Disturbi della pelle e dei tessuti sottocutanei
eruzione cutanea
Disturbi del tessuto muscoloscheletrico e connettivo
rabdomiolisi osteomalacia (manifestata come dolore osseo e che può contribuire alle fratture) Miopatia di debolezza muscolare
Disturbi renali e urinari
insufficienza renale acuta insufficienza renale Necrosi tubulare acuta sindrome della tubulopatia renale prossimale Nefrite interstiziale (compresi i casi acuti) Diabete nefrogenico Insipido Insufficienza renale Aumenta la creatinina proteinuria poliuria
Disturbi generali e condizioni del sito di amministrazione
Astenia
Le seguenti reazioni avverse elencate sotto le intestazioni del sistema corporeo sopra possono verificarsi come conseguenza della tubulopatia renale prossimale: la rabdomiolisi osteomalacia ipokalemia di debolezza muscolare Ipofosfatemia.
Interazioni farmacologiche for Truvada
Farmaci che colpiscono la funzione renale
FTC e tenofovir sono principalmente escreti dai reni da una combinazione di filtrazione glomerulare e secrezione tubulare attiva [vedi Farmacologia clinica ]. No drug-drug interactions due to competition for renal excretion have been observed; however coadministration of Lo trovo with drugs that are eliminated by active tubular secretion may increase concentrations of Ftc tenofovir E/or the coadministered drug. Some examples include but are not limited to acyclovir adSeovir dipivoxil cidofovir ganciclovir valacyclovir valganciclovir aminoglycosides (e.g. gentamicin) E high-dose or multiple NSAIDs [see AVVERTIMENTOS AND PRECAUTIONS ]. Drugs that decrease renal function may increase concentrations of Ftc E/or tenofovir.
Interazioni stabilite e significative
La tabella 7 fornisce un elenco di interazioni farmacologiche consolidate o clinicamente significative. Le interazioni farmacologiche descritte si basano su studi condotti con Truvada i componenti di Truvada (FTC e TDF) come singoli agenti e/o in combinazione o sono interazioni farmacologiche previste che possono verificarsi con Truvada [vedi Farmacologia clinica ].
Tabella 7 stabilita e significativa a Interazioni farmacologiche: Alteration in Dose or Rper esempioimen May Be Recommended Based on Drug Interaction Provas
| Classe di droga concomitante: nome del farmaco | Effetto sulla concentrazione b | Commento clinico |
| NRTI: Didanosina c | ↑ didanosina | I pazienti che ricevono truvada e didanosina devono essere monitorati da vicino per le reazioni avverse associate alla didanosina. Interrompere la didanosina nei pazienti che sviluppano reazioni avverse associate alla didanosina. Concentrazioni di didanosina più elevate potrebbero potenziare le reazioni avverse associate alla didanosina tra cui la pancreatite e la neuropatia. La soppressione dei conteggi delle cellule CD4 è stata osservata in pazienti che hanno ricevuto TDF con didanosina 400 mg al giorno. |
| HIV-1 Protease Inhibitors: Azanavir c | ↓ Atazanavir | Quando è stato somministrato con Truvada atazanavir 300 mg dovrebbe essere somministrato con ritonavir 100 mg. |
| Lopinavir/Ritonavir c Azanavir/ritonavir c Darunavir/ritonavir c | ↑ tenofovir | Monitorare i pazienti che ricevevano Truvada in concomitanza con Atazanavir o Ritonavir potenziati da Lopinavir/Ritonavir ritonavir per il darunavir per le reazioni avverse associate al TDF. Interrompere Truvada nei pazienti che sviluppano reazioni avverse associate al TDF. |
| Epatite C Antivilalagenti: Sofosbuvir/Velpatasvir c Sofosbuvir/Velpatasvir/ voxilaprevir c | ↑ tenofovir | Monitorare i pazienti che ricevono Truvada in concomitanza con Epclusa ® (Sofosbuvir/Velpatasvir) o Vosevi ® (sofosbuvir/velpatasvir/voxilaprevir) per reazioni avverse associate al TDF. |
| ledipasvir/sofosbuvir c | Monitorare i pazienti che ricevono Truvada in concomitanza con Harvoni ® (Ledipasvir/sofosbuvir) Senza un inibitore della proteasi HIV-1/ritonavir o una combinazione inibitore/cobicistat della proteasi HIV-1 per le reazioni avverse associate al TDF. Nei pazienti che ricevono Truvada in concomitanza con Harvoni e un inibitore della proteasi dell'HIV-1/Ritonavir o una combinazione di inibitore/cobicistat della proteasi HIV-1, considerano un HCV alternativo o una terapia antiretrovirale poiché la sicurezza dell'aumento delle concentrazioni di tenofovir in questa impostazione non è stata stabilita. Se la somministrazione di co -concomitanza è necessaria, monitorare per le reazioni avverse associate al TDF. | |
| UN. Questo tavolo non è tutto compreso. B. ↑ = Aumenta ↓ = diminuzione C. Indica che è stato condotto uno studio di interazione farmaco-farmaco. |
Avvertimenti per Truvada
Incluso come parte del 'PRECAUZIONI' Sezione
Precauzioni per Truvada
Grave esacerbazione acuta dell'epatite B negli individui con infezione da HBV
Tutti gli individui dovrebbero essere testati per la presenza di virus cronico dell'epatite B (HBV) prima o quando iniziano Truvada [vedi Dosaggio e amministrazione ].
Le gravi esacerbazioni acute dell'epatite B (ad es. Decomomomomursione epatica e insufficienza epatica) sono state riportate in individui infetti da HBV che hanno interrotto Truvada. Gli individui infetti da HBV che interrompono Truvada dovrebbero essere attentamente monitorati con il follow-up clinico e di laboratorio per almeno diversi mesi dopo l'interruzione del trattamento. Se un'adeguata terapia anti-epatite B può essere giustificata soprattutto in soggetti con malattia epatica avanzata o cirrosi poiché l'esacerbazione post-trattamento dell'epatite può portare a decomomomurità epatica e insufficienza epatica. Gli individui non infetti da HBV dovrebbero essere offerti vaccinazione.
Gestione completa per ridurre il rischio di infezioni a trasmissione sessuale tra cui l'HIV-1 e lo sviluppo della resistenza all'HIV-1 quando Truvada viene utilizzato per HIV1 Prep
Utilizzare Truvada per la preparazione all'HIV-1 per ridurre il rischio di infezione da HIV-1 come parte di una strategia di prevenzione globale che include altre misure di prevenzione, tra cui l'adesione all'amministrazione quotidiana e pratiche sessuali più sicure, compresi i preservativi per ridurre il rischio di infezioni a trasmissione sessuale (IST). Il tempo dall'iniziazione di Truvada per la preparazione all'HIV-1 alla massima protezione contro l'infezione da HIV-1 è sconosciuto.
Il rischio di acquisizione dell'HIV-1 include fattori biologici o epidemiologici comportamentali, inclusi ma non limitati al passato sesso senza preservativo o attuale rischio di HIV auto-identificato con partner sessuali di stato viremico dell'HIV-1 sconosciuto o attività sessuale in un'area o una rete di alta prevalenza.
Consulenza agli individui sull'uso di altre misure di prevenzione (ad es. Conoscenza costante e corretta Conoscenza dello stato dell'HIV-1 dei partner, incluso lo stato di soppressione virale Test regolari per le IST che possono facilitare la trasmissione dell'HIV-1). Informare le persone non infette e sostieni i loro sforzi nel ridurre il comportamento del rischio sessuale.
Utilizzare Truvada per ridurre il rischio di acquisire l'HIV-1 solo negli individui confermati per essere negativi. Le sostituzioni di resistenza all'HIV-1 possono emergere negli individui con infezione da HIV-1 non rilevata che stanno assumendo solo Truvada perché Truvada da sola non costituisce un regime completo per il trattamento dell'HIV-1 [vedi Microbiologia ]; Pertanto, è necessario prestare attenzione a ridurre al minimo il rischio di avviamento o continuo Truvada prima di confermare che l'individuo è HIV-1 negativo.
- Alcuni test dell'HIV-1 rilevano solo anticorpi anti-HIV e non possono identificare l'HIV-1 durante la fase acuta dell'infezione. Prima di iniziare Truvada per l'HIV-1 Prep Ask Sieronegative Individui sui recenti (nel mese scorso) potenziali eventi di esposizione (ad es. Sesso senza preservativo o rottura del preservativo durante il sesso con un partner di uno stato di HIV-1 sconosciuto o uno stato viremico sconosciuto o una recente STI) e valutare per la pelle attuale o recenti coerente con l'infezione da HIV-1 ACUTE (ad esempio erutti di altezza della fatica).
- Se recente ( <1 month) exposures to HIV-1 are suspected or clinical symptoms consistent with acute HIV-1 infection are present use a test approved or cleared by the FDA as an aid in the diagnosis of acute or primary HIV-1 infection.
Mentre l'utilizzo di Truvada per i test HIV-1 HIV-1 deve essere ripetuto almeno ogni 3 mesi e dopo la diagnosi di qualsiasi altra IST.
- Se un test dell'HIV-1 indica una possibile infezione da HIV-1 o se si sviluppano sintomi coerenti con l'infezione da HIV-1 acuta a seguito di un potenziale evento di esposizione, convertire il regime di preparazione all'HIV-1 a un regime di trattamento dell'HIV fino a quando lo stato di infezione negativa non viene confermato usando un test approvato o cancellato dalla FDA come aiuto nella diagnosi di infezione ACUE o primaria dell'HIV-1.
Consulente per le persone non infette HIV-1 per aderire rigorosamente al programma di dosaggio di Truvada un tempo quotidiano. L'efficacia di Truvada nel ridurre il rischio di acquisire l'HIV-1 è fortemente correlata con l'adesione, come dimostrato dai livelli misurabili dei farmaci negli studi clinici di Truvada per la preparazione all'HIV-1. Alcuni individui come gli adolescenti possono beneficiare di visite e consulenza più frequenti per sostenere l'adesione [vedi Utilizzare in popolazioni specifiche Microbiologia E Studi clinici ].
Nuovo insorgenza o peggioramento della compromissione renale
Emtricitabina E tenofovir are principally eliminated by the kidney. Renal impairment including cases of insufficienza renale acuta E Fanconi syndrome (renal tubular injury with severe hypophosphatemia) has been reported with the use of TDF a component of Lo trovo [see Reazioni avverse ].
Prima dell'iniziazione e durante l'uso di Truvada su un programma clinicamente appropriato valutare la creatinina sierica di clearance della creatinina glucosio e proteina urinaria in tutti gli individui. Negli individui con malattia renale cronica valuta anche il fosforo sierico.
Lo trovo should be avoided with concurrent or recent use of a nephrotoxic agent (e.g. high-dose or multiple non-steroidal anti-inflammatory drugs [NSAIDs]) [see Interazioni farmacologiche ]. Cases of insufficienza renale acuta after initiation of high-dose or multiple NSAIDs have been reported in HIV-infected patients with risk factors for renal dysfunction who appeared stable on TDF. Some patients required hospitalization E renal replacement therapy. Alternatives to NSAIDs should be considered if needed in patients at risk for renal dysfunction.
Il dolore persistente o peggioramento del dolore osseo nelle fratture delle estremità e/o il dolore muscolare o la debolezza possono essere manifestazioni di tubulopatia renale prossimale e dovrebbe richiedere una valutazione della funzione renale negli individui a rischio di disfunzione renale.
Trattamento dell'infezione da HIV-1
La regolazione dell'intervallo di dosaggio di Truvada e il attento monitoraggio della funzione renale sono raccomandati in tutti i pazienti con clearance di creatinina stimata 30-49 ml/min [vedi Dosaggio e amministrazione ]. No safety or Seficacy data are available in patients with renal impairment who received Lo trovo using these dosing guidelines so the potential benSeit of Lo trovo therapy should be assessed against the potential risk of renal toxicity. Lo trovo is not recommended in patients with estimated creatinine clearance below 30 mL/min or patients requiring hemodialysis.
HIV-1 PrEP
Lo trovo for HIV-1 PrEP is not recommended in uninfected individuals with estimated creatinine clearance less than 60 mL/min. If a decrease in estimated creatinine clearance is observed while using Lo trovo for HIV-1 PrEP evaluate potential causes E re-assess potential risks E benSeits of continued use [see Dosaggio e amministrazione ].
Sindrome di ricostituzione immunitaria
La sindrome della ricostituzione immunitaria è stata riportata nei pazienti infetti da HIV-1 trattati con terapia antiretrovirale combinata, inclusa Truvada. Durante la fase iniziale della combinazione del trattamento antiretrovirale pazienti con infezione da HIV-1 il cui sistema immunitario risponde può sviluppare una risposta infiammatoria a infezioni opportunistiche indolenti o residue (come Mycobacterium avium Infection citomegalovirus Pneumocystis jirovecii polmonite [PCP] o tubercolosi) che possono richiedere ulteriori valutazioni e trattamenti.
Sono stati inoltre segnalati disturbi autoimmuni (come la polimiosite della malattia di Graves sindrome di Guillain-Barré e l'epatite autoimmune) nel contesto della ricostituzione immunitaria; Tuttavia, il tempo di insorgenza è più variabile e può verificarsi molti mesi dopo l'inizio del trattamento.
Perdita ossea e difetti di mineralizzazione
Densità minerale ossea
Negli studi clinici negli adulti infetti da HIV-1 e in uno studio clinico sugli individui non infetti dell'HIV-1 TDF (un componente di Truvada) è stato associato a diminuzioni leggermente maggiori della densità minerale ossea (BMD) e aumenti dei marker biochimici del metabolismo osseo che suggeriscono un aumento del turnover osseo rispetto ai comparatori [vedi Reazioni avverse ]. Serum parathyroid hormone levels E 125 Vitamin D levels were also higher in subjects receiving TDF.
Sono stati condotti studi clinici che valutano il TDF nei soggetti pediatrici e adolescenti. In circostanze normali, la BMD aumenta rapidamente nei pazienti pediatrici. Nei soggetti infetti da HIV-1 di età compresa tra 2 anni a meno di 18 anni gli effetti ossei erano simili a quelli osservati nei soggetti adulti e suggeriscono un aumento del turnover osseo. Il guadagno totale del BMD del corpo era inferiore nei soggetti pediatrici infetti da HIV-1 trattati con TDF rispetto ai gruppi di controllo. Tendenze simili sono state osservate in soggetti adolescenti di età compresa tra 12 anni a meno di 18 anni trattati per l'epatite cronica B. In tutti gli studi pediatrici la crescita scheletrica (altezza) sembrava non interessata.
Gli effetti dei cambiamenti associati al TDF nei marcatori BMD e biochimici sulla salute delle ossa a lungo termine e sul rischio di frattura futura sono sconosciuti. La valutazione della BMD dovrebbe essere considerata per i pazienti adulti e pediatrici che hanno una storia di frattura ossea patologica o altri fattori di rischio per l'osteoporosi o la perdita ossea. Sebbene l'effetto della supplementazione con calcio e vitamina D non sia stato studiato tale supplementazione può essere utile. Se si sospettano anomalie ossee.
Difetti di mineralizzazione
Casi di osteomalacia associati alla tubulopatia renale prossimale manifestate come dolore osseo o dolore alle estremità e che possono contribuire alle fratture sono stati riportati in associazione con l'uso di TDF [vedi Reazioni avverse ]. Arthralgia E muscle pain or weakness have also been reported in cases of proximal renal tubulopathy. Hypophosphatemia E osteomalacia secondary to proximal renal tubulopathy should be considered in patients at risk of renal dysfunction who present with persistent or worsening bone or muscle symptoms while receiving TDF-containing products [see Nuovo insorgenza o peggioramento della compromissione renale ].
Acidosi lattica/epatomegalia grave con steatosi
L'acidosi lattica e l'epatomegalia grave con steatosi, compresi i casi fatali, sono stati riportati con l'uso di analoghi nucleosidici, compresi i componenti FTC e TDF della sola Truvada o in combinazione con altri antiretrovirali. Il trattamento con Truvada dovrebbe essere sospeso in qualsiasi individuo che sviluppi risultati clinici o di laboratorio che suggeriscono l'acidosi lattica o l'epatotossicità pronunciata (che può includere epatomegalia e steatosi anche in assenza di marcati aumenti transaminasi).
Rischio di reazioni avverse dovute alle interazioni farmacologiche
L'uso concomitante di Truvada e altri farmaci può comportare interazioni farmacologiche note o potenzialmente significative che alcune delle quali possono portare a possibili reazioni avverse clinicamente significative da maggiori esposizioni di farmaci concomitanti [vedi Interazioni farmacologiche ].
Vedere la Tabella 7 per le fasi per prevenire o gestire queste possibili e note significative interazioni farmacologiche, comprese le raccomandazioni sul dosaggio. Considera il potenziale per le interazioni farmacologiche prima e durante la terapia con Truvada; rivedere i farmaci concomitanti durante la terapia con Truvada; e monitorare le reazioni avverse associate ai farmaci concomitanti.
Informazioni sulla consulenza del paziente
Consiglia al paziente di leggere l'etichettatura del paziente approvato dalla FDA ( Guida ai farmaci ).
Informazioni importanti per le persone non infette che assumono Truvada per l'HIV-1
Consiglia agli individui non infetti dall'HIV su quanto segue [vedi AVVERTIMENTOS AND PRECAUTIONS ]:
- La necessità di confermare che sono sieropositivi prima di iniziare a prendere Truvada per ridurre il rischio di acquisizione dell'HIV-1.
- Che le sostituzioni di resistenza all'HIV-1 possano emergere negli individui con infezione da HIV-1 non rilevata che stanno assumendo Truvada perché Truvada da sola non costituisce un regime completo per il trattamento dell'HIV-1.
- L'importanza di prendere Truvada su un programma di dosaggio regolare e una rigorosa aderenza al programma di dosaggio raccomandato per ridurre il rischio di acquisire l'HIV-1. Le persone non infette a cui mancano le dosi sono a maggior rischio di acquisire l'HIV-1 rispetto a quelli che non mancano le dosi.
- Che Truvada non impedisca altre infezioni acquisite sessualmente e dovrebbe essere utilizzata solo come parte di una strategia di prevenzione completa, comprese altre misure di prevenzione.
- Utilizzare i preservativi in modo coerente e corretto per ridurre le possibilità di contatto sessuale con eventuali fluidi corporei come secrezioni vaginali del seme o sangue.
- L'importanza di conoscere il loro status di HIV-1 e lo stato dell'HIV-1 dei loro partner.
- L'importanza della soppressione virologica nei loro partner con l'HIV-1.
- La necessità di essere testati regolarmente per l'HIV-1 (almeno ogni 3 mesi o più frequentemente per alcuni individui come gli adolescenti) e di chiedere anche ai loro partner di essere testati.
- Segnalare eventuali sintomi di infezione da HIV-1 acuta (sintomi simili all'influenza) al proprio operatore sanitario.
- Che i segni e i sintomi dell'infezione acuta includono fatica affaticamento del mal di testa artralgia che vomito la mialgia diarrea faringite sudorazioni notturne e adenopatia (cervicale e inguinale).
- Per essere testati per altre infezioni a trasmissione sessuale come la sifilide clamidia e la gonorrea che possono facilitare la trasmissione dell'HIV-1.
- Valutare il loro comportamento a rischio sessuale e ottenere supporto per aiutare a ridurre il comportamento del rischio sessuale.
Grave esacerbazione acuta dell'epatite B nei pazienti infetti da HBV
Informare gli individui che sono state riportate gravi esacerbazioni acute dell'epatite B in pazienti infettati da HBV e hanno interrotto Truvada [vedi AVVERTIMENTOS AND PRECAUTIONS ]. Advise HBV-infected individuals to not discontinue Lo trovo without first informing their healthcare provider.
Nuovo insorgenza o peggioramento della compromissione renale
Informare i pazienti infetti da HIV-1 e le persone non infette che la compromissione renale, inclusi casi di insufficienza renale acuta e sindrome di Fanconi, sono stati riportati in associazione con l'uso di TDF una componente di Truvada. Consiglia ai pazienti di evitare Truvada con un uso simultaneo o recente di un agente nefrotossico (ad es. FANS ad alte dosi o multipli) [vedi AVVERTIMENTOS AND PRECAUTIONS ]. The dosing interval of Lo trovo may need adjustment in HIV-1 infected patients with renal impairment. Lo trovo for HIV-1 PrEP should not be used in HIV-1 uninfected individuals if estimated creatinine clearance is less than 60 mL/min. If a decrease in estimated creatinine clearance is observed in uninfected individuals while using Lo trovo for HIV-1 PrEP evaluate potential causes E reassess potential risks E benSeits of continued use [see Dosaggio e amministrazione ].
Sindrome di ricostituzione immunitaria
Informare i pazienti con infezione da HIV-1 che in alcuni pazienti con segni avanzati di infezione da HIV (AIDS) e sintomi di infiammazione da infezioni precedenti possono verificarsi subito dopo l'inizio del trattamento anti-HIV. Si ritiene che questi sintomi siano dovuti a un miglioramento della risposta immunitaria del corpo che consente al corpo di combattere le infezioni che potrebbero essere state presenti senza sintomi evidenti. Consiglia ai pazienti di informare immediatamente il proprio operatore sanitario di eventuali sintomi di infezione [vedi AVVERTIMENTOS AND PRECAUTIONS ].
Perdita ossea e difetti di mineralizzazione
Informare i pazienti che diminuiscono nella densità minerale ossea sono stati osservati con l'uso di TDF o Truvada. Considera il monitoraggio osseo nei pazienti e nelle persone non infette che hanno una storia di frattura ossea patologica o a rischio di osteopenia [vedi AVVERTIMENTOS AND PRECAUTIONS ].
Acidosi lattica e grave epatomegalia
Informare i pazienti con infezione da HIV-1 e gli individui non infetti che sono stati riportati acidosi lattica e grave epatomegalia con steatosi, compresi i casi fatali. Il trattamento con Truvada deve essere sospeso in qualsiasi persona che sviluppi sintomi clinici che suggeriscono acidosi lattica o pronunciata epatotossicità [vedi AVVERTIMENTOS AND PRECAUTIONS ].
Interazioni farmacologiche
Consiglia agli individui che Truvada può interagire con molti farmaci; quindi consiglia agli individui di riferire al proprio operatore sanitario l'uso di qualsiasi altro farmaco, inclusi altri farmaci per l'HIV e farmaci per il trattamento del virus dell'epatite C [vedi AVVERTIMENTOS AND PRECAUTIONS E Interazioni farmacologiche ].
Raccomandazioni di dosaggio per il trattamento dell'infezione da HIV-1
Informare i pazienti con infezione da HIV-1 che è importante prendere Truvada con altri farmaci antiretrovirali per il trattamento dell'HIV-1 su un programma di dosaggio regolare con o senza cibo ed evitare le dosi mancanti in quanto può comportare lo sviluppo della resistenza.
Registro di gravidanza
Informare le persone che usano Truvada per il trattamento dell'HIV-1 o la preparazione dell'HIV-1 che esiste un registro di gravidanza antiretrovirale per monitorare gli esiti fetali delle donne in gravidanza esposte a Truvada [vedi Utilizzare in popolazioni specifiche ].
Lattazione
Indiicare alle madri di non allattare al seno se stanno assumendo Truvada per il trattamento dell'infezione da HIV-1 o se si sospetta l'infezione acuta dell'HIV-1 in una madre che assume Truvada per la preparazione all'HIV-1 a causa del rischio di passare il virus dell'HIV-1 al bambino. Nelle donne non infette dall'HIV i benefici e i rischi di Truvada mentre l'allattamento al seno dovrebbero essere valutati, incluso il rischio di acquisizione dell'HIV-1 a causa della non aderenza ai farmaci e della successiva trasmissione della madre alla madre [vedi Utilizzare in popolazioni specifiche ].
Lo trovo ATRIPLA COMPLERA EMTRIVA EPCLUSA HARVONI SOVALDI STRIBILD E VIREAD are trademarks of Gilead Sciences Inc. or its related companies. All other trademarks rSeerenced herein are the property of their respective owners.
Tossicologia non clinica
Mutagenesi della carcinogenesi compromissione della fertilità
Emtricitabina
Negli studi di cancerogenicità orale a lungo termine di FTC non sono stati riscontrati aumenti legati al farmaco nell'incidenza del tumore nei topi a dosi fino a 750 mg/kg/giorno (26 volte l'esposizione sistemica umana alla dose terapeutica di 200 mg/giorno) o nei ratti a dosi fino a 600 mg/kg/giorno (31 volte la dose terapeutica).
La FTC non era genotossica nel test batterico della mutazione inversa (test AMES) o nei test del linfoma del topo o del micronucleo di topo.
La FTC non ha influenzato la fertilità nei ratti maschi a circa 140 volte o nei topi maschi e femmine con esposizioni di circa 60 volte più alte (AUC) rispetto agli esseri umani, data la dose giornaliera di 200 mg raccomandata. La fertilità era normale nella progenie dei topi esposti quotidianamente da prima della nascita ( in utero ) attraverso la maturità sessuale alle esposizioni quotidiane (AUC) di circa 60 volte superiore rispetto alle esposizioni umane alla dose giornaliera di 200 mg raccomandata.
Tenofovir Disoproxil Fumarato
Gli studi di carcinogenicità orale a lungo termine di TDF nei topi e nei ratti sono stati condotti a esposizioni fino a circa 16 volte (topi) e 5 volte (ratti) quelli osservati nell'uomo alla dose terapeutica per l'infezione da HIV-1. All'alta dose nei topi femmine gli adenomi epatici sono stati aumentati alle esposizioni 16 volte quella nell'uomo. Nei ratti lo studio era negativo per i risultati cancerogeni alle esposizioni fino a 5 volte che osservavano nell'uomo alla dose terapeutica.
TDF era mutagenico nel in vitro test di linfoma del topo e negativo in un in vitro Test di mutagenicità batterica (test AMES). In un in vivo Il saggio di micronucleo del topo TDF era negativo quando somministrato ai topi maschi.
Non ci sono stati effetti sulla prestazione di accoppiamento della fertilità o sullo sviluppo embrionale precoce quando il TDF è stato somministrato ai ratti maschi a una dose equivalente a 10 volte la dose umana in base ai confronti della superficie corporea per 28 giorni prima dell'accoppiamento e ai ratti femmine per 15 giorni prima dell'accoppiamento fino al giorno 7 della gestazione. Vi era tuttavia un'alterazione del ciclo estro nei ratti femmine.
Utilizzare in popolazioni specifiche
Gravidanza
Gravidanza Exposure Rper esempioistry
Esiste un registro di esposizione alla gravidanza che monitora gli esiti di gravidanza nelle donne esposte a Truvada durante la gravidanza. Gli operatori sanitari sono incoraggiati a registrare i pazienti chiamando il registro di gravidanza antiretrovirale (APR) al numero 1-800-258-4263.
Riepilogo del rischio
I dati sull'uso di Truvada durante la gravidanza da studi osservazionali non hanno mostrato un aumento del rischio di gravi difetti alla nascita. I dati disponibili dall'APR non mostrano differenze significative nel rischio complessivo di gravi difetti alla nascita con l'esposizione al primo trimestre per emtricitabina (FTC) (NULL,3%) o tenofovir disoproxil fumarate (TDF) (NULL,1%) rispetto al tasso di fondo di sfondo (CHEED MACDP) rispetto al tasso di background (CHEEDP) Dati ). The rate of miscarriage for individual drugs is not reported in the APR. In the U.S. general population the estimated background risk of miscarriage in clinically recognized prper esempionancies is 15– 20%.
Negli studi sulla riproduzione degli animali non sono stati osservati effetti avversi sullo sviluppo quando i componenti di Truvada sono stati somministrati separatamente a dosi/esposizioni ≥60 (FTC) ≥14 (TDF) e 2,7 (tenofovir) volte quelli della dose giornaliera raccomandata di Truvada (vedi vedi Truvada (vedi vedi Dati ).
Considerazioni cliniche
Rischio materno e/o embrione/o fetale associato alla malattia
HIV-1 PrEP
Studi pubblicati indicano un aumento del rischio di infezione da HIV-1 durante la gravidanza e un aumentato rischio di trasmissione da madre per bambini durante l'infezione da HIV-1 acuta. Nelle donne a rischio di acquisizione di considerazioni sull'HIV-1 dovrebbe essere somministrato ai metodi per impedire l'acquisizione dell'HIV, incluso il continuo o iniziale Truvada per la preparazione all'HIV-1 durante la gravidanza.
Dati
Dati umani
Lo trovo for HIV-1 PrEP
In uno studio osservazionale basato su rapporti prospettici alle donne sieronegative dell'HIV 78 aprile esposte a Truvada durante la gravidanza consegnate con neonati dal vivo senza gravi malformazioni. Tutti tranne uno sono stati le esposizioni del primo trimestre e la durata mediana dell'esposizione è stata di 10,5 settimane. Non ci sono stati nuovi risultati di sicurezza nelle donne che hanno ricevuto Truvada per la preparazione all'HIV-1 rispetto alle donne infette da HIV-1 trattate con altri farmaci antiretrovirali.
Emtricitabina
Basato su potenziali rapporti all'APR delle esposizioni ai regimi contenenti FTC durante la gravidanza con conseguenti nascite vive (compresi oltre 3300 esposti nel primo trimestre e oltre 1300 esposti nel secondo/terzo trimestre) La prevalenza dei principali difetti di nascita nelle nascite vive è stata del 2,6% (IC 95%: 2,1% al 3,2%) e 2,3% (95%) Esposizione al trimestre rispettivamente ai regimi contenenti FTC.
Tenofovir Disoproxil Fumarato
Basato su potenziali rapporti all'APR delle esposizioni ai regimi contenenti TDF durante la gravidanza con conseguenti nascite vive (tra cui oltre 4000 esposti nel primo trimestre e oltre 1700 esposti nel secondo/terzo trimestre) La prevalenza dei principali difetti alla nascita nelle nascite vive è stata del 2,4% (IC 95%: 2,0% al 2,9%) e 2,4% (95% CI: 1,7%) in base al 2,2%) che il primo e il terzo%) è stato il primo e il terzo%. esposizione rispettivamente ai regimi contenenti TDF.
I limiti metodologici dell'APR includono l'uso di MACDP come gruppo di comparatore esterno. La popolazione MACDP non è specifica per la malattia valuta le donne e i bambini da un'area geografica limitata e non include risultati per le nascite avvenute a <20 weeks gestation.
Inoltre, gli studi osservazionali pubblicati sull'esposizione a emtricitabina e tenofovir in gravidanza non hanno mostrato un aumentato rischio di gravi malformazioni.
Dati sugli animali
Emtricitabina
La FTC è stata somministrata per via orale a topi in gravidanza (a 0 250 500 o 1000 mg/kg/giorno) e conigli (a 0 100 300 o 1000 mg/kg/giorno) attraverso l'organogenesi (nei giorni di gestazione da 6 a 15 e da 7 a 19 rispettivamente). Non sono stati osservati effetti tossicologici significativi negli studi di tossicità embrionale condotti con FTC nei topi alle esposizioni (AUC) circa 60 volte più alte e nei conigli circa 120 volte più alti rispetto alle esposizioni umane alla dose giornaliera raccomandata. In uno studio di sviluppo pre/postnatale nei topi FTC è stato somministrato per via orale a dosi fino a 1000 mg/kg/giorno; Non sono stati osservati effetti avversi significativi direttamente correlati al farmaco nella prole esposta quotidianamente da prima della nascita ( in utero ) attraverso la maturità sessuale alle esposizioni quotidiane (AUC) di circa 60 volte superiore alle esposizioni umane alla dose giornaliera raccomandata.
Tenofovir Disoproxil Fumarato
Il TDF è stato somministrato per via orale ai ratti in gravidanza (a 0 50 150 o 450 mg/kg/giorno) e conigli (a 0 30 100 100 o 300 mg/kg/giorno) attraverso l'organogenesi (rispettivamente nei giorni di gestazione da 7 a 17 e 6 a 18). Non sono stati osservati effetti tossicologici significativi negli studi di tossicità embrionale condotti con TDF nei ratti a dosi fino a 14 volte la dose umana in base ai confronti della superficie corporea e nei conigli a dosi fino a 19 volte la dose umana in base ai confronti della superficie corporea. In uno studio di sviluppo pre/postnatale nei ratti TDF è stato somministrato per via orale attraverso l'allattamento a dosi fino a 600 mg/kg/giorno; Non sono stati osservati effetti avversi nella prole alle esposizioni di tenofovir di circa 2,7 volte superiore alle esposizioni umane alla dose giornaliera raccomandata di Truvada.
Lattazione
Riepilogo del rischio
Sulla base dei dati pubblicati FTC e Tenofovir hanno dimostrato di essere presenti nel latte materno umano (vedi Dati ). It is not known if the components of Lo trovo affect milk production or have Sefects on the breastfed child.
Trattamento dell'infezione da HIV-1
I Centri per il controllo e la prevenzione delle malattie raccomandano che le madri infette da HIV-1 non allattano i bambini per evitare di rischiare la trasmissione postnatale dell'HIV-1.
A causa del potenziale per
(1) trasmissione dell'HIV (nei neonati HIV-negativi); (2) sviluppo di resistenza virale (nei neonati sieropositivi); e (3) reazioni avverse in un bambino allattato al seno simile a quelli osservati negli adulti istruiscono le madri a non allattare se stanno assumendo Truvada per il trattamento dell'HIV-1.
HIV-1 PrEP
Nelle donne non infette dall'HIV, i benefici per lo sviluppo e la salute dell'allattamento al seno e la necessità clinica della madre di Truvada per la preparazione all'HIV-1 dovrebbero essere considerati insieme a eventuali potenziali effetti avversi sul bambino allattato al seno da Truvada e sul rischio di acquisizione dell'HIV-1 a causa della non aderenza e della successiva trasmissione da madre alla madre.
Le donne non devono allattare al seno se si sospetta l'infezione da HIV-1 acuta a causa del rischio di trasmissione dell'HIV-1 al bambino.
Dati
HIV-1 PrEP
In uno studio su 50 donne che allattano che hanno ricevuto Truvada per la preparazione all'HIV-1 tra 1 e 24 settimane dopo il parto (mediana 13 settimane) dopo 7 giorni di trattamento tenofovir non era rilevabile ma la FTC era rilevabile nel plasma della maggior parte dei neonati. In questi neonati la concentrazione plasmatica media di FTC era inferiore all'1% della FTC CMAX osservata nei neonati con infezione da HIV (fino a 3 mesi di età) che ricevevano la dose terapeutica di FTC (3 mg/kg/giorno). Non ci sono stati eventi avversi gravi. Due bambini (4%) hanno avuto un evento avverso di diarrea lieve che si è risolta.
Uso pediatrico
Trattamento dell'infezione da HIV-1
Non è stata condotta alcuna sperimentazione clinica pediatrica per valutare la sicurezza e l'efficacia di Truvada nei pazienti con infezione da HIV-1. I dati provenienti da prove precedentemente condotte con singoli prodotti farmaceutici FTC e TDF sono stati invocati per supportare le raccomandazioni di dosaggio per Truvada. Per ulteriori informazioni, consultare le informazioni di prescrizione per Emtriva e Viread.
Lo trovo should only be administered to HIV-1 infected pediatric patients with body weight greater than or equal to 17 kg E who are able to swallow a tablet. Because it is a fixed-dose combination tablet Lo trovo cannot be adjusted for patients of lower weight [see AVVERTIMENTOS AND PRECAUTIONS Reazioni avverse E Farmacologia clinica ]. Lo trovo is not approved for use in pediatric patients weighing less than 17 kg.
HIV-1 PrEP
La sicurezza e l'efficacia di Truvada per la preparazione all'HIV-1 negli adolescenti a rischio che pesano almeno 35 kg sono supportati da dati da studi adeguati e ben controllati su Truvada per la preparazione all'HIV-1 negli adulti con ulteriori dati di sicurezza e farmacocinetici. Dosaggio e amministrazione Reazioni avverse Farmacologia clinica E Studi clinici ].
Quali sono i dosaggi del tramadolo
L'adesione e la resistenza della sicurezza sono stati valutati in uno studio clinico a marcia aperta a braccio singolo (ATN113) in cui 67 uomini adolescenti a rischio non infetti dell'HIV-1 che fanno sesso con uomini hanno ricevuto Truvada una volta al giorno per la preparazione all'HIV-1. L'età media dei soggetti era di 17 anni (range da 15 a 18 anni); Il 46% era ispanico 52% nero e 37% bianco. Il profilo di sicurezza di Truvada in ATN113 era simile a quello osservato negli studi di preparazione all'HIV-1 adulto [vedi Reazioni avverse ].
Nella prova dell'HIV-1 di prova ATN113 si è verificata in 3 soggetti. I livelli di difosfato di tenofovir nei test di spot di sangue secco indicano che questi soggetti avevano una scarsa aderenza. Nessuna sostituzione di resistenza all'HIV-1 associata a FTC tenofovir-o è stata rilevata in virus isolati dai 3 soggetti che hanno sieroconvertito [vedi Microbiologia ].
L'adesione allo studio del farmaco, come dimostrato dai livelli di difosfato di tenofovir nei test spot di sangue secco, è diminuita marcatamente dopo la settimana 12 una volta che i soggetti sono passati da visite mensili a trimestrali suggerendo che gli adolescenti possono beneficiare di visite e consulenza più frequenti [vedi AVVERTIMENTOS AND PRECAUTIONS ].
Non sono state stabilite sicurezza ed efficacia di Truvada per la preparazione all'HIV-1 nei pazienti pediatrici che pesano meno di 35 kg.
Uso geriatrico
Gli studi clinici di FTC TDF o Truvada non includevano un numero sufficiente di soggetti di età pari o superiore a 65 anni per determinare se rispondono in modo diverso dai soggetti più giovani.
Compromissione renale
Trattamento dell'infezione da HIV-1
L'intervallo di dosaggio per Truvada deve essere modificato in soggetti adulti con infezione da HIV con clearance di creatinina stimata di 30-49 ml/min. Truvada non è raccomandato in soggetti con clearance stimata di creatinina al di sotto di 30 ml/min e in soggetti con malattia renale allo stadio terminale che richiedono dialisi [vedi Dosaggio e amministrazione ].
HIV-1 PrEP
Lo trovo for HIV-1 PrEP is not recommended in HIV-1 uninfected individuals with estimated creatinine clearance below 60 mL/min. If a decrease in estimated creatinine clearance is observed in uninfected individuals while using Lo trovo for HIV-1 PrEP evaluate potential causes E reassess potential risks E benSeits of continued use [see Dosaggio e amministrazione ].
Informazioni per overdose per Truvada
Se si verifica un overdose, il paziente deve essere monitorato per evidenza di tossicità e trattamento di supporto standard applicati, se necessario.
Emtricitabina
Il trattamento con emodialisi rimuove circa il 30% della dose di FTC per un periodo di dialisi di 3 ore a partire da 1,5 ore dal dosaggio FTC (portata del sangue di 400 ml/min e una portata dializzata di 600 ml/min). Non è noto se FTC possa essere rimosso dalla dialisi peritoneale.
Tenofovir Disoproxil Fumarato
Il tenofovir viene rimosso in modo efficiente dall'emodialisi con un coefficiente di estrazione di circa il 54%. A seguito di una singola dose di 300 mg di TDF una sessione di emodialisi di quattro ore ha rimosso circa il 10% della dose di tenofovir somministrata.
Controindicazioni per Truvada
Lo trovo for HIV-1 PrEP is contraindicated in individuals with unknown or positive HIV-1 status [see AVVERTIMENTOS AND PRECAUTIONS ].
Farmacologia clinica for Truvada
Meccanismo d'azione
Lo trovo is a fixed-dose combination of antivirale drugs Ftc E TDF [see Microbiologia ].
Farmacocinetica
Lo trovo
Una compressa Truvada era paragonabile a una capsula FTC (200 mg) più una compressa TDF (300 mg) dopo la somministrazione a dose singola a soggetti a digiuno sani (n = 39).
Emtricitabina
Le proprietà farmacocinetiche di FTC sono riassunte nella Tabella 8. Dopo la somministrazione orale di FTC FTC viene rapidamente assorbita con concentrazioni plasmatiche di picco che si verificano a 1-2 ore dopo la dose. Meno del 4% di FTC si lega alle proteine plasmatiche umane in vitro E the binding is independent of concentration over the range of 0.02–200 μg/mL. Following administration of radiolabelled Ftc approximately 86% is recovered in the urine E 13% is recovered as metabolites. The metabolites of Ftc include 3′-sulfoxide diastereomers E their glucuronic acid conjugate. Emtricitabina is eliminated by a combination of glomerular filtration E active tubular secretion. Following a single oral dose of Ftc the plasma Ftc half-life is approximately 10 hours.
Tenofovir Disoproxil Fumarato
Le proprietà farmacocinetiche del TDF sono riassunte nella Tabella 8. Dopo la somministrazione orale delle concentrazioni sieriche massime di tenofovir TDF si ottengono in 1,0 ± 0,4 ore. Meno dello 0,7% del tenofovir si lega alle proteine plasmatiche umane in vitro E the binding is independent of concentration over the range of 0.01–25 μg/mL. Approximately 70–80% of the intravenous dose of tenofovir is recovered as unchanged drug in the urine. Tenofovir is eliminated by a combination of glomerular filtration E active tubular secretion. Following a single oral dose of TDF the terminal elimination half-life of tenofovir is approximately 17 hours.
Tabella 8 Parametri farmacocinetici a dose singola per FTC e tenofovir negli adulti a
| Ftc | Tenofovir | |
| Biodisponibilità orale a digiuno b (%) | 92 (83.1–106.4) | 25 (NC - 45,0) |
| Emifie di eliminazione del terminale al plasma b (HR) | 10 (7.4–18,0) | 17 (12.0–25.7) |
| Cmax c (μg/ml) | 1,8 ± 0,72 d | 0,30 ± 0,09 |
| AUC c (μg · HR/mL) | 10,0 ± 3,12 d | 2,29 ± 0,69 |
| Cl/f c (ml/min) | 302 ± 94 | 1043 ± 115 |
| Clrenale c (ml/min) | 213 ± 89 | 243 ± 33 |
| UN. NC = non calcolato B. Mediana (intervallo) C. Media (± DS) D. Dati presentati come valori di stato stazionario |
Effetti del cibo sull'assorbimento orale
Lo trovo may be administered with or without food. Administration of Lo trovo following a high fat meal (784 kcal; 49 grams of fat) or a light meal (373 kcal; 8 grams of fat) delayed the time of tenofovir Cmax by approximately 0.75 hour. The mean increases in tenofovir AUC E Cmax were approximately 35% E 15% respectively when administered with a high fat or light meal compared to administration in the fasted state. In previous safety E Seficacy trials TDF (tenofovir) was taken under fed conditions. Ftc systemic exposures (AUC E Cmax) were unaffected when Lo trovo was administered with either a high fat or a light meal.
Popolazioni specifiche
Gara
Emtricitabina
Non sono state identificate differenze farmacocinetiche dovute alla razza in seguito alla somministrazione di FTC.
Tenofovir Disoproxil Fumarato
C'erano numeri sufficienti da gruppi razziali ed etnici diversi dal caucasico per determinare adeguatamente potenziali differenze farmacocinetiche tra queste popolazioni a seguito della somministrazione di TDF.
Genere
Emtricitabina E Tenofovir Disoproxil Fumarato
Ftc E tenofovir pharmacokinetics are similar in male E female subjects.
Pazienti pediatrici
Trattamento dell'infezione da HIV-1
I dati farmacocinetici per tenofovir e FTC a seguito della somministrazione di Truvada in soggetti pediatrici del peso di 17 kg e oltre non sono disponibili. Le raccomandazioni di dosaggio di Truvada in questa popolazione si basano sulle raccomandazioni di dosaggio di FTC e TDF in questa popolazione. Fare riferimento a Emtriva e Viread che prescrivono informazioni per le informazioni farmacocinetiche sui singoli prodotti nei pazienti pediatrici.
HIV-1 PrEP
Non sono disponibili i dati farmacocinetici per tenofovir e FTC a seguito della somministrazione di Truvada negli adolescenti non infetti dell'HIV-1 che pesano 35 kg e oltre. Le raccomandazioni di dosaggio di Truvada per la preparazione all'HIV-1 in questa popolazione si basano su dati sulla sicurezza e l'adesione dallo studio ATN113 [vedi Utilizzare in popolazioni specifiche ] e informazioni farmacocinetiche note negli adolescenti infetti da HIV che assumono TDF e FTC per il trattamento.
Pazienti geriatrici
Farmacocinetica of Ftc E tenofovir have not been fully evaluated in the elderly (65 years of age E older).
Pazienti con compromissione renale
I farmacocinetici di FTC e tenofovir sono modificati in soggetti con compromissione renale [vedi AVVERTIMENTOS AND PRECAUTIONS ]. In adult subjects with creatinine clearance below 50 mL/min Cmax E AUC0-∞ of Ftc E tenofovir were increased. Non sono disponibili dati per formulare raccomandazioni di dosaggio in pazienti pediatrici con compromissione renale.
Pazienti con compromissione epatica
La farmacocinetica del tenofovir a seguito di una dose di 300 mg di TDF è stata studiata in soggetti infetti non HIV con compromissione epatica da moderata a grave. Non ci sono state alterazioni sostanziali nella farmacocinetica tenofovir in soggetti con compromissione epatica rispetto ai soggetti intatti. La farmacocinetica di Truvada o FTC non è stata studiata in soggetti con compromissione epatica; Tuttavia, FTC non è significativamente metabolizzato dagli enzimi epatici, quindi l'impatto della compromissione del fegato dovrebbe essere limitato.
Valutazione delle interazioni farmacologiche
La farmacocinetica stazionaria di FTC e tenofovir non è stata influenzata quando FTC e TDF sono stati somministrati insieme rispetto a ciascun agente dosato da solo.
In vitro Studi e studi clinici di interazione farmacocinetica farmaco-farmaco hanno dimostrato che il potenziale per le interazioni mediate dal CYP che coinvolgono FTC e tenofovir con altri prodotti medicinali è basso.
Il TDF è un substrato di trasportatori di proteina di resistenza al carcinoma mammario P-glicoproteina (P-GP) e del carcinoma mammario. Quando il TDF è somministrato in modo conciso con un inibitore di questi trasportatori, si può osservare un aumento dell'assorbimento.
Non sono state osservate interazioni farmacologiche clinicamente significative tra FTC e Famciclovir indinavir Stavudine TDF e Zidovudina (Tabelle 9 e 10). Allo stesso modo non sono state osservate interazioni farmacologiche clinicamente significative tra TDF e Efavirenz metadone nelfinavir Contraccettivi orali ribavirina o sofosbuvir negli studi condotti su volontari sani (Tabelle 11 e 12).
Tabella 9 Interazioni farmacologiche: cambiamenti nei parametri farmacocinetici per FTC in presenza del farmaco con crisi a
| Droga somministrato in co -amministrazione | Dose di farmaco somministrato co -amministrato (MG) | Ftc Dose (mg) | N | % Variazione dei parametri farmacocinetici FTC b (90% CI) | ||
| Cmax | AUC | Cmin | ||||
| TDF | 300 una volta al giorno x 7 giorni | 200 una volta al giorno x 7 giorni | 17 | ⇔ | ⇔ | ↑ 20 (↑ 12 a ↑ 29) |
| Zidovudina | 300 due volte al giorno x 7 giorni | 200 una volta al giorno x 7 giorni | 27 | ⇔ | ⇔ | ⇔ |
| Indinavir | 800 x 1 | 200 x 1 | 12 | ⇔ | ⇔ | N / a |
| Famciclovir | 500 x 1 | 200 x 1 | 12 | ⇔ | ⇔ | N / a |
| Stavudina | 40 x 1 | 200 x 1 | 6 | ⇔ | ⇔ | N / a |
| UN. Tutti i prove di interazione condotte su volontari sani B. ↑ = aumento; ⇔ = nessun effetto; Na = non applicabile |
Tabella 10 Interazioni farmacologiche: cambiamenti nei parametri farmacocinetici per il farmaco amministrato in co -cotto in presenza di FTC a
| Droga somministrato in co -amministrazione | Dose di farmaco somministrato co -amministrato (MG) | Ftc Dose (mg) | N | % Variazione dei parametri farmacocinetici farmacologici b (90% CI) | ||
| Cmax | AUC | Cmin | ||||
| TDF | 300 una volta al giorno x 7 giorni | 200 una volta al giorno x 7 giorni | 17 | ⇔ | ⇔ | ⇔ |
| Zidovudina | 300 due volte al giorno x 7 giorni | 200 una volta al giorno x 7 giorni | 27 | ↑ 17 (↑ 0 a ↑ 38) | ↑ 13 (↑ 5 a ↑ 20) | ⇔ |
| Indinavir | 800 x 1 | 200 x 1 | 12 | ⇔ | ⇔ | N / a |
| Famciclovir | 500 x 1 | 200 x 1 | 12 | ⇔ | ⇔ | N / a |
| Stavudina | 40 x 1 | 200 x 1 | 6 | ⇔ | ⇔ | N / a |
| UN. Tutti i prove di interazione condotte su volontari sani B. ↑ = aumento; ⇔ = nessun effetto; Na = non applicabile |
Tabella 11 Interazioni farmacologiche: cambiamenti nei parametri farmacocinetici per tenofovir a In presenza del farmaco somministrato
| Droga somministrato in co -amministrazione | `Dose di farmaco somministrato co -amministrato (MG) | N | % Variazione dei parametri farmacocinetici tenofovir b (90% CI) | ||
| Cmax | AUC | Cmin | |||
| Azanavir c | 400 una volta al giorno x 14 giorni | 33 | ↑ 14 (↑ 8 a ↑ 20) | ↑ 24 (↑ da 21 a ↑ 28) | ↑ 22 (↑ da 15 a ↑ 30) |
| Azanavir/ Ritonavir c | 300/100 una volta al giorno | 12 | ↑ 34 (↑ da 20 a ↑ 51) | ↑ 37 (↑ 30 a ↑ 45) | ↑ 29 (Da ↑ da 21 a ↑ 36) |
| Darunavir/ ritonavir d | 300/100 due volte al giorno | 12 | ↑ 24 (↑ 8 a ↑ 42) | ↑ 22 (Da ↑ da 10 a ↑ 35) | ↑ 37 (↑ da 19 a ↑ 57) |
| Indinavir | 800 tre volte al giorno x 7 giorni | 13 | ↑ 14 (↓ da 3 a ↑ 33) | ⇔ | ⇔ |
| Ledipasvir/ sofosbuvir Se | 90/400 una volta al giorno x 10 giorni | 24 | ↑ 47 (Da ↑ da 37 a ↑ 58) | ↑ 35 (↑ 29 a ↑ 42) | ↑ 47 (↑ da 38 a ↑ 57) |
| Ledipasvir/ sofosbuvir per esempio | 23 | ↑ 64 (↑ da 54 a ↑ 74) | ↑ 50 (↑ 42 a ↑ 59) | ↑ 59 (Da ↑ 49 a ↑ 70) | |
| Ledipasvir/ sofosbuvir h | 90/400 una volta al giorno x 14 giorni | 15 | ↑ 79 (↑ da 56 a ↑ 104) | ↑ 98 (↑ da 77 a ↑ 123) | ↑ 163 (Da ↑ da 132 a ↑ 197) |
| Ledipasvir/ sofosbuvir i | 90/400 una volta al giorno x 10 giorni | 14 | ↑ 32 (↑ da 25 a ↑ 39) | ↑ 40 (Da ↑ 31 a ↑ 50) | ↑ 91 (Da ↑ da 74 a ↑ 110) |
| Ledipasvir/ sofosbuvir j | 90/400 una volta al giorno x 10 giorni | 29 | ↑ 61 (↑ da 51 a ↑ 72) | ↑ 65 (↑ da 59 a ↑ 71) | ↑ 115 (↑ da 105 a ↑ 126) |
| Lopinavir/ Ritonavir | 400/100 due volte al giorno x 14 giorni | 24 | ⇔ | ↑ 32 (↑ da 25 a ↑ 38) | ↑ 51 (Da ↑ da 37 a ↑ 66) |
| Saqinavir/ Ritonavir | 1000/100 due volte al giorno x 14 giorni | 35 | ⇔ | ⇔ | ↑ 23 (Da ↑ da 16 a ↑ 30) |
| Sofosbuvir k | 400 dose singola | 16 | ↑ 25 (↑ 8 a ↑ 45) | ⇔ | ⇔ |
| Sofosbuvir/ Velpatasvir l | 400/100 una volta al giorno | 24 | ↑ 44 (Da ↑ da 33 a ↑ 55) | ↑ 40 (Da ↑ da 34 a ↑ 46) | ↑ 84 (↑ da 76 a ↑ 92) |
| Sofosbuvir/ Velpatasvir m | 400/100 una volta al giorno | 30 | ↑ 46 (Da ↑ da 39 a ↑ 54) | ↑ 40 (Da ↑ da 34 a ↑ 45) | ↑ 70 (Da ↑ da 61 a ↑ 79) |
| Sofosbuvir/ Velpatasvir/ Voxilaprevir n | 400/100/100 Voxilaprevir o 100 una volta al giorno | 29 | ↑ 48 (↑ 36 a ↑ 61) | ↑ 39 (↑ da 32 a ↑ 46) | ↑ 47 (Da ↑ da 38 a ↑ 56) |
| Tacrolimus | 0,05 mg/kg due volte al giorno x 7 giorni | 21 | ↑ 13 (Da ↑ da 1 a ↑ 27) | ⇔ | ⇔ |
| Tipranavir/ ritonavir p | 500/100 due volte al giorno | 22 | ↓ 23 (↓ da 32 a ↓ 13) | ↓ 2 (↓ da 9 a ↑ 5) | ↑ 7 (↓ da 2 a ↑ 17) |
| 750/200 due volte al giorno (23 dosi) | 20 | ↓ 38 (↓ da 46 a ↓ 29) | ↑ 2 (↓ da 6 a ↑ 10) | ↑ 14 (Da ↑ da 1 a ↑ 27) | |
| UN. I soggetti hanno ricevuto viread 300 mg una volta al giorno. B. Aumento = ↑; Diminuire = ↓; Nessun effetto = ⇔ C. Reyataz che prescrive informazioni. D. Prescrittista Informazioni di prescrizione. e. Dati generati dal dosaggio simultaneo con Harvoni (ledipasvir/sofosbuvir). L'amministrazione sfalsata (a 12 ore di distanza) ha fornito risultati simili. F. Confronto basato su esposizioni quando somministrato come azanavir/ritonavir FTC/TDF. G. Confronto basato su esposizioni quando somministrato come darunavir/ritonavir ftc/tdf. H. Studio condotto con Atripla (eFavirenz/FTC/TDF) minimizzato con Harvoni. io. Studio condotto con Complera (FTC/Rilpivirinine/TDF) minimizzato con Harvoni. J. Studio condotto con Truvada (FTC/TDF) Dolutegravir minimizzato con Harvoni. k Studio condotto con Atripla Configurato con Sovaldi® (Sofosbuvir). l. Studio condotto con Complera contemporaneamente con Epclusa; La somministrazione di co -somministrazione con EPCLUSA comporta anche aumenti comparabili delle esposizioni di tenofovir quando il TDF viene somministrato come Atripla Stribield Truvada azanavir/Ritonavir o Truvada Darunavir/Ritonavir. M. Somministrato come raltegravir ftc/tdf. N. Confronto basato su esposizioni quando somministrato come darunavir ritonavir ftc/tdf. o. Studio condotto con ulteriori voxilaprevir 100 mg per ottenere esposizioni voxilaprevir previste nei pazienti con infezione da HCV P. Aptivus Prescriping Information. |
Non è stato osservato alcun effetto sui parametri farmacocinetici dei seguenti farmaci minimizzati con Truvada: abacavir didanosina (compresse tamponate) Entecavir e lamivudina.
Tabella 12 Interazioni farmacologiche: cambiamenti nei parametri farmacocinetici per il farmaco amministrato in co -cotto in presenza di tenofovir
| Droga somministrato in co -amministrazione | Dose di farmaco somministrato co -amministrato (MG) | N | % Variazione dei parametri farmacocinetici farmacologici a (90% CI) | ||
| Cmax | AUC | Cmin | |||
| Abacavir | 300 una volta | 8 | ↑ 12 (↓ 1 a ↑ 26) | ⇔ | N / a |
| Azanavir b | 400 una volta al giorno x 14 giorni | 34 | ↓ 21 (↓ 27 a ↓ 14) | ↓ 25 (↓ 30 a ↓ 19) | ↓ 40 (↓ 48 a ↓ 32) |
| Azanavir b | Azanavir/Ritonavir 300/100 una volta al giorno x 42 days | 10 | ↓ 28 (↓ da 50 a ↑ 5) | ↓ 25 c (↓ 42 a ↓ 3) | ↓ 23 c (↓ da 46 a ↑ 10) |
| Darunavir d | Darunavir/Ritonavir 300/100 una volta al giorno | 12 | ↑ 16 (↓ da 6 a ↑ 42) | ↑ 21 (↓ da 5 a ↑ 54) | ↑ 24 (↓ da 10 a ↑ 69) |
| Didanosina e | 250 una volta contemporaneamente con TDF e un pasto leggero f | 33 | ↓ 20 g (↓ da 32 a ↓ 7) | ⇔ g | N / a |
| Emtricitabina | 200 una volta al giorno x 7 giorni | 17 | ⇔ | ⇔ | ↑ 20 (Da ↑ da 12 a ↑ 29) |
| Indinavir | 800 tre volte al giorno x 7 giorni | 12 | ↓ 11 (↓ 30 a ↑ 12) | ⇔ | ⇔ |
| Entecavir | 1 una volta al giorno x 10 giorni | 28 | ⇔ | ↑ 13 (↑ da 11 a ↑ 15) | ⇔ |
| Lamivudina | 150 due volte al giorno x 7 giorni | 15 | ↓ 24 (↓ da 34 a ↓ 12) | ⇔ | ⇔ |
| Lopinavir ritonavir | Lopinavir/ritonavir 400/100 due volte al giorno X 14 giorni | 24 | ⇔ ⇔ | ⇔ ⇔ | ⇔ ⇔ |
| Saqinavir | Saqinavir/Ritonavir 1000/100 due volte al giorno x 14 giorni | 32 | ↑ 22 (Da ↑ da 6 a ↑ 41) | ↑ 29 h (Da ↑ da 12 a ↑ 48) | ↑ 47 h (Da ↑ 23 a ↑ 76) |
| Ritonavir | ⇔ | ⇔ | ↑ 23 (Da ↑ da 3 a ↑ 46) | ||
| Tacrolimus | 0,05 mg/kg due volte al giorno x 7 giorni | 21 | ⇔ | ⇔ | ⇔ |
| Tipranavir i | Tipranavir/Ritonavir 500/100 due volte al giorno | 22 | ↓ 17 (↓ 26 a ↓ 6) | ↓ 18 (↓ da 25 a ↓ 9) | ↓ 21 (↓ 30 a ↓ 10) |
| Tipranavir/Ritonavir 750/200 due volte al giorno (23 dosi) | 20 | ↓ 11 (↓ da 16 a ↓ 4) | ↓ 9 (↓ da 15 a ↓ 3) | ↓ 12 (↓ da 22 a 0) | |
| UN. Aumento = ↑; Diminuire = ↓; Nessun effetto = ⇔; Na = non applicabile B. Reyataz che prescrive informazioni. C. Nei soggetti infetti da HIV aggiuntivo di TDF ad atazanavir 300 mg più ritonavir 100 mg hanno provocato valori AUC e CMIN di azanavir che erano 2,3 e 4 volte più alti rispetto ai rispettivi valori osservati per Atazanavir 400 mg quando somministrati da soli. D. Prescrittista Informazioni di prescrizione. e. Videx EC che prescrive informazioni. I soggetti hanno ricevuto capsule con rivestimento enterico di didanosina. Quando le capsule con rivestimento con rivestimento enterico da 250 mg di didanosina venivano somministrate con esposizioni sistemiche TDF di didanosina erano simili a quelle osservate con le sole capsule con rivestimento enterico da 400 mg da sole in condizioni di digiuno. F. 373 kcal 8,2 g di grasso G. Rispetto alla didanosina (rivestito in enterico) 400 mg somministrati da soli in condizioni di digiuno. H. Gli aumenti di AUC e CMIN non dovrebbero essere clinicamente rilevanti; Pertanto, non sono necessarie regolazioni della dose quando il saqinavir potenziato da TDF e ritonavir è minimizzato. io. Aptivus Prescriping Information. |
Microbiologia
Meccanismo d'azione
Emtricitabina
Ftc a synthetic nucleoside analog of cytidine is phosphorylated by cellular enzymes to form emtricitabine 5'-triphosphate (Ftc-TP) which inhibits the activity of the HIV-1 reverse transcriptase (RT) by competing with the natural substrate deoxycytidine 5'-triphosphate E by being incorporated into nascent viral DN / a which results in chain termination. Ftc-TP is a weak inhibitor of mammalian DN / a polymerases α β ε E mitochondrial DN / a polymerase γ.
Tenofovir Disoproxil Fumarato
TDF is an acyclic nucleoside phosphonate diester analog of adenosine monophosphate. TDF requires initial diester hydrolysis for conversion to tenofovir E subsequent phosphorylations by cellular enzymes to form tenofovir diphosphate (TFV-DP) which inhibits the activity of HIV-1 RT by competing with the natural substrate deoxyadenosine 5′triphosphate E after incorporation into DN / a by DN / a chain termination. TFV-DP is a weak inhibitor of mammalian DN / a polymerases α β E mitochondrial DN / a polymerase γ.
Attività antivirale
Emtricitabina E Tenofovir Disoproxil Fumarato
Nessun antagonismo è stato osservato negli studi di combinazione che valutano la coltura cellulare antivirale Attività di FTC e tenofovir insieme.
Emtricitabina
L'attività antivirale di FTC contro gli isolati di laboratorio e clinici dell'HIV-1 è stata valutata nelle linee cellulari linfoblastoidee la linea cellulare Magi-CCR5 e le cellule mononucleate del sangue periferico. La concentrazione effettiva del 50% (EC 50 ) I valori per FTC erano nell'intervallo di 0,0013-0,64 μm (NULL,0003-0,158 μg/mL). Negli studi di combinazione di farmaci su FTC con inibitori della RT nucleosidica (abacavir lamivudina stavudina zidovudina) inibitori della RT non nucleosidica (delavirdina efavirenz nevirapina) e inibitori della proteasi (amprenavir nelfinavir ritonavir saquinavir) NO è osservato antagonismo. L'emtricitabina ha mostrato attività antivirale nella coltura cellulare contro le lame HIV-1 A B C D E F e G (EC 50 I valori variavano da 0,007-0,075 μm) e hanno mostrato attività specifica della deformazione contro l'HIV-2 (EC 50 I valori variavano da 0,007-1,5 μm).
Tenofovir Disoproxil Fumarato
L'attività antivirale di tenofovir contro gli isolati di laboratorio e clinici dell'HIV-1 è stata valutata nelle linee cellulari cellulari linfoblastoidee cellulari di monociti/macrofagi primari e linfociti del sangue periferico. La EC 50 I valori per tenofovir erano nell'intervallo di 0,04-8,5 μm. Negli studi sulla combinazione di farmaci di tenofovir con inibitori della RT nucleosidica (abacavir didanosina lamivudina stavudina zidovudina) non-nucleoside RT inibitori di RT (delavirdine efavirenz nevirapina) e inibitori della proteasi (amprenavir non antulinavir che non è stato osservato. Il tenofovir ha mostrato attività antivirale nella coltura cellulare contro le lame HIV-1 A B C D E F G e O (EC 50 I valori variavano da 0,5-2,2 μm) e hanno mostrato attività specifica per la deformazione contro l'HIV-2 (EC 50 I valori variavano da 1,6 μm a 5,5 μm).
Attività profilattica in un modello di primati non umano di trasmissione dell'HIV-1
Emtricitabina E Tenofovir Disoproxil Fumarato
L'attività profilattica della combinazione di FTC orale giornaliero e TDF è stata valutata in uno studio controllato di macachi inoculati una volta a settimana per 14 settimane con virus chimerico SIV/HIV-1 (SHIV) applicato sulla superficie rettale. Dei 18 animali di controllo 17 sono stati infettati dopo una mediana di 2 settimane. Al contrario 4 dei 6 animali trattati quotidianamente con FTC orale e TDF non sono rimasti infetti e le due infezioni che si sono verificate sono state significativamente ritardate fino a 9 e 12 settimane e hanno mostrato una ridotta viremia. Una variante resistente alla FTC che espressione di M184 è emersa in 1 dei 2 macachi dopo 3 settimane di continua esposizione ai farmaci.
Resistenza
Emtricitabina E Tenofovir Disoproxil Fumarato
HIV-1 isolates with reduced susceptibility to the combination of Ftc E tenofovir have been selected in cell culture. Genotypic analysis of these isolates identified the M184V/I E/or K65R amino acid substitutions in the viral RT. In addition a K70E substitution in the HIV-1 RT has been selected by tenofovir E results in reduced susceptibility to tenofovir.
Nello studio 934 Uno studio clinico su soggetti naïve al trattamento [vedi Studi clinici ] L'analisi della resistenza è stata eseguita su isolati dell'HIV-1 da tutti i soggetti di insufficienza virologica confermati con oltre 400 copie/mL di RNA dell'HIV-1 alla settimana 144 o sospensione precoce. Lo sviluppo di sostituzioni associate alla resistenza di Efavirenz si sono verificate più frequentemente ed era simile tra i bracci di trattamento. La sostituzione di aminoacidi M184V associata alla resistenza a FTC e lamivudina è stata osservata in isolati di soggetto analizzati 2/19 nel gruppo TDF FTC e nel 10/29 analizzati isolati di soggetti nel gruppo zidovudina/lamivudina. Per 144 settimane di studio 934 nessun soggetto ha sviluppato una sostituzione rilevabile K65R o K70E nel loro HIV-1 analizzato attraverso l'analisi genotipica standard.
Emtricitabina
Ftc-resistant isolates of HIV-1 have been selected in cell culture E in vivo . L'analisi genotipica di questi isolati ha mostrato che la ridotta suscettibilità all'FTC era associata a una sostituzione nel gene HIV-1 RT al codone 184 che ha provocato una sostituzione aminoacidica di metionina da parte della valina o dell'isoleucina (M184V/I).
Tenofovir Disoproxil Fumarato
HIV-1 isolates with reduced susceptibility to tenofovir have been selected in cell culture. These viruses expressed a K65R substitution in RT E showed a 2-to 4-fold reduction in susceptibility to tenofovir.
Nei soggetti naïve al trattamento gli isolati da 8/47 (17%) i soggetti analizzati hanno sviluppato la sostituzione K65R nel braccio TDF per 144 settimane; 7 si sono verificati nelle prime 48 settimane di trattamento e 1 alla settimana 96. Nei soggetti esperti del trattamento 14/304 (5%) isolati dai soggetti che non hanno avuto TDF fino alla settimana 96 hanno mostrato maggiori di 1,4 volte (mediana 2,7) ridotto la suscettibilità al tenofovir. L'analisi genotipica degli isolati resistenti ha mostrato una sostituzione di aminoacidi K65R nell'HIV-1 RT.
Prova Iprex
Nello studio Iprex uno studio clinico su soggetti sieronegativi per adulti HIV-1 [vedi Studi clinici ] Non sono state rilevate sostituzioni di aminoacidi associate alla resistenza a FTC o TDF al momento della sieroconversione tra 48 soggetti nel gruppo Truvada e 83 soggetti nel gruppo placebo che sono stati infettati dall'HIV-1 durante lo studio. È stato osservato che dieci soggetti sono infetti da HIV-1 al momento dell'iscrizione. Le sostituzioni M184V/I associate alla resistenza alla FTC sono state osservate in 3 dei 10 soggetti (2 di 2 nel gruppo Truvada e 1 su 8 nel gruppo placebo). Uno dei due soggetti del gruppo Truvada ospitava virus selvaggio all'iscrizione e sviluppò la sostituzione M184V 4 settimane dopo l'iscrizione. L'altro soggetto aveva una resistenza indeterminata all'iscrizione, ma si è scoperto che la sostituzione M184i 4 settimane dopo l'iscrizione.
Partners Prep Trial
Nella sperimentazione di preparazione dei partner uno studio clinico su soggetti sieronegativi per adulti sieronegativi [vedi Studi clinici ] Non sono state rilevate varianti che esprimono sostituzioni di aminoacidi associate alla resistenza a FTC o TDF al momento della sieroconversione tra 12 soggetti nel gruppo Truvada 15 soggetti nel gruppo TDF e 51 soggetti nel gruppo placebo. È stato osservato che quattordici soggetti sono stati infetti da HIV-1 al momento dell'iscrizione (3 nel gruppo Truvada 5 nel gruppo TDF e 6 nel gruppo placebo). Uno dei tre soggetti del gruppo Truvada che è stato infettato da virus di tipo selvaggio durante l'iscrizione ha selezionato un M184V che esprimeva il virus entro la settimana 12. Due dei cinque soggetti nel gruppo TDF avevano virus resistenti al tenofovir al momento della sieroconversione; Un soggetto infetto da virus di tipo selvaggio durante l'iscrizione ha sviluppato una sostituzione K65R entro la settimana 16 mentre il secondo soggetto aveva un virus che esprimeva la combinazione di sostituzioni D67N e K70R alla sieroconversione alla settimana 60, sebbene il virus basale non fosse genotipizzato ed non è chiaro se la resistenza è emersa o sia stata trasmessa. A seguito di iscrizione 4 soggetti (2 nel gruppo TDF 1 nel gruppo Truvada e 1 nel gruppo placebo) avevano un virus che esprimeva sostituzioni K103N o V106A che conferiscono una resistenza di alto livello a NNRtis ma non sono stati associati a FTC o TDF e potrebbero essere stati presenti nel virus infettato.
Processo ATN113
In ATN113 uno studio clinico su soggetti adolescenti sieronegativi dell'HIV-1 [vedi Utilizzare in popolazioni specifiche ] Non sono state rilevate sostituzioni di aminoacidi associate alla resistenza a FTC o TDF al momento della sieroconversione da uno dei 3 soggetti che sono stati infettati con l'HIV-1 durante lo studio. Tutti e 3 i soggetti che sieroconvertivano non erano aderenti al dosaggio di Truvada raccomandato.
Resistenza incrociata
Emtricitabina E Tenofovir Disoproxil Fumarato
La resistenza incrociata tra alcuni NRTI è stata riconosciuta. Le sostituzioni M184V/I e/o K65R selezionate nella coltura cellulare dalla combinazione di FTC e tenofovir sono anche osservate in alcuni isolati di HIV-1 da soggetti che non riescono al trattamento con tenofovir in combinazione con FTC o lamivudina e abacavir o didanosina. Pertanto, la resistenza incrociata tra questi farmaci può verificarsi in pazienti il cui virus ospita o entrambe queste sostituzioni di aminoacidi.
Emtricitabina
Ftc-resistant isolates (M184V/I) were cross-resistant to lamivudine but retained susceptibility in cell culture to the NRTIs Didanosina stavudine tenofovir E zidovudine E to NNRTIs (delavirdine Seavirenz E nevirapine). HIV-1 isolates containing the K65R substitution selected in vivo di Abacavir didanosina e tenofovir hanno dimostrato una ridotta suscettibilità all'inibizione da parte di FTC. I virus che ospitano sostituzioni che conferiscono una ridotta suscettibilità alla stavudina e alla zidovudina (M41L D67N K70R L210W T215Y/F K219Q/E) o didanosina (L74V) sono rimaste sensibili a FTC. L'HIV-1 contenente la sostituzione K103N associata alla resistenza agli NNRTI era sensibile a FTC.
Tenofovir Disoproxil Fumarato
Le sostituzioni K65R e K70E selezionate da tenofovir sono anche selezionate in alcuni pazienti infetti da HIV-1 trattati con abacavir o didanosina. Gli isolati dell'HIV-1 con le sostituzioni K65R e K70E hanno anche mostrato una ridotta suscettibilità a FTC e lamivudina. Pertanto, la resistenza incrociata tra questi NRTI può verificarsi in pazienti il cui virus ospita le sostituzioni K65R o K70E. Gli isolati dell'HIV-1 dai soggetti (n = 20) il cui HIV-1 espresse una media di 3 sostituzioni di aminoacidi RT Zidovudineasociate (M41L D67N K70R L210W T215Y/F o K219Q/E/N) hanno mostrato una riduzione di 3,1 volte nella suscettibilità al tenofovir. I soggetti il cui virus ha espresso una sostituzione L74V senza sostituzioni associate alla resistenza alla zidovudina (n = 8) avevano una risposta ridotta al TDF. Sono disponibili dati limitati per i pazienti il cui virus ha espresso una sostituzione Y115F (n = 3) sostituzione Q151M (n = 2) o inserimento T69 (n = 4) che hanno avuto una risposta ridotta.
Tossicologia animale e/o farmacologia
Tenofovir E TDF administered in toxicology studies to rats dogs E monkeys at exposures (based on AUCs) greater than or equal to 6-fold those observed in humans caused bone toxicity. In monkeys the bone toxicity was diagnosed as osteomalacia. Osteomalacia observed in monkeys appeared to be reversible upon dose reduction or discontinuation of tenofovir. In rats E dogs the bone toxicity manifested as reduced bone mineral density. The mechanism(s) underlying bone toxicity is unknown.
La prova della tossicità renale è stata osservata in quattro specie animali. L'aumento della creatinina glicosuria proteinuria fosfaturia e/o calciuria e diminuzioni del fosfato sierico sono state osservate a vari gradi in questi animali. Queste tossicità sono state notate alle esposizioni (basate su AUCS) 2-20 volte superiori a quelle osservate nell'uomo. Non è nota la relazione delle anomalie renali in particolare la fosfaturia con la tossicità ossea.
Studi clinici
Panoramica degli studi clinici
L'efficacia e la sicurezza di Truvada sono state valutate negli studi riassunti nella Tabella 13.
Tabella 13 Studi condotti con Truvada per il trattamento dell'HIV-1 e HIV-1 Prep
| Prova | Popolazione | Armi da studio (N) a | Timepoint |
| Studio 934 b (NCT00112047) | HIV-infected treatment-naïve adults | Ftc+TDF + Seavirenz (257) zidovudine/lamivudine + Seavirenz (254) | 48 settimane |
| iprex c (NCT00458393) | HIV-seronper esempioative men or transgender women who have sex with men | Lo trovo (1251) Placebo (1248) | 4237 persone anni |
| Partners Prep c (NCT00557245) | HIV serodiscordant heterosexual couples | Lo trovo (1583) Placebo (1586) | 7827 persone anni |
| UN. Randomizzato e dosato. B. Studio randomizzato a divieto di etichetta aperta. C. Studio randomizzato in doppio cieco controllato con placebo. |
Risultati della sperimentazione clinica per il trattamento dell'HIV-1: studio 934
Dati through 144 weeks are reported for Studio 934 a rEomized open-label active-controlled multicenter trial comparing Ftc+TDF administered in combination with Seavirenz (EFV) versus zidovudine (AZT)/lamivudine (3TC) fixed-dose combination administered in combination with EFV in 511 antiretroviral-naïve adult subjects. From Weeks 96 to 144 of the trial subjects received Lo trovo with EFV in place of Ftc+TDF with EFV. Subjects had a mean age of 38 years (range 18–80); 86% were male 59% were Caucasian E 23% were Black. The mean baseline CD4+ cell count was 245 cells/mm 3 (intervallo 2-1191) e l'RNA di HIV-1 di base mediano HIV-1 era 5,01 Copie Log10/mL (intervallo 3.56-6,54). I soggetti sono stati stratificati per conteggio delle cellule CD4 basali (
Tabella 14 Risultati virologici del trattamento randomizzato alle settimane 48 e 144 (Studio 934)
| Risultati | Alla settimana 48 | Alla settimana 144 | ||
| Ftc+ TDF +EFV (N=244) | IT/3TC EFV (n = 243) | Ftc+ TDF +EFV (N=227) a | IT/3TC EFV (n = 229) a | |
| Risponditore b | 84% | 73% | 71% | 58% |
| Insufficienza virologica c | 2% | 4% | 3% | 6% |
| 1% | 3% | 2% | 5% | |
| 0% | 0% | 0% | 0% | |
| 1% | 1% | 1% | 1% | |
| Morte | <1% | 1% | 1% | 1% |
| Interrotto a causa dell'evento avverso | 4% | 9% | 5% | 12% |
| Interrotto per altri motivi d | 10% | 14% | 20% | 22% |
| UN. Soggetti che erano soccorritori alla settimana 48 o settimana 96 (HIV-1 RNA <400 copies/mL) but did not consent to continue trial after Week 48 or Week 96 were excluded from analysis. B. Soggetti raggiunti e mantenuti l'HIV-1 RNA confermato <400 copies/mL through Weeks 48 E 144. C. Include il rimbalzo virale confermato e il mancato raggiungimento confermato <400 copies/mL through Weeks 48 E 144. D. Include la violazione del protocollo di non conformità per il prelievo di perdita di perdita di follow-up. |
Durante la settimana 48 84% e 73% dei soggetti nel gruppo TDF FTC e nel gruppo AZT/3TC hanno rispettivamente raggiunto e mantenuto l'RNA dell'HIV-1 <400 copies/mL (71% E 58% through Week 144). The difference in the proportion of subjects who achieved E maintained HIV-1 RN / a <400 copies/mL through 48 weeks is largely due to the higher number of discontinuations due to adverse events E other reasons in the AZT/3TC group in this open-label trial. In addition 80% E 70% of subjects in the Ftc+TDF group E the AZT/3TC group respectively achieved E maintained HIV-1 RN / a <50 copies/mL through Week 48 (64% E 56% through Week 144). The mean increase from baseline in CD4+ cell count was 190 cells/mm 3 Nel gruppo TDF FTC e 158 celle/mm 3 Nel gruppo AZT/3TC alla settimana 48 (312 e 271 celle/mm 3 alla settimana 144).
Attraverso 48 settimane 7 soggetti nel gruppo TDF FTC e 5 soggetti nel gruppo AZT/3TC hanno avuto un nuovo evento di classe C CDC (10 e 6 soggetti per 144 settimane).
Risultati della sperimentazione clinica per la preparazione dell'HIV-1: iprex
Lo studio IPREX è stato uno studio multinazionale randomizzato in doppio cieco controllato con placebo che valutava Truvada in 2499 uomini sieronegativi dell'HIV o donne transgender che fanno sesso con uomini e con prove di comportamenti ad alto rischio per l'infezione da HIV-1. La prova del comportamento ad alto rischio includeva una delle seguenti segnalazioni che si sono verificate fino a sei mesi prima dello screening dello studio: nessun uso del preservativo durante il rapporto anale con un partner HIV-1 positivo o un partner dello stato dell'HIV sconosciuto; rapporti anali con più di 3 partner sessuali; scambio di regali di denaro riparo o droghe per il sesso anale; sesso con partner maschile e diagnosi di infezione a trasmissione sessuale; Nessun uso coerente dei preservativi con partner sessuale noto per essere HIV-1 positivo.
Tutti i soggetti hanno ricevuto i preservativi mensili di consulenza per la riduzione del rischio dell'HIV-1 e la gestione delle infezioni a trasmissione sessuale. Dei soggetti iscritti 2499 1251 ricevette Truvada e 1248 ricevette placebo. L'età media dei soggetti era di 27 anni; Il 5% era asiatico 9% nero 18% bianco e 72% ispanico/latino.
I soggetti sono stati seguiti per 4237 persone anni. La misura di esito primaria era l'incidenza della sieroconversione HIV documentata. Alla fine del trattamento è stata osservata sieroconversione emergente dell'HIV-1 in 131 soggetti di cui 48 si sono verificati nel gruppo Truvada e 83 nel gruppo placebo che indicano una riduzione del 42% (IC 95%: 18-60%) del rischio. La riduzione del rischio è risultata essere maggiore (53%; IC 95%: 34-72%) tra i soggetti che hanno riportato un precedente rapporto anale non protetto (URAI) allo screening (732 e 753 soggetti hanno riportato URAI nelle ultime 12 settimane allo screening nei gruppi di Truvada e placebo rispettivamente). In uno studio di controllo post-hoc sui livelli plasmatici e di farmaci intracellulari in circa il 10% dei soggetti dello studio la riduzione del rischio sembrava essere maggiore nei soggetti con concentrazioni rilevabili di tenofovir di difosfato intracellulare. L'efficacia era quindi fortemente correlata con l'adesione.
Risultati della sperimentazione clinica per la preparazione dell'HIV-1: preparazione dei partner
La sperimentazione di preparazione dei partner è stata una prova randomizzata a 3 bracci controllata da placebo condotta in 4758 coppie eterosessuali serodiscordanti HIV-1 in Kenya e Uganda per valutare l'efficacia e la sicurezza di TDF (n = 1589) e FTC/TDF (n = 1583) contro il commento parallelo (parallelo) partner non infetto.
Tutti i soggetti partner non infetti hanno ricevuto una valutazione mensile per i test dell'HIV-1 della valutazione dell'adesione del comportamento sessuale e delle valutazioni della sicurezza. Le donne sono state anche testate mensilmente per la gravidanza. Le donne che sono rimaste incinte durante lo studio hanno studiato farmaci interrotti per la durata della gravidanza e durante l'allattamento. I soggetti partner non infetti erano prevalentemente maschi (61-64% tra i gruppi di farmaci di studio) e avevano un'età media di 33-34 anni.
In seguito a 7827 anni di follow-up 82 sieroconversioni di HIV-1 emergenti sono stati riportati con un tasso di sieroindence osservata complessiva di 1,05 per 100 persone. Delle 82 sieroconversioni 13 e 52 si sono verificate rispettivamente nei soggetti partner randomizzati a Truvada e placebo. Due delle 13 sieroconversioni nel braccio di Truvada e 3 delle 52 sieroconversioni nel braccio placebo si sono verificate nelle donne durante le interruzioni del trattamento per la gravidanza. La riduzione del rischio per Truvada rispetto al placebo era del 75% (IC 95%: 55–87%). In uno studio di controllo post-hoc sui livelli di farmaci plasmatici in circa il 10% dei soggetti dello studio la riduzione del rischio sembrava essere maggiore nei soggetti con concentrazioni di tenofovir plasmatiche rilevabili. L'efficacia era quindi fortemente correlata con l'adesione.
Informazioni sul paziente per Truvada
Lo trovo ®
(Tru-Vah-dah)
(emtricitabina e tenofovir disoproxil fumarate) compresse
Leggi questa guida ai farmaci prima di iniziare a prendere Truvada e ogni volta che ricevi una ricarica. Potrebbero esserci nuove informazioni. Queste informazioni non prendono il posto di parlare con il proprio operatore sanitario sulla tua condizione medica o il trattamento.
Questa guida ai farmaci fornisce informazioni su due diversi modi in cui Truvada può essere utilizzato. Vedi la sezione Cos'è Truvada? Per informazioni dettagliate su come si può usare Truvada.
Quali sono le informazioni più importanti che dovrei sapere su Truvada?
Lo trovo can cause serious side Sefects including:
- Peggioramento dell'infezione da virus dell'epatite B (HBV). Il tuo operatore sanitario ti metterà alla prova per HBV prima dell'inizio o quando inizi il trattamento con Truvada. Se hai un'infezione da HBV e prendi Truvada, il tuo HBV potrebbe essere girato (riacpa) se smetti di prendere Truvada. Una riacutizzazione è quando l'infezione da HBV torna improvvisamente in modo peggiore di prima.
- Non esaurirsi da Truvada. Riempi la prescrizione o parla con il tuo medico prima che il tuo Truvada sia sparito.
- Non smettere di prendere Truvada senza prima parlare con il tuo operatore sanitario.
- Se smetti di prendere Truvada, il tuo operatore sanitario dovrà controllare spesso la tua salute e fare esami del sangue regolarmente per diversi mesi per controllare l'infezione da HBV o darti un medicinale per curare l'epatite B. Dì al tuo operatore sanitario di eventuali sintomi nuovi o insoliti che potresti avere dopo smettere di prendere Truvada.
Per ulteriori informazioni sugli effetti collaterali, consultare la sezione Quali sono i possibili effetti collaterali di Truvada?.
Altre informazioni importanti per le persone che assumono Truvada per aiutare a ridurre il rischio di ottenere l'infezione da virus-1 (HIV-1) dell'immunodeficienza umana chiamata anche profilassi pre-esposizione o Prep:
Prima di prendere Truvada per ridurre il rischio di ottenere l'HIV-1:
- Devi essere HIV-1 negativo per iniziare Truvada. Devi essere testato per assicurarti di non avere già un'infezione da HIV-1.
- Non prendere Truvada per la preparazione all'HIV-1 a meno che tu non sia confermato come HIV-1 negativo.
- Alcuni test dell'HIV-1 possono perdere l'infezione da HIV-1 in una persona che è stata recentemente infettata. Se hai sintomi simili all'influenza, potresti esserti recentemente infettato dall'HIV-1. Di 'al tuo operatore sanitario se hai avuto una malattia simile all'influenza nell'ultimo mese prima di iniziare Truvada o in qualsiasi momento durante l'assunzione di Truvada. I sintomi della nuova infezione da HIV1 includono:
- stanchezza
- vomito or diarrea
- febbre
- eruzione cutanea
- dolori articolari o muscolari
- sudori notturni
- mal di testa
- linfonodi ingranditi nel collo o all'inguine
- mal di gola
Mentre stai prendendo Truvada per l'HIV-1 Prep:
- Lo trovo does not prevent other sexually transmitted infections (STIs). Practice safer sex by using a latex or polyurethane condom to reduce the risk of getting STIs.
- Devi rimanere sieropositivo per continuare a prendere Truvada per la preparazione all'HIV-1.
- Conosci il tuo stato dell'HIV-1 e lo stato dell'HIV-1 dei tuoi partner.
- Chiedi ai tuoi partner con l'HIV-1 se stanno assumendo medicinali anti-HIV-1 e hai un carico virale non rilevabile. Un carico virale non rilevabile è quando la quantità di virus nel sangue è troppo bassa per essere misurata in un test di laboratorio. Per mantenere un carico virale non rilevabile, i tuoi partner devono continuare ad assumere medicinali per l'HIV-1 ogni giorno. Il rischio di ottenere l'HIV-1 è inferiore se i tuoi partner con HIV-1 stanno assumendo un trattamento efficace.
- Fatti testare per l'HIV-1 almeno ogni 3 mesi o quando il tuo operatore sanitario ti dice.
- Essere testato per altre IST come sifilide Chlamydia e gonorrea. Queste infezioni rendono più facile per l'HIV-1 infettarti.
- Se pensi di essere stato esposto all'HIV-1, racconta subito al tuo operatore sanitario. Potrebbero voler fare più test per essere sicuri che tu sia ancora HIV-1 negativo.
- Ottieni informazioni e supporto per aiutare a ridurre i comportamenti a rischio sessuale.
- Non perdere alcuna dosi di Truvada. Le dosi mancanti aumentano il rischio di ottenere l'infezione da HIV-1.
- Se diventi HIV-1 positivo, hai bisogno di più medicine di Truvada da solo per curare l'HIV-1. Truvada di per sé non è un trattamento completo per l'HIV-1.
Se hai l'HIV-1 e prendi solo Truvada nel tempo il tuo HIV-1 potrebbe diventare più difficile da trattare.
Cos'è Truvada?
Lo trovo is a prescription medicine that may be used in two different ways. Lo trovo is used:
- Per trattare l'infezione da HIV-1 se usato con altri medicinali anti-HIV-1 negli adulti e nei bambini che pesano almeno 37 libbre (almeno 17 kg).
- Per la preparazione all'HIV-1 per ridurre il rischio di ottenere infezione da HIV-1 negli adulti e negli adolescenti che pesano almeno 77 libbre (almeno 35 kg).
HIV-1 is the virus that causes Acquired Immune DSeiciency Syndrome (AIDS).
Lo trovo contains the prescription medicines emtricitabina e tenofovir disoproxil fumarato.
Non è noto se Truvada per il trattamento dell'infezione da HIV-1 è sicuro ed efficace nei bambini che pesano meno di 37 libbre (17 kg).
Non è noto se Truvada è sicuro ed efficace nel ridurre il rischio di infezione da HIV-1 nelle persone che pesano meno di 77 libbre (35 kg).
Per le persone che assumono Truvada per la preparazione all'HIV-1:
Non prendere Truvada per la preparazione all'HIV-1 se:
- Hai già un'infezione da HIV-1. Se sei HIV-1 positivo, devi prendere altri medicinali con Truvada per trattare l'HIV-1. Truvada di per sé non è un trattamento completo per l'HIV-1.
- Non conosci il tuo stato di infezione da HIV-1. Potresti già essere HIV-1 positivo. Devi prendere altri medicinali per l'HIV-1 con Truvada per curare l'HIV-1.
Lo trovo can only help reduce your risk of getting HIV-1 bSeore you are infected.
Cosa dovrei dire al mio medico prima di prendere Truvada?
Prima di prendere Truvada, racconta al tuo operatore sanitario su tutte le tue condizioni mediche, anche se tu:
Registro di gravidanza: C'è un registro di gravidanza per le persone che prendono Truvada durante la gravidanza. Lo scopo di questo registro è raccogliere informazioni sulla salute di te e del tuo bambino. Parla con il tuo operatore sanitario di come puoi prendere parte a questo registro.
- Avere problemi epatici tra cui l'infezione da HBV
- avere problemi ai reni o ricevere il trattamento della dialisi renale
- avere problemi ossei
- sono incinta o prevedono di rimanere incinta. Non è noto se Truvada può danneggiare il tuo bambino non ancora nato. Di 'al tuo operatore sanitario se rimani incinta durante il trattamento con Truvada.
- stanno allattando o pianificano di allattare. Truvada può passare al tuo bambino nel latte materno.
- Non allattare al seno se hai l'HIV-1 o se pensi di essere stato recentemente infettato dall'HIV-1 a causa del rischio di passare l'HIV-1 al tuo bambino.
- Se prendi Truvada per la preparazione dell'HIV-1, parla con il tuo operatore sanitario sul modo migliore per nutrire il tuo bambino.
Di 'al tuo operatore sanitario di tutte le medicine che prendi tra cui prescrizione e medicine da banco vitamine e integratori a base di erbe.
Alcuni medicinali possono interagire con Truvada. Tieni un elenco dei tuoi medicinali e mostralo al tuo medico e al farmacista quando ottieni un nuovo medicinale.
- Puoi chiedere al tuo medico o al farmacista un elenco di medicinali che interagiscono con Truvada.
- Non avviare una nuova medicina senza dirlo al tuo operatore sanitario. Il tuo operatore sanitario può dirti se è sicuro prendere Truvada con altri medicinali.
Come dovrei prendere Truvada?
- Prendi Truvada esattamente come il tuo operatore sanitario ti dice di prenderlo. Se prendi Truvada per trattare l'infezione da HIV-1 devi prendere altri medicinali per l'HIV-1. Il tuo operatore sanitario ti dirà quali medicinali assumere e come prenderli.
- Prendi Truvada 1 ora ogni giorno con o senza cibo.
- Ai bambini che assumono a Truvada viene prescritta una compressa a resistenza inferiore rispetto agli adulti. I bambini dovrebbero ingoiare la compressa Truvada. Di 'al tuo operatore sanitario se tuo figlio non può ingoiare il tablet perché potrebbe aver bisogno di una medicina HIV-1 diversa.
- Il tuo operatore sanitario cambierà la dose di Truvada in base alle necessità in base al peso di tuo figlio.
- Non cambiare la tua dose o smettere di prendere Truvada senza prima parlare con il tuo operatore sanitario. Resta sotto le cure di un operatore sanitario quando prendi Truvada. Non perdere una dose di Truvada.
- Se prendi troppi Truvada chiama il tuo medico o vai subito al pronto soccorso dell'ospedale più vicino.
- Quando la tua fornitura di Truvada inizia a essere bassa, ottieni di più dal tuo operatore sanitario o dalla farmacia.
- Se stai assumendo Truvada per il trattamento dell'HIV-1, la quantità di virus nel sangue può aumentare se la medicina viene fermata anche per un breve periodo. Il virus può sviluppare resistenza a Truvada e diventare più difficile da trattare.
- Se stai assumendo Truvada per la preparazione dell'HIV-1 dosi mancanti aumenta il rischio di ottenere l'infezione da HIV-1.
Quali sono i possibili effetti collaterali di Truvada?
Lo trovo may cause serious side Sefects including:
- Guarda quali sono le informazioni più importanti che dovrei sapere su Truvada?
- Problemi renali nuovi o peggiori tra cui insufficienza renale. Il tuo operatore sanitario dovrebbe eseguire test di sangue e urina per controllare i reni prima di iniziare e durante il trattamento con Truvada. Il tuo operatore sanitario potrebbe dirti di prendere Truvada meno spesso o di smettere di prendere Truvada se si ottengono problemi di reni nuovi o peggiori.
- Cambiamenti nel sistema immunitario (sindrome della ricostituzione immunitaria) Può accadere quando si assumono medicinali per trattare l'infezione da HIV-1. Il tuo sistema immunitario potrebbe diventare più forte e iniziare a combattere le infezioni che sono state nascoste nel tuo corpo per molto tempo. Di 'subito al tuo operatore sanitario se inizi ad avere nuovi sintomi dopo aver iniziato la medicina dell'HIV-1.
- Problemi ossei Può accadere in alcune persone che prendono Truvada. I problemi ossei includono dolore osseo o ammorbidimento o diradamento delle ossa che possono portare a fratture. Potrebbe essere necessario eseguire test per controllare le ossa.
- Troppo acido lattico nel sangue (acidosi lattica). Troppo acido lattico è una grave ma rara emergenza medica che può portare alla morte. Di 'subito al tuo operatore sanitario se si ottengono questi sintomi: debolezza o essere più stanco del solito dolore muscolare insolito a corto di respiro o mal di respirazione rapida con nausea e vomito le mani e i piedi freddi o blu si sente vertigini o avvolgenti o un battito cardiaco veloce o anormale.
- Gravi problemi epatici. In rari casi possono verificarsi gravi problemi epatici che possono portare alla morte. Dì subito al tuo operatore sanitario se si ottengono questi sintomi: la pelle o la parte bianca dei tuoi occhi trasforma le feci di colore chiaro color tè scuro giallo perdita di appetito per diversi giorni o nausea più lunga o dolore all'area dello stomaco.
Gli effetti collaterali più comuni di Truvada per il trattamento dell'HIV-1 includono:
- diarrea
- depressione
- nausea
- Problemi che dormono
- stanchezza
- sogni anormali
- mal di testa
- eruzione cutanea
- vertigini
Gli effetti collaterali comuni nelle persone che prendono Truvada per la preparazione dell'HIV-1 includono:
- mal di testa
- Dolore dell'area di stomaco (addome)
- Diminuzione del peso
Questi non sono tutti i possibili effetti collaterali di Truvada.
Chiama il medico per consigli medici sugli effetti collaterali. È possibile segnalare gli effetti collaterali alla FDA al numero 1-800-FDA-1088.
Come dovrei conservare Truvada?
- Conservare Truvada a temperatura ambiente compresa tra 68 ° F e 77 ° F (da 20 ° C a 25 ° C).
- Mantieni Truvada nel suo contenitore originale.
- Mantieni il contenitore strettamente chiuso.
- Non usare Truvada se l'apertura della bottiglia è rotta o mancante.
Mantieni Truvada e tutti gli altri medicinali fuori dalla portata dei bambini.
Informazioni generali su Truvada.
Le medicine sono talvolta prescritte a fini diversi da quelli elencati in una guida ai farmaci. Non usare Truvada per una condizione per la quale non è stata prescritta. Non dare Truvada ad altre persone anche se hanno gli stessi sintomi che hai. Potrebbe danneggiare loro. Puoi chiedere al tuo operatore sanitario o al farmacista informazioni su Truvada che è scritto per gli operatori sanitari.
Quali sono gli ingredienti di Truvada?
Ingredienti attivi: emtricitabina e tenofovir disoproxil fumarato.
Ingredienti inattivi: Croscarmellosio con lattosio sodico monoidrato magnesio stearato cellulosa microcristallina e amido pregelatinizzato (privo di glutine). Le compresse di resistenza da 200 mg/300 mg sono rivestite con Opadry II Blue Y-30-10701 che contiene FD
Questa guida ai farmaci è stata approvata dalla Food and Drug Administration degli Stati Uniti.