Le Informazioni Presenti Sul Sito Non Costituiscono Consulenza Medica. Non Vendiamo Nulla. L'Accuratezza Della Traduzione Non È Garantita. Disclaimer
Anticholinergics, genitourinary
Toviaz
Riepilogo della droga
Cos'è Toviaz?
Toviaz (Fesoterodine fumarate) è un antagonista del recettore muscarinico che riduce gli spasmi del vescia I muscoli usati per trattare la vescica iperattiva con sintomi di urgenza e incontinenza della frequenza urinaria.
Quali sono gli effetti collaterali di Toviaz?
Toviaz
- dolore al petto
- frequenza cardiaca rapida o irregolare
- gonfiore delle mani o dei piedi
- forte mal di stomaco
- stipsi
- confusione
- allucinazioni
- poca o nessuna minzione
- dolore o bruciore quando urini
- Sentirsi molto assetato o caldo
- non essere in grado di urinare
- forte sudorazione e
- pelle calda e secca
Ottieni subito assistenza medica se hai uno qualsiasi dei sintomi sopra elencati.
Gli effetti collaterali comuni di Toviaz includono:
- bocca secca
- occhi secchi
- stipsi
- vertigini
- sonnolenza
- visione sfocata
- Dolori di stomaco o sconvolgimento
- tosse
- gola secca
- mal di schiena O
- Problemi di sonno (insonnia).
Dì al tuo medico se hai effetti collaterali improbabili ma gravi di Toviaz, incluso:
- stipsi lasting 3 O mOe days
- Forte stomaco o dolore addominale
- problemi di urinare o
- Segni di infezione renale (come bruciore o minzione dolorosa con la febbre del mal di schiena).
Cerca cure mediche o chiama il 911 contemporaneamente se hai i seguenti gravi effetti collaterali:
- Sintomi di occhiali gravi come la perdita di visione improvvisa del tunnel della visione sfocata Dolore alla visione o gonfiore o vedere aloni attorno alle luci;
- Sintomi cardiaci gravi come battiti cardiaci irregolari o martellanti veloci; svolazzando nel petto; fiato corto; e vertigini improvvise Accendino O passing out;
- Grave mal di testa confusione Il braccio del linguaggio bloccato o la debolezza delle gambe problemi perdite perdita di coordinamento sentendoti instabili muscoli molto rigidi ad alta febbre abbondante sudorazione o tremori.
Questo documento non contiene tutti i possibili effetti collaterali e altri possono verificarsi. Verificare con il tuo medico ulteriori informazioni sugli effetti collaterali.
Dosaggio per Toviaz
La dose iniziale raccomandata di Toviaz è di 4 mg una volta al giorno. Sulla base della risposta individuale e della tollerabilità, la dose può essere aumentata a 8 mg una volta al giorno.
Quali sostanze o integratori di farmaci interagiscono con Toviaz?
Toviaz può interagire con gli antidepressivi di antidepressivi di antidepressivi di antidepressivi di antidepressivi di antidepressivi con antidepressivi di triossido di arsenico conti-malaria. HIV / Aiuta medicinali medicinali per prevenire o trattare i medicinali di nausea e vomito per trattare i disturbi psichiatrici di emicrania medicinali o narcotici. Di 'al medico tutti i farmaci che usi.
Toviaz durante la gravidanza o l'allattamento
Durante la gravidanza, Toviaz dovrebbe essere usato solo quando prescritto. Non è noto se questo farmaco passi nel latte materno e l'effetto su un bambino in allattamento non è noto. Consulta il medico prima dell'allattamento al seno.
Ulteriori informazioni
Il nostro centro farmacologico di TOviaz (Fesoterodine Fumarate) fornisce una visione completa delle informazioni disponibili sui farmaci sui potenziali effetti collaterali durante l'assunzione di questo farmaco.
Informazioni sui farmaci FDA
- Descrizione del farmaco
- Indicazioni
- Effetti collaterali
- Interazioni farmacologiche
- Avvertimenti
- Overdose
- Farmacologia clinica
- Guida ai farmaci
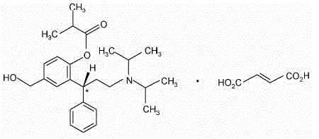
Descrizione per Toviaz
Toviaz contiene fumarate di fesoterodina ed è una compressa a rilascio prolungato. La fesoterodina viene rapidamente de-esterificata nel suo metabolita attivo (R) -2- (3-diisopropilamino-1-fenilpropil) -4-idrossimetil-fenolo o 5-idrossimetil tolterodina che è un antagonista del recettore muscarinico.
Il fumarato chimicamente di fesoterodina è designato come acido isobutirrico 2-((R) -3-diisopropilammone-1fenilpropil) -4- (idrossimetil) fumato fumato fenil estere. La formula empirica è C 30 H 41 NO 7 e il suo peso molecolare è 527,66. La formula strutturale è:
|
L'asterisco (*) indica il carbonio chirale.
Il fumarato di feseterodina è una polvere da bianco a bianco sporco che è liberamente solubile in acqua. Ogni compressa di release estesa di Toviaz contiene 4 mg o 8 mg di fumarato di fesoterodina e i seguenti ingredienti inattivi: gliceryl behenato Hypromellosio in Indigo carminio in alluminio di alumile di alumile alcolico di alumile di alumile di alumile di lattina e
Usi per Toviaz
Vescica iperattiva per adulti
Toviaz è indicato per il trattamento della vescica iperattiva (OAB) negli adulti con sintomi di urgenza e frequenza di incontinenza urinaria.
Sovrattività del detrusore neurogenico pediatrico
Toviaz è indicato per il trattamento dell'overattività del detrusore neurogenico (NDO) nei pazienti pediatrici di età pari o superiore a 6 anni con un peso corporeo superiore a 25 kg.
Dosaggio per Toviaz
Dosaggio raccomandato per i pazienti adulti con OAB
Il dosaggio iniziale raccomandato di Toviaz negli adulti è 4 mg per via orale una volta al giorno. Sulla base della risposta individuale e della tollerabilità aumentano al dosaggio massimo di Toviaz 8 mg una volta al giorno. Per le istruzioni di amministrazione vedere Dosaggio e amministrazione .
Dosaggio raccomandato per pazienti pediatrici di età pari o superiore a 6 anni con NDO
Pazienti pediatrici che pesano più di 25 kg e fino a 35 kg
Il dosaggio raccomandato di Toviaz è 4 mg per via orale una volta al giorno. Se necessario, il dosaggio può essere aumentato a Toviaz 8 mg per via orale una volta al giorno. Per le istruzioni di amministrazione vedere Dosaggio e amministrazione .
Pazienti pediatrici che pesano superiori a 35 kg
Il dosaggio iniziale raccomandato di Toviaz è 4 mg per via orale una volta al giorno. Dopo una settimana aumenta a Toviaz 8 mg per via orale una volta al giorno. Per le istruzioni di amministrazione vedere Dosaggio e amministrazione .
Dosaggio raccomandato in pazienti adulti con compromissione renale
Il dosaggio raccomandato di Toviaz in pazienti adulti con compromissione renale è descritto nella Tabella 1 [Vedi Utilizzare in popolazioni specifiche ]. Per le istruzioni di amministrazione vedere Dosaggio e amministrazione .
Tabella 1: dose raccomandata da Toviaz in pazienti adulti con compromissione renale (somministrata per via orale una volta al giorno)
| Clearance di creatinina stimata 1 | Dose consigliata |
| CLCR da 30 a 89 ml/min | 8 mg |
| CLCR da 15 a 29 ml/min | 4 mg |
| Clcr <15 mL/min | 4 mg |
| 1 Calcola CLCR usando la formula Cockcroft-Gault |
Dosaggio raccomandato in pazienti pediatrici con compromissione renale
Pazienti pediatrici che pesano più di 25 kg e fino a 35 kg
Il dosaggio raccomandato di Toviaz in pazienti pediatrici con compromissione renale del peso superiore a 25 kg e fino a 35 kg è descritto nella Tabella 2 [vedi Utilizzare in popolazioni specifiche ]. Per le istruzioni di amministrazione vedere Dosaggio e amministrazione .
Tabella 2: dose raccomandata da Toviaz in pazienti pediatrici di età pari o superiore a 6 anni di peso superiore a 25 kg e fino a 35 kg con compromissione renale (somministrata per via orale una volta al giorno)
| Tasso di filtrazione glomerulare stimata (GFR) 1 | Dose consigliata 2 |
| EGFR da 30 a 89 ml/min/1,73m² | 4 mg |
| EGFR da 15 a 29 ml/min/1,73m² | L'uso non è consigliato |
| Egfr <15 mL/min/1.73m² O requiring dialysis | L'uso non è consigliato |
| 1 Stimare il GFR utilizzando un'equazione di stima del GFR validata per la fascia di età pediatrica dell'indicazione approvata. 2 Il dosaggio è stato derivato assumendo effetti proporzionali simili della compromissione renale negli adulti e nei pazienti pediatrici di età pari o superiore a 6 anni. |
Pazienti pediatrici che pesano superiori a 35 kg
Il dosaggio raccomandato di Toviaz in pazienti pediatrici con compromissione renale di peso maggiore di 35 kg è descritto nella Tabella 3 [vedi Utilizzare in popolazioni specifiche ]. Per le istruzioni di amministrazione vedere Dosaggio e amministrazione .
Tabella 3: dose raccomandata da Toviaz in pazienti pediatrici di età pari o superiore a 6 anni di peso superiore a 35 kg con compromissione renale (somministrata per via orale una volta al giorno)
| GFR1 stimato | Dose consigliata 3 |
| EGFR da 30 a 89 ml/min/1,73m² | 8 mg 2 |
| Egfr15 to 29 mL/min/1.73m² | 4 mg |
| Egfr <15 mL/min/1.73m² O requiring dialysis | L'uso non è consigliato |
| 1 Stimare il GFR utilizzando un'equazione di stima del GFR validata per la fascia di età pediatrica dell'indicazione approvata. 2 Il dosaggio iniziale raccomandato di Toviaz è 4 mg per via orale una volta al giorno. Dopo una settimana aumenta il dosaggio raccomandato di Toviaz 8 mg per via orale una volta al giorno. 3 Il dosaggio è stato derivato assumendo effetti proporzionali simili della compromissione renale negli adulti e nei pazienti pediatrici di età pari o superiore a 6 anni. |
Modifiche al dosaggio di Toviaz a causa di forti inibitori del CYP3A4
Pazienti adulti con OAB
Il dosaggio massimo raccomandato è Toviaz 4 mg per via orale una volta al giorno nei pazienti adulti che assumono forti inibitori del CYP3A4 [vedi Interazioni farmacologiche E Farmacologia clinica ]. Per le istruzioni di amministrazione vedere Dosaggio e amministrazione .
Pazienti pediatrici con NDO
Pazienti pediatrici che pesano più di 25 kg e fino a 35 kg
L'uso di Toviaz nei pazienti pediatrici del peso superiore a 25 kg e fino a 35 kg e non è raccomandato di forti inibitori del CYP3A4 [vedi Interazioni farmacologiche E Farmacologia clinica ]. Per le istruzioni di amministrazione vedere Dosaggio e amministrazione .
Pazienti pediatrici che pesano superiori a 35 kg
Il dosaggio massimo raccomandato è Toviaz 4 mg per via orale una volta al giorno in pazienti pediatrici che pesano superiori a 35 kg e assumono forti inibitori del CYP3A4 [vedi Interazioni farmacologiche E Farmacologia clinica ]. Per le istruzioni di amministrazione vedere Dosaggio e amministrazione .
Istruzioni di amministrazione
Ingoiare Toviaz intero con liquido. Non masticare dividere o schiacciare. Prendi con o senza cibo [vedi Farmacologia clinica ].
Come fornito
Forme di dosaggio e punti di forza
Compresse a rilascio prolungato:
- 4 mg light blue oval biconvex film-coated E engraved with FS on one side.
- 8 mg blue oval biconvex film-coated E engraved with FT on one side.
Archiviazione e maneggevolezza
Toviaz (fumarato di feseterodina) compresse a rilascio prolungato 4 mg sono rivestiti di film in biconvessa ovale azzurro e inciso con FS su un lato. Sono forniti come segue:
Bottiglie di 30 Ndc 0069-0242-30
Toviaz (fumarate di fesoterodina) compresse a rilascio prolungato 8 mg sono rivestiti di pellicola in biconvessa ovale blu e incise con FT su un lato. Sono forniti come segue:
Bottiglie di 30 Ndc 0069-0244-30
Conservare da 20 ° a 25 ° C (da 68 ° a 77 ° F); Escursioni consentite tra 15 ° a 30 ° C (da 59 ° a 86 ° F) [vedi A temperatura ambiente controllata da USP ]. Protect from moisture.
Distribuito da: Pfizer Labs Division di Pfizer Inc. New York NY 10001. Revisionato: febbraio 2024
Effetti collaterali fO Toviaz
Le seguenti reazioni avverse clinicamente significative sono descritte altrove nell'etichettatura:
- Angioedema [vedi Avvertimenti e precauzioni ]
- Conservazione urinaria [vedi Avvertimenti e precauzioni ]
- Ridotta motilità gastrointestinale [vedi Avvertimenti e precauzioni ]
Esperienza di studi clinici
Poiché gli studi clinici sono condotti in condizioni di reazione avverse ampiamente variabili osservate negli studi clinici di un farmaco non possono essere paragonati direttamente ai tassi negli studi clinici di un altro farmaco e potrebbero non riflettere i tassi osservati nella pratica.
Vescica iperattiva per adulti (OAB)
La sicurezza di Toviaz è stata valutata negli studi controllati di fase 2 e 3 in un totale di 2859 pazienti con vescica iperattiva di cui 2288 sono stati trattati con Toviaz. Di questo totale 782 ricevuto Toviaz 4 mg/die e 785 hanno ricevuto Toviaz 8 mg/die con periodi di trattamento di 8-o 12 settimane. Circa l'80% di questi pazienti aveva in questi studi maggiore di 10 settimane di esposizione a Toviaz.
Un totale dei pazienti del 1964 hanno partecipato a due studi di efficacia e sicurezza di fase 3 di 12 settimane e successivi studi di estensione in aperto. In questi due studi combinati 554 pazienti hanno ricevuto Toviaz 4 mg/die e 566 pazienti hanno ricevuto Toviaz 8 mg/die.
Negli studi di fase 2 e 3 controllati con placebo hanno combinato le incidenze di eventi avversi gravi nei pazienti che ricevevano placebo Toviaz 4 mg e Toviaz 8 mg erano rispettivamente dell'1,9% 3,5% e 2,9%. Tutti gli eventi avversi gravi sono stati giudicati non correlati o improbabili che siano correlati ai farmaci di studio da parte dello investigatore ad eccezione di quattro pazienti che hanno ricevuto Toviaz che hanno riportato una grave reazione avversa ciascuno: gastroenterite del dolore toracico dell'angina e prolungamento QT sull'ECG.
L'evento avverso più comunemente riportato nei pazienti trattati con Toviaz era la bocca secca. L'incidenza della bocca secca era più alta in coloro che assumono 8 mg/die (35%) e in quelli che assumono 4 mg/die (19%) rispetto al placebo (7%). La faucia secca ha portato alla sospensione nello 0,4% 0,4% e nello 0,8% dei pazienti che hanno ricevuto rispettivamente il placebo Toviaz 4 mg e Toviaz 8 mg. Per quei pazienti che hanno riportato la bocca secca, ha avuto la prima occorrenza dell'evento entro il primo mese di trattamento.
Il secondo evento avverso più comunemente riportato è stato la costipazione. L'incidenza della costipazione è stata del 2% in coloro che hanno assunto il placebo del 4% in coloro che assumono 4 mg/die e il 6% in coloro che assumono 8 mg/die.
La tabella 4 elenca gli eventi avversi indipendentemente dalla causalità riportata negli studi combinati randomizzati controllati da placebo a un'incidenza maggiore del placebo e nell'1% o più dei pazienti trattati con Toviaz 4 mg o 8 mg una volta al giorno per fino a 12 settimane.
Tabella 4: eventi avversi con un'incidenza che supera il tasso di placebo e riportati da ≥1% dei pazienti da studi di fase 3 controllati in doppio cieco sulla durata del trattamento a 12 settimane
| System organ class/ Termine preferito | Placebo N = 554 % | Toviaz 4 mg/day N = 554 % | Toviaz 8 mg/day N = 566 % |
| Disturbi gastrointestinali | |||
| Bocca secca | 7.0 | 18.8 | 34.6 |
| Stipsi | 2.0 | 4.2 | 6.0 |
| Dispepsia | 0.5 | 1.6 | 2.3 |
| Nausea | 1.3 | 0.7 | 1.9 |
| Upperio del dolore addominale | 0.5 | 1.1 | 0.5 |
| Infezioni | |||
| Infezione del tratto urinario | 3.1 | 3.2 | 4.2 |
| Infezione del tratto respiratorio superiore | 2.2 | 2.5 | 1.8 |
| Disturbi degli occhi | |||
| Occhi secchi | 0 | 1.4 | 3.7 |
| Disturbi renali e urinari | |||
| Disuria | 0.7 | 1.3 | 1.6 |
| Conservazione urinaria | 0.2 | 1.1 | 1.4 |
| Disturbi respiratori | |||
| Tosse | 0.5 | 1.6 | 0.9 |
| Gola secca | 0.4 | 0.9 | 2.3 |
| Disturbi generali | |||
| Edema periferico | 0.7 | 0.7 | 1.2 |
| Disturbi muscoloscheletrici | |||
| Mal di schiena | 0.4 | 2.0 | 0.9 |
| Disturbi psichiatrici | |||
| Insonnia | 0.5 | 1.3 | 0.4 |
| Indagini | |||
| Alt aumentato | 0.9 | 0.5 | 1.2 |
| GGT è aumentato | 0.4 | 0.4 | 1.2 |
| Disturbi della pelle | |||
| Eruzione cutanea | 0.5 | 0.7 | 1.1 |
| Alt = alanina aminotransferasi; GGT = gamma glutamiltransferasi |
I pazienti hanno anche ricevuto Toviaz per un massimo di tre anni in fasi di estensione in aperto di studi controllati di fase 2 e due di fase 3. In tutti gli studi aperti in apertura combinati 857 701 529 e 105 pazienti hanno ricevuto Toviaz per almeno 6 mesi 1 anno 2 anni e 3 anni rispettivamente. Gli eventi avversi osservati durante gli studi a lungo termine in aperto erano simili a quelli osservati negli studi controllati con placebo di 12 settimane e includevano la costipazione secca della bocca secca Dispepsia e il dolore addominale. Simile agli studi controllati, la maggior parte degli eventi avversi della bocca secca e della costipazione erano lievi a moderati di intensità. Gli eventi avversi gravi giudicati almeno eventualmente correlati ai farmaci da studio da parte dello investigatore e hanno riferito più di una volta durante il periodo di trattamento in aperto fino a 3 anni includevano la ritenzione urinaria (3 casi) la diverticolite (3 casi) Costipazione (2 casi) Sindrome dell'intestino irritabile (2 casi) e l'elettrocardiogramma QT corretto da una prolungazione intervallo (2 casi).
Sovrattività del detrusore neurogenico pediatrico (NDIL)
La sicurezza di Toviaz è stata valutata in un totale di 131 pazienti pediatrici con NDO. I pazienti hanno ricevuto Toviaz 4 mg o Toviaz 8 mg per via orale una volta al giorno in due studi clinici (studi 3 e 4).
Lo studio 3 è stato uno studio di fase 3 su pazienti pediatrici con NDO da 6 anni a 17 anni e pesa più di 25 kg. Questo studio consisteva in una fase di efficacia di 12 settimane in cui 84 pazienti hanno ricevuto Toviaz seguito da una fase di estensione di sicurezza di 12 settimane in cui 103 pazienti hanno ricevuto Toviaz. Dei 103 pazienti che hanno ricevuto Toviaz nella fase di estensione della sicurezza 67 hanno continuato a Toviaz dalla fase di efficacia e 36 passati da un comparatore attivo nella fase di efficacia a Toviaz nella fase di estensione della sicurezza.
Lo studio 4 (n = 11) è stato uno studio farmacocinetico (PK) di fase 2 di 8 settimane e Studio di sicurezza in pazienti pediatrici con NDO da 8 anni a 17 anni.
Le reazioni avverse più comunemente riportate nei pazienti pediatrici con NDO che hanno ricevuto Toviaz 4 mg o 8 mg nello Studio 3 (≥2%) sono state la diarrea UTI secca di costipazione della bocca a secco che dolore addominale Nausea Peso aumentato e mal di testa.
La tabella 5 elenca le reazioni avverse riportate con un'incidenza maggiore o uguale al 2% in entrambi i gruppi di trattamento nella fase di efficacia dello studio 3.
Tabella 5: reazioni avverse riportate in ≥2% dei pazienti con NDO di età compresa tra 6 e 17 anni nella fase di efficacia di 12 settimane dello studio 3
| Termine preferito | Toviaz 4 mg (N = 42) % | Toviaz 8 mg (N = 42) % |
| Diarrea | 11.9 | 7.1 |
| Infezione del tratto urinario | 9.5 | 2.4 |
| Bocca secca | 7.1 | 9.5 |
| Stipsi | 7.1 | 7.1 |
| Un dolore addominale † | 7.1 | 4.8 |
| Nausea | 4.8 | 2.4 |
| Il peso è aumentato | 4.8 | 0 |
| Mal di testa | 4.8 | 7.1 |
| † Include il dolore addominale e la tomaia addominale |
Reazioni avverse oftalmologiche
Le reazioni avverse oftalmologiche tra cui il disturbo da alloggio di miopia e la visione offuscata sono state riportate in 8 su 131 (NULL,1%) pazienti pediatrici con NDO che hanno ricevuto Toviaz 4 mg o Toviaz 8 mg in Studio 3 (sia le fasi di efficacia che quella della sicurezza) e lo studio 4. Le reazioni avve ophalmologiche non hanno causato la discussione di TIVIAz.
Aumenti della frequenza cardiaca
Gli aumenti della frequenza cardiaca sono stati riportati in pazienti pediatrici con NDO che hanno ricevuto Toviaz 4 mg e Toviaz 8 mg nello Studio 3. I dati cardiaci medi sono descritti nella Tabella 6.
Tabella 6: basale media e variazioni medie rispetto al basale nella frequenza cardiaca nei pazienti pediatrici che pesano superiori a 25 kg nello studio 3
| Visita di studio | Media della frequenza cardiaca nei battiti al minuto 1 (cambiamento medio dalla linea di base) | |
| Toviaz 4 mg | Toviaz 8 mg | |
| Basale | 88.6 | 84.2 |
| Settimana 4 | 93,8 (5.2) | 94.0 (9.8) |
| Settimana 12 | 94.8 (6.2) | 94.0 (9.8) |
| Settimana 24 | 90.4 (1.8) | 90,8 (6.5) |
| 1 La frequenza cardiaca espressa come media della misurazione di base e la media ad ogni visita di studio e cambiamenti medi rispetto al basale ad ogni visita di studio da parte del gruppo di trattamento originale in pazienti con follow-up completo in tutte le visite di studio. |
La percentuale di pazienti con frequenza cardiaca maggiore del 99 ° percentile per età è aumentata anche dalla linea di base nei pazienti che hanno ricevuto Toviaz 4 mg e Toviaz 8 mg nello Studio 3. Questi dati sono descritti nella Tabella 7.
Tabella 7: percentuale di pazienti pediatrici con frequenza cardiaca superiore al 99 ° percentile per età e pesando più di 25 kg nello studio 3
| Visita di studio | Proporzione di pazienti con frequenza cardiaca> 99 ° percentile per età | |
| Toviaz 4 mg | Toviaz 8 mg | |
| Basale | 2,4% | 2,4% |
| Settimana 4 | 8,1% | 12,2% |
| Settimana 12* | 7,5% | 11,5% |
| Settimana 24 | 3,3% | 2,7% |
| * La settimana 12 comprende pazienti che hanno ricevuto Toviaz per 12 settimane dopo essere stati originariamente randomizzati a Toviaz 4 mg e 8 mg e pazienti originariamente randomizzati al comparatore attivo e successivamente sono passati a Toviaz 4 mg e 8 mg per 12 settimane. |
Gli aumenti del basale nella proporzione di pazienti con frequenza cardiaca maggiore del 99 ° percentile per età sono stati più pronunciati in pazienti di età inferiore a 12 anni che hanno ricevuto Toviaz 8 mg.
Gli aumenti della frequenza cardiaca nei pazienti che hanno ricevuto Toviaz 4 mg e Toviaz 8 mg nello Studio 3 non sono stati associati a sintomi clinici e non hanno comportato l'interruzione della terapia con Toviaz.
Esperienza post -marketing
Le seguenti reazioni avverse sono state identificate durante l'uso post-approvazione di Toviaz. Poiché queste reazioni sono riportate volontariamente da una popolazione di dimensioni incerte, non è sempre possibile stimare in modo affidabile la loro frequenza o stabilire una relazione causale con l'esposizione ai farmaci.
Disturbi cardiaci: Palpitazioni
Disturbi del sistema nervoso centrale: Scrigioni di sonnolenza al mal di testa
Disturbi degli occhi: Visione sfocata
Disturbi gastrointestinali: Ipoesestesia orale
Disturbi generali E administrative site conditions: Reazioni di ipersensibilità incluso l'angiedema con ostruzione delle vie aeree edema
Disturbi psichiatrici: Stato confusionale
Disturbi della pelle e dei tessuti sottocutanei: Orticaria
Interazioni farmacologiche fO Toviaz
Farmaci antimuscarinici
La somministrazione di co -somministrazione di Toviaz con altri agenti antimuscarinici che producono ritenzione urinaria di costipazione della bocca secca e altri effetti farmacologici anticolinergici possono aumentare la frequenza e/o la gravità di tali effetti. Gli agenti anticolinergici possono potenzialmente alterare l'assorbimento di alcuni farmaci somministrati in concomitanza a causa di effetti anticolinergici sulla motilità gastrointestinale.
Inibitori del CYP3A4
Le dosi di Toviaz superiori a 4 mg non sono raccomandate nei pazienti adulti che assumono forti inibitori del CYP3A4 come il ketoconazolo itraconazolo e la claritromicina [vedi Dosaggio e amministrazione ]. Si raccomanda alla dose di Toviaz nei pazienti pediatrici che assumono forti inibitori del CYP3A4 Dosaggio e amministrazione ].
In uno studio sulla somministrazione di co-somministrazione degli adulti del forte inibitore del CYP3A4 chetoconazolo con feseterodina ha portato a un raddoppio della concentrazione massima (CMAX) e dell'area sotto la concentrazione rispetto alla curva temporale (AUC) della 5-idrossimetil tolterodina (5-HMT) il metabolite attivo di fesoterodina. Rispetto agli estesi metabolizzatori del CYP2D6 che non hanno assunto un aumento di ulteriori aumenti dell'esposizione al 5-HMT in soggetti che erano poveri metabolizzatori del CYP2D6 che prendevano ketoconazolo [vedi Farmacologia clinica ].
Non vi è alcun effetto clinicamente rilevante degli inibitori del CYP3A4 moderati sulla farmacocinetica della feseterodina. Dopo il blocco del CYP3A4 mediante co-somministrazione dell'inibitore del CYP3A4 moderato fluconazolo 200 mg due volte al giorno per 2 giorni con l'aumento medio (90%di confidenza) in aumento di CMAX e AUC del metabolita attivo della fesorodina circa il 19%(11%-28%) e il 27%(18%) rispettivamente. Non sono raccomandati aggiustamenti di dosaggio in presenza di moderati inibitori del CYP3A4 (ad es. Eritromicina fluconazolo diltiazem verapamil e succo di pompelmo).
L'effetto degli inibitori del CYP3A4 deboli (ad esempio cimetidina) non è stato esaminato; Non si prevede che sia superiore all'effetto di inibitori moderati [vedi Farmacologia clinica ].
Induttori del CYP3A4
Non sono raccomandate regolazioni di dosaggio in presenza di induttori del CYP3A4 come Rifampin e Carbamazepina. Dopo l'induzione del CYP3A4 per co -somministrazione di Rifampin 600 mg una volta al giorno CMAX e AUC del metabolita attivo della feseterodina è diminuita rispettivamente di circa il 70% e il 75% dopo la somministrazione orale di Toviaz 8 mg. L'emivita terminale del metabolita attivo non è stata modificata.
Inibitori del CYP2D6
L'interazione con gli inibitori del CYP2D6 non è stata testata clinicamente. In poveri metabolizzatori per il CYP2D6 che rappresentano una massima inibizione del CYP2D6 CMAX e AUC del metabolita attivo sono aumentati rispettivamente di 1,7 e 2 volte.
Non sono raccomandate regolazioni di dosaggio in presenza di inibitori del CYP2D6.
Farmaci metabolizzati dal citocromo P450
I dati in vitro indicano che alle concentrazioni terapeutiche il metabolita attivo della feseterodina non ha il potenziale per inibire o indurre sistemi enzimatici del citocromo P450 [vedi Farmacologia clinica ].
Contraccettivi orali
In presenza di fesoterodina non ci sono cambiamenti clinicamente significativi nelle concentrazioni plasmatiche di contraccettivi orali combinati contenenti etinil estradiolo e levoonorgestrel [vedi Farmacologia clinica ].
Warfarin
Uno studio clinico ha dimostrato che la feseterodina 8 mg una volta al giorno non ha alcun effetto significativo sulla farmacocinetica o sull'attività anticoagulante (PT/INR) di warfarin 25 mg. Il monitoraggio terapeutico standard per warfarin dovrebbe essere continuato [vedi Farmacologia clinica ].
Interazioni di test di droga-laboratorio
Le interazioni tra Toviaz e test di laboratorio non sono state studiate.
Avvertimenti per Toviaz
Incluso come parte del PRECAUZIONI sezione.
Precauzioni per Toviaz
Angiedema
Angiedema of the face lips tongue E/O laringe è stato segnalato con Toviaz. In alcuni casi l'angiedema si è verificato dopo la prima dose; Tuttavia, è stato segnalato che i casi si verificano ore dopo la prima dose o dopo dosi multiple. L'angioedema associato al gonfiore delle vie aeree superiori può essere pericoloso per la vita.
Toviaz is contraindicated in patients with a known O suspected hypersensitivity to Toviaz O any of its ingredients [see Controindicazioni ]. If involvement of the tongue hypopharynx O laringe occurs Toviaz should be promptly discontinued E appropriate therapy E/O measures to ensure a patent airway should be promptly provided.
Conservazione urinaria in pazienti adulti con ostruzione a vescica
L'uso di Toviaz come altri farmaci antimuscarinici in pazienti con ostruzione dello sbocco di vescica clinicamente significativo, inclusi i pazienti con ritenzione urinaria, può comportare una maggiore ritenzione urinaria e lesioni renali. L'uso di Toviaz non è raccomandato nei pazienti con ostruzione dello sbocco di vescica clinicamente significativo ed è controindicato nei pazienti con ritenzione urinaria [vedi Controindicazioni E Reazioni avverse ].
Ridotta motilità gastrointestinale
Toviaz is associated with decreased gastric motility. Toviaz is contraindicated in patients with Conservazione gastrica [vedi Controindicazioni ]. The use of Toviaz is not recommended in patients with decreased gastrointestinal motility such as those with severe stipsi.
Peggioramento del glaucoma ad angolo stretto
Toviaz can wOsen controlled narrow-angle glaucoma . Toviaz è controindicato in pazienti con glaucoma ad angolo stretto incontrollato [vedi Controindicazioni ]. Toviaz should be used with caution in patients being treated fO narrow-angle glaucoma.
Effetti del sistema nervoso centrale
Toviaz is associated with anticholinergic central nervous system (CNS) adverse reactions [see Reazioni avverse ]. A variety of CNS anticholinergic effects have been repOted including headache vertigini E somnolence. Patients should be monitOed fO signs of anticholinergic CNS effects particularly after beginning treatment O increasing the dose. Advise patients not to drive O operate heavy machinery until they know how Toviaz affects them. If a patient experiences anticholinergic CNS effects Toviaz dose reduction O discontinuation should be considered.
Peggioramento dei sintomi della miaastenia gravi
Toviaz should be used with caution in patients with myasthenia gravis due to the risk of wOsening of symptoms of the disease.
Informazioni sulla consulenza del paziente
Consiglia al paziente di leggere l'etichettatura del paziente approvato dalla FDA ( Informazioni sul paziente ).
875 mg di amoxicillina due volte al giorno
Angiedema
Informare i pazienti e/o i loro caregiver che Toviaz può causare l'angiedema che potrebbe provocare ostruzione delle vie aeree potenzialmente letale. Consiglia ai pazienti e/o ai loro caregiver di interrompere prontamente Toviaz e di consultare immediatamente un medico se sperimentano edema della lingua labbra o laringofaringe o difficoltà a respirare.
Effetti antimuscarinici
Informare i pazienti che Toviaz come altri agenti antimuscarinici può produrre effetti avversi clinicamente significativi correlati all'attività farmacologica antimuscarinica tra cui costipazione e ritenzione urinaria. Toviaz come altri antimuscarinici possono essere associati alla visione offuscata, pertanto si dovrebbe consigliare ai pazienti di prestare attenzione nelle decisioni di impegnarsi in attività potenzialmente pericolose fino a quando non sono stati determinati gli effetti del farmaco sul paziente. La prostrazione del calore (a causa della riduzione della sudorazione) può verificarsi quando Toviaz come altri farmaci antimuscarinici viene utilizzata in un ambiente caldo.
Alcool
I pazienti dovrebbero anche essere informati che l'alcol può migliorare la sonnolenza causata da Toviaz come altri agenti anticolinergici.
L'etichettatura di questo prodotto potrebbe essere stata aggiornata. Per le informazioni di prescrizione più recenti, visitare www.pfizer.com.
Tossicologia non clinica
Mutagenesi della carcinogenesi compromissione della fertilità
Cancerogenicità
Non sono state riscontrate prove di cancerogenicità legata alla droga in studi a 24 mesi con somministrazione orale a topi e ratti. Le dosi più tollerate nei topi (femmine da 45 a 60 mg/kg/giorno di maschi da 30 a 45 mg/kg/giorno) corrispondono a 11-19 volte (femmine) e da 4 a 9 volte (maschi) i valori AUC umani stimati raggiunti con il fesoterodina 8 mg che è il dose umano consigliato (MRHD). Nei ratti la dose più alta tollerata (da 45 a 60 mg/kg/giorno) corrisponde a 3 a 8 volte (femmine) e da 3 a 14 volte (maschi) l'AUC umano stimato al MRHD.
Mutagenesi
La fesoterodina non era mutagenica o genotossica in vitro (test AMES test di test di aberrazione del cromosoma) o in vivo (test del micronucleo del topo).
Compromissione della fertilità
La feseterodina non ha avuto alcun effetto sulla funzione riproduttiva maschile o sulla fertilità a dosi fino a 45 mg/kg/die nei topi. A 45 mg/kg/giorno è stato osservato un numero inferiore di siti di impianto di corpoa lutea e feti vitali nei topi femminili somministrati fesoterodina per 2 settimane prima di accoppiarsi e continuare fino al giorno 7 della gestazione. Il livello materno non osservato (Noel) e il Noel per gli effetti sulla riproduzione e lo sviluppo embrionale precoce erano entrambi 15 mg/kg/giorno. Al Noel l'esposizione sistemica basata su AUC era da 0,6 a 1,5 volte più alta nei topi rispetto all'uomo al MRHD, mentre sulla base delle concentrazioni plasmatiche di picco, l'esposizione nei topi era da 5 a 9 volte superiore.
Utilizzare in popolazioni specifiche
Gravidanza
Riepilogo del rischio
Non ci sono dati disponibili con l'uso di Toviaz nelle donne in gravidanza e negli adolescenti per valutare un rischio associato al farmaco di gravi difetti alla nascita abortificazione o esiti avversi materni o fetali. Negli studi sulla riproduzione degli animali La somministrazione orale di fesoterodina a topi e conigli in gravidanza durante l'organogenesi ha portato alla fetossicità alle esposizioni materne che erano rispettivamente 6 e 3 volte il massimo dose umana raccomandata (MRHD) di 8 mg/giorno basata su AUC (vedi Dati ). The background risk of majO birth defects E miscarriage fO the indicated population are unknown. However in the U.S. general population the estimated background risk of majO birth defects E miscarriage in clinically recognized pregnancies is 2-4% E 15-20% respectively.
Dati
Dati sugli animali
Non è stata osservata teratogenicità correlata alla dose negli studi di riproduzione condotti in topi e conigli. Nei topi da 6 a 27 volte l'esposizione prevista alla massima dose umana raccomandata (MRHD) di 8 mg in base all'AUC (75 mg/kg/giorno orale) aumentata e sono stati osservati ridotti feti vivi. È stato osservato un feto con palatoschinata ad ogni dose (15 45 e 75 mg/kg/giorno) a un'incidenza all'interno della gamma storica di fondo. Nei conigli trattati da 3 a 11 volte l'MRHD (27 mg/kg/giorno orale) sternebra ossificata incompleta (ritardo dello sviluppo osseo) e una ridotta sopravvivenza è stata osservata nei feti. Nei conigli a 9-11 volte il MRHD (NULL,5 mg/kg/giorno sottocutaneo) tossicità materna e la sternebra ossificata in modo incompleto sono stati osservati nei feti (con incidenza all'interno della gamma storica di fondo). Nei conigli a 3 volte è stato osservato il MRHD (NULL,5 mg/kg/giorno) ha ridotto il consumo di cibo materno in assenza di effetti fetali. La somministrazione orale di 30 mg/kg/giorno della fesoterodina ai topi in uno studio di sviluppo pre e post natale ha comportato una riduzione del peso corporeo delle dighe e l'apertura dell'orecchio ritardato dei cuccioli. Non sono stati osservati effetti sull'accoppiamento e sulla riproduzione delle dighe F1 o sulla prole F2.
Lattazione
Riepilogo del rischio
Non ci sono informazioni sulla presenza di fesoterodina nel latte umano gli effetti sul bambino allattato al seno o sugli effetti sulla produzione di latte. I benefici per lo sviluppo e la salute dell'allattamento dovrebbero essere considerati insieme alla necessità clinica della madre di Toviaz e a potenziali effetti avversi sul bambino allattato al seno da Toviaz o dalla condizione materna sottostante.
Uso pediatrico
La sicurezza e l'efficacia di Toviaz sono state stabilite per il trattamento dell'overattività del detrusore neurogenico (NDO) nei pazienti pediatrici di età pari o superiore a 6 anni e pesa più di 25 kg. Le informazioni su questo uso sono discusse durante l'etichettatura. L'uso di Toviaz per il trattamento di NDO è supportato da prove di uno studio randomizzato di etichette aperte con una fase di efficacia iniziale di 12 settimane seguita da una fase di estensione della sicurezza di 12 settimane nei pazienti pediatrici da 6 anni a 17 anni (Studio 3) [vedi Reazioni avverse E Studi clinici ]. Study results demonstrated that treatment with Toviaz 4 mg E 8 mg daily resulted in improvements from baseline to Settimana 12 in maximum cystometric vescia capacity (MCBC) fO patients weighing greater than 25 kg [see Studi clinici E Farmacologia clinica ]. The most commonly repOted adverse reactions in patients who received Toviaz 4 mg O 8 mg in Study 3 (≥2%) were diarrea UTI bocca secca stipsi abdominal pain nausea weight increase E headache [see Reazioni avverse ]. Mean increases from baseline in heart rate were repOted with both the 4 mg E 8 mg daily doses of Toviaz with larger mean increases repOted in pediatric patients who received the 8 mg daily dose [see Reazioni avverse ].
La sicurezza e l'efficacia di Toviaz non sono state stabilite in pazienti pediatrici di età inferiore ai 6 anni o di pesatura di 25 kg o meno.
Uso geriatrico
Non è consigliabile regolare la dose per gli anziani. La farmacocinetica della fesoterodina non è significativamente influenzata dall'età.
Dei 1567 pazienti che hanno ricevuto Toviaz 4 mg o 8 mg per via orale una volta al giorno nella fase 2 e 3 studi di efficacia e sicurezza controllati con placebo per OAB 515 (33%) avevano 65 anni o più e 140 (9%) avevano 75 anni o più. Non è stata osservata alcuna differenza complessiva in efficacia tra pazienti di età inferiore ai 65 anni e in questi studi di età pari o superiore a 65 anni. Tuttavia, l'incidenza di reazioni avverse antimuscariniche, incluso la dispepsia di costipazione della bocca secca, aumenta di vertigini delle urine residue (solo 8 mg) e l'infezione del tratto urinario era più elevata nei pazienti di età pari o superiore a 75 anni rispetto ai pazienti più giovani [vedi Studi clinici E Reazioni avverse ].
Compromissione renale
In pazienti adulti con grave compromissione renale (CLCR <30 mL/min) Cmax E AUC are increased 2.0- E 2.3-fold respectively. Doses of Toviaz greater than 4 mg are not recommended in adult patients with severe renal impairment. In patients with mild O moderate renal impairment (CLCR ranging from 30-80 mL/min) Cmax E AUC of the active metabolite are increased up to 1.5- E 1.8-fold respectively as compared to healthy subjects. No dose adjustment is recommended in patients with mild O moderate renal impairment [see Farmacologia clinica E Dosaggio e amministrazione ].
Il dosaggio raccomandato di Toviaz in pazienti pediatrici di peso superiore a 25 kg e fino a 35 kg con compromissione renale da lieve a moderata (EGFR da 30 a 89 ml/min/1,73 m²) è 4 mg una volta al giorno e Toviaz non è raccomandato in quelli con grave insufficienza renale (EGFR 15 a 29 ml/1,73m²). Nei pazienti pediatrici che pesano superiori a 35 kg con compromissione renale da lieve a moderata (EGFR da 30 a 89 ml/min/1,73 m²) il dosaggio iniziale raccomandato di Toviaz è 4 mg oralmente una volta al giorno con aumento del dosaggio raccomandato di Toviaz 8 mg per via orale una volta al giorno e in quelli con grave imitanza renale (Egfr 15 a 29 ml/min/1,73m. è 4 mg una volta al giorno [vedi Dosaggio e amministrazione ].
Compromissione epatica
Non sono stati studiati pazienti con grave compromissione epatica (Child-Pugh C); Pertanto, Toviaz non è raccomandato per l'uso in questi pazienti. Nei pazienti con compromissione epatica moderata (Child-Pugh B) CMAX e AUC del metabolita attivo sono aumentati rispettivamente di 1,4 e 2,1 volte rispetto ai soggetti sani. Non è raccomandato alcun aggiustamento della dose in pazienti con compromissione epatica lieve o moderata [vedi Farmacologia clinica ].
Informazioni per overdose per Toviaz
Il sovradosaggio con Toviaz può provocare gravi effetti anticolinergici. Il trattamento dovrebbe essere sintomatico e di supporto. In caso di monitoraggio ECG di overdosage.
Controindicazioni per Toviaz
Toviaz is contraindicated in patients with any of the following:
- Ipersensibilità nota o sospetta a Toviaz o a uno qualsiasi dei suoi ingredienti o alle compresse di tartrato di torodina o capsule a rilascio esteso di tartrato di tolterodina [vedi Farmacologia clinica ]. Reactions have included angioedema [see Avvertimenti e precauzioni ]
- Conservazione urinaria [vedi Avvertimenti e precauzioni ]
- Conservazione gastrica [vedi Avvertimenti e precauzioni ]
- glaucoma ad angolo stretto incontrollato [vedi Avvertimenti e precauzioni ]
Farmacologia clinica fO Toviaz
Meccanismo d'azione
La feseterodina è un antagonista del recettore muscarinico competitivo. Dopo la somministrazione orale la fesoterodina viene ampiamente idrolizzata da esterasi non specifiche per il suo metabolite attivo 5-idrossimetil tolterodina che è responsabile dell'attività antimuscarinica della fesoterodina.
I recettori muscarinici svolgono un ruolo nelle contrazioni della muscolatura liscia della vescica urinaria. Si presume che l'inibizione di questi recettori nella vescica sia il meccanismo attraverso il quale la feseterodina produce i suoi effetti.
Farmacodinamica
In uno studio urodinamico che coinvolge pazienti con contrazioni detrusore involontarie, sono stati valutati gli effetti dopo la somministrazione di fesoterodina sul volume a prima contrazione del detrusore e la capacità della vescica. La somministrazione di fesoterodina ha aumentato il volume alla prima contrazione del detrusore e la capacità della vescica in modo dose-dipendente. Questi risultati sono coerenti con un effetto antimuscarinico sulla vescica.
Elettrofisiologia cardiaca
L'effetto della fesoterodina 4 mg e 28 mg sull'intervallo QT è stato valutato in un placebo randomizzato in doppio cieco e controllato positivo (moxifloxacina 400 mg una volta al giorno) studio parallelo con un trattamento una volta al giorno per un periodo di 3 giorni in 261 soggetti maschi e femmine di età compresa tra 44 e 65 anni. I parametri elettrocardiografici sono stati misurati per un periodo di 24 ore in pre-dose dopo la prima somministrazione e dopo la terza somministrazione di farmaci da studio. Fesoterodina 28 mg è stato scelto perché questa dose quando somministrata a metabolizzatori estesi del CYP2D6 si traduce in un'esposizione al metabolita attivo che è simile all'esposizione in un metabolizzatore scarso del CYP2D6 che riceve feseterodina 8 mg insieme al blocco CYP3A4. Gli intervalli QT corretti (QTC) sono stati calcolati usando la correzione di Fridericia e un metodo di correzione individuale lineare. Le analisi di QTC di QTC a base di baseline MEDIGEGAZIONE MEDIFICAMENTI CATTURA DI 24 ore e intervalli di QTC composti nel tempo indicano che la fesoterodina a dosi di 4 e 28 mg/die non ha prolungato l'intervallo QT. La sensibilità dello studio è stata confermata dal prolungamento positivo del QTC da parte della moxifloxacina.
In questo studio condotto in soggetti di età compresa tra 44 e 65 anni, Toviaz è stato associato ad un aumento della frequenza cardiaca che è correlata all'aumento della dose. Rispetto al placebo, l'aumento medio della frequenza cardiaca associata alla feseterodina 4 mg/die e alla fesoterodina 28 mg/die è stato 3 battiti/minuto e 11 battiti/minuto rispettivamente.
Nei due studi controllati da placebo di fase 3 sugli adulti in pazienti con vescica iperattiva gli aumenti medi della frequenza cardiaca rispetto al placebo erano 3-4 battiti/minuto nel gruppo di 4 mg/giorno di Feseterodina e 3-5 battiti/minuto nel gruppo di feseterodina 8 mg/giorno.
Farmacocinetica
Assorbimento
Dopo la somministrazione orale la fesoterodina è ben assorbita. A causa della rapida ed estesa idrolisi da parte di esterasi non specifiche per il suo metabolita attivo 5-idrossimetil tolterodina la fesoterodina non può essere rilevata nel plasma. La biodisponibilità del metabolita attivo è del 52%. Dopo la somministrazione orale a dose singola o multipla di fesoterodina in dosi da 4 mg a 28 mg di concentrazioni plasmatiche del metabolita attivo sono proporzionali alla dose. I livelli plasmatici massimi vengono raggiunti dopo circa 5 ore. Nessun accumulo si verifica dopo la somministrazione di dosi multiple.
Un riassunto dei parametri farmacocinetici per il metabolita attivo dopo una singola dose di Toviaz 4 mg e 8 mg in metabolizzatori estesi e poveri di CYP2D6 è fornito nella Tabella 8.
Tabella 8: Riepilogo della media geometrica [CV] Parametri farmacocinetici per il metabolita attivo dopo una singola dose di toviaz 4 mg e 8 mg in metabolizzatori del CYP2D6 estesi e poveri
| Parametro | Toviaz 4 mg | Toviaz 8 mg | ||
| IN (N = 16) | PM (N = 8) | IN (N = 16) | PM (N = 8) | |
| CMAX (NG/ML) | 1,89 [43%] | 3,45 [54%] | 3,98 [28%] | 6,90 [39%] |
| AUC0-TZ (di*H/ML) | 21.2 [38%] | 40,5 [31%] | 45,3 [32%] | 88,7 [36%] |
| TMAX (H) a | 5 [2-6] | 5 [5-6] | 5 [3-6] | 5 [5-6] |
| t½ (h) | 7,31 [27%] | 7,31 [30%] | 8,59 [41%] | 7,66 [21%] |
| IN = extensive CYP2D6 metabolizer PM = poO CYP2D6 metabolizer CV = coefficient of variation; Cmax = maximum plasma concentration AUC0-tz = area under the concentration time curve from zero up to the last measurable plasma concentration tmax = time to reach Cmax t½ = terminal half-life a Dati presented as median (range) |
Effetto del cibo
Non vi è alcun effetto clinicamente rilevante del cibo sulla farmacocinetica della feseterodina. In uno studio sugli effetti del cibo sulla farmacocinetica della fesoterodina in 16 volontari maschi sani concomitanti l'assunzione di cibo concomitante ha aumentato il metabolita attivo della feseterodina AUC di circa il 19% e CMAX del 18% [vedi Dosaggio e amministrazione ].
Distribuzione
Il legame plasmatico della proteina del metabolita attivo è basso (circa il 50%) ed è principalmente legato all'albumina e alla glicoproteina alfa-1-acido. Il volume medio di distribuzione a stato stazionario a seguito di infusione endovenosa del metabolita attivo è 169 L.
Metabolismo
Dopo la somministrazione orale, la fesoterodina viene ampiamente idrolizzata nel suo metabolita attivo. Il metabolita attivo è ulteriormente metabolizzato nel fegato con i suoi metaboliti carbossigiani Carboxy-N-Disopropil e N-Desisopropil attraverso due percorsi principali che coinvolgono CYP2D6 e CYP3A4. Nessuno di questi metaboliti contribuisce in modo significativo all'attività antimuscarinica della fesoterodina.
Variabilità nel metabolismo del CYP2D6
Un sottoinsieme di individui (circa il 7% dei caucasici e circa il 2% degli afroamericani) sono poveri metabolizzatori per il CYP2D6. CMAX e AUC del metabolita attivo sono aumentati rispettivamente di 1,7 e 2 volte nei poveri metabolizzatori del CYP2D6 rispetto ai metabolizzatori estesi.
Escrezione
Il metabolismo epatico e l'escrezione renale contribuiscono in modo significativo all'eliminazione del metabolita attivo. Dopo la somministrazione orale di fesoterodina, circa il 70%della dose somministrata è stato recuperato nelle urine come metabolita attivo (16%) metabolite carboniere (34%) carboxy-N-disopropil metabolite (18%) o metabolite N-denopropil (1%) e una quantità minore (7%) è stata recuperata in Feces.
L'emivita terminale del metabolita attivo è circa 4 ore dopo una somministrazione endovenosa. L'emivita terminale apparente dopo la somministrazione orale è di circa 7 ore.
Farmacocinetica In Specific Populations
Pazienti geriatrici
A seguito di una singola dose orale di 8 mg di fesoterodina, la media (± DS) AUC e CMAX per il metabolite attivo 5-idrossimetil tolterodina in 12 uomini anziani (età media 67 anni) erano 51,8 ± 26,1 H*ng/ml e 3,8 ± 1,7 ng/ml rispettivamente. Nello stesso studio la media (± DS) AUC e CMAX in 12 giovani (età media 30 anni) erano rispettivamente 52,0 ± 31,5 H*ng/mL e 4,1 ± 2,1 ng/ml. La farmacocinetica della feseterodina non è stata significativamente influenzata dall'età [vedi Utilizzare in popolazioni specifiche ].
Pazienti pediatrici
Nei pazienti pediatrici da 6 a 17 anni con NDO che pesa 35 kg con lo stato di metabolizzatore esteso del CYP2D6 che riceve TOVIAZ compresse, i valori medi del volume di clearance orale apparente di distribuzione e costante del tasso di assorbimento di 5-HMT sono stimati in circa 72 L/h 68 L e 0,09 H-1 rispettivamente. Il TMAX e l'emivita di 5-HMT sono stimati in circa 2,55 ore e 7,73 ore rispettivamente. Come gli adulti, le esposizioni da 5-HMT nei poveri metabolizzatori del CYP2D6 sono stati stimati in più di circa 2 volte rispetto ai metabolizzatori estesi.
Le stime post-hoc delle esposizioni in stato stazionario di 5-HMT nei pazienti con NDO che pesano superiori a 25 kg dopo Toviaz 4 mg e 8 mg di compresse una volta al giorno sono riassunte nella Tabella 9.
Tabella 9: Riepilogo della media geometrica [%CV] Parametri farmacocinetici per il metabolita attivo dopo dosaggio stazionario di fesoterodina in pazienti pediatrici con NDO di 6-17 anni di pesatura maggiore di 25 kg
| Dosaggio | N | CMAXSS (NG/ML) | Auctaouss (di*h/ml) |
| 4 mg once daily | 32 | 4.88 (48.2) | 59.1 (51.7) |
| 8 mg once daily | 39 | 8.47 (41.6) | 103 (46.2) |
| CV = coefficiente di variazione; CMAXSS = concentrazione plasmatica massima di stato stazionario AUCTAUS = area stazionaria sotto la curva del tempo di concentrazione nell'intervallo di dosaggio di 24 ore n = numero di pazienti con dati PK |
Genere
A seguito di una singola dose orale di 8 mg di fesoterodina, la media (± DS) AUC e CMAX per il metabolite attivo 5-idrossimetil tolterodina in 12 uomini anziani (età media 67 anni) erano 51,8 ± 26,1 H*ng/ml e 3,8 ± 1,7 ng/ml rispettivamente. Nello stesso studio la media (± DS) AUC e CMAX in 12 donne anziane (età media di 68 anni) erano rispettivamente 56,0 ± 28,8 H*ng/mL e 4,6 ± 2,3 ng/ml. La farmacocinetica della feseterodina non è stata significativamente influenzata dal genere.
Gara
Gli effetti della razza caucasica o nera sulla farmacocinetica della feseterodina sono stati esaminati in uno studio su 12 giovani volontari maschi caucasici e 12 africani neri. Ogni soggetto ha ricevuto una singola dose orale di 8 mg di fesoterodina. La media (± SD) AUC e CMAX per il metabolita attivo 5-idrossimetil tolterodina nei maschi caucasici erano rispettivamente 73,0 ± 27,8 H*ng/mL e 6,1 ± 2,7 ng/ml. La media (± DS) AUC e CMAX nei maschi neri erano rispettivamente 65,8 ± 23,2 H*ng/mL e 5,5 ± 1,9 ng/ml. La farmacocinetica della feseterodina non è stata significativamente influenzata dalla razza.
Compromissione renale
Nei pazienti con compromissione renale lieve o moderata (CLCR che va da 30-80 mL/min) CMAX e l'AUC del metabolita attivo aumentano rispettivamente fino a 1,5 e 1,8 volte rispetto ai soggetti sani. In pazienti con grave compromissione renale (CLCR <30 mL/min) Cmax E AUC are increased 2.0-E 2.3-fold respectively [see Utilizzare in popolazioni specifiche E Dosaggio e amministrazione ].
Compromissione epatica
Nei pazienti con compromissione epatica moderata (Child-Pugh B) CMAX e AUC del metabolita attivo sono aumentati rispettivamente di 1,4 e 2,1 volte rispetto ai soggetti sani.
Non sono stati studiati soggetti con grave compromissione epatica (Child-Pugh C) [vedi Utilizzare in popolazioni specifiche ].
Interazioni farmaco-farmaco
Farmaci metabolizzati dal citocromo P450
A concentrazioni terapeutiche il metabolita attivo della fesoterodina non inibisce il CYP1A2 2B6 2C8 2C9 2C19 2D6 2E1 o 3A4 o induce il CYP1A2 2B6 2C9 2C19 o 3A4 in vitro [Vedi Interazioni farmacologiche ].
Inibitori del CYP3A4
Dopo il blocco del CYP3A4 da parte del co-somministrazione del forte inibitore del CYP3A4 ketoconazolo 200 mg due volte al giorno per 5 giorni CMAX e AUC del metabolita attivo della feseterodina è aumentato rispettivamente di 2,0 e 2,3 volte dopo la somministrazione orale di Toviaz 8 mg a CYP2D6 estensivi. Nei cattivi metabolizzatori del CYP2D6 CMAX e AUC del metabolita attivo della feseterodina sono aumentati rispettivamente di 2,1 e 2,5 volte durante la somministrazione di co-ketoconazolo 200 mg due volte al giorno per 5 giorni. CMAX e AUC erano rispettivamente di 4,5 e 5,7 volte in soggetti che erano poveri metabolizzatori del CYP2D6 e che prendevano il ketoconazolo rispetto ai soggetti che erano ampi metabolizzatori del CYP2D6 e non assumevano ketoconazolo. In uno studio separato che minisce la fesoterodina con ketoconazolo 200 mg una volta al giorno per 5 giorni i valori CMAX e AUC del metabolita attivo della fesoterodina sono stati aumentati di 2,2 volte nei metabolizzatori estesi del CYP2D6 e 1,5 e 1,9 rispettivamente nei metabolizzatori poveri CYP2D6. CMAX e AUC erano rispettivamente 3,4 e 4,2 volte più in alto nei soggetti che erano poveri metabolizzatori del CYP2D6 e che prendevano il ketoconazolo rispetto ai soggetti che erano ampi metabolizzatori del CYP2D6 e non assumevano ketoconazolo.
Non vi è alcun effetto clinicamente rilevante degli inibitori del CYP3A4 moderati sulla farmacocinetica della feseterodina. In uno studio di interazione farmaco-farmaco che ha valutato il co-somministrazione dell'inibitore del CYP3A4 moderato fluconazolo 200 mg due volte al giorno per 2 giorni una singola dose di 8 mg di fesoterodina è stata somministrata 1 ora dopo la prima dose di fluconazolo il giorno 1 dello studio. La media (intervallo di confidenza al 90%) per l'aumento di CMAX e AUC del metabolita attivo della fesoterodina era rispettivamente di circa il 19% (11% -28%) e il 27% (18% -36%).
L'effetto degli inibitori del CYP3A4 deboli (ad esempio cimetidina) non è stato esaminato; Non si prevede che sia superiore all'effetto di inibitori moderati [vedi Interazioni farmacologiche E Dosaggio e amministrazione ].
Induttori del CYP3A4
Dopo l'induzione del CYP3A4 per co -somministrazione della rifampicina 600 mg una volta al giorno CMAX e AUC del metabolita attivo della fesoterodina è diminuita rispettivamente di circa il 70% e il 75% dopo la somministrazione orale di Toviaz 8 mg. L'emivita terminale del metabolita attivo non è stata modificata.
L'induzione del CYP3A4 può portare a livelli plasmatici ridotti. Non sono raccomandate regolazioni di dosaggio in presenza di induttori del CYP3A4 [vedi Interazioni farmacologiche ].
Inibitori del CYP2D6
L'interazione con gli inibitori del CYP2D6 non è stata studiata. In poveri metabolizzatori per il CYP2D6 che rappresentano una massima inibizione CYP2D6 CMAX e AUC del metabolita attivo sono aumentati rispettivamente di 1,7 e 2 volte [vedi Interazioni farmacologiche ].
Contraccettivi orali
Trenta soggetti femminili sani che assumono un contraccettivo orale contenente 0,03 mg di etinil estradiolo e 0,15 mg di levonorgestrel sono stati valutati in uno studio incrociato a 2 periodi. Ogni soggetto è stato randomizzato a ricevere una somministrazione concomitante di placebo o fesoterodina 8 mg una volta al giorno nei giorni 1-1 14 del ciclo ormonale per 2 cicli consecutivi. La farmacocinetica di etinil estradiolo e levorogestrel è stata valutata il giorno 13 di ogni ciclo. La fesoterodina ha aumentato l'AUC e la CMAX di Ethinil estradiolo di 1 € 3% e ha ridotto l'AUC e il CMAX di Levonorgestrel dell'11 13% [vedi Interazioni farmacologiche ].
Warfarin
In uno studio incrociato in 14 volontari maschi sani (18-55 anni) una singola dose orale di warfarin 25 mg è stata somministrata da sola o il giorno 3 di una volta al giorno il dosaggio per 9 giorni con feseterodina 8 mg. Rispetto al solo warfarin che dosava il CMAX e l'AUC di S-Warfarin erano più bassi del ~ 4 % mentre il CMAX e l'AUC di R-Warfarin erano più bassi di circa l'8 % e il 6 % per la somministrazione di co-co-co-suonando l'assenza di una significativa interazione farmacocinetica.
Non ci sono stati cambiamenti statisticamente significativi nei parametri farmacodinamici misurati per l'attività anticoagulante di warfarin (Inrmax aucinr) con solo una piccola riduzione annotata in inrmax del ~ 3 % con la co-somministrazione rispetto al solo warfarin. I profili INR contro tempo tra singoli soggetti nello studio hanno suggerito alcune differenze dopo la co-somministrazione con la fesoterodina, sebbene non vi fosse alcuna tendenza definita per quanto riguarda le modifiche notate [vedi Interazioni farmacologiche ].
Studi clinici
Vescica iperattiva per adulti
L'efficacia delle compresse a rilascio prolungato di Toviaz è stata valutata in studi randomizzati in doppio cieco di fase 3 a blinding di 12 settimane per il trattamento della vescica iperattiva con sintomi di urgenza urinaria di incontinenza e frequenza urinaria. Criteri di ingresso richiesti che i pazienti presentassero sintomi di vescica iperattiva per una durata ≥6 mesi di almeno 8 murizioni al giorno e almeno 6 episodi di urgenza urinaria o 3 episodi di incontinenza per il periodo di diario di 3 giorni. I pazienti sono stati randomizzati a una dose fissa di Toviaz 4 o 8 mg/die o placebo. In uno di questi studi 290 pazienti sono stati randomizzati a un braccio di controllo attivo (un agente antimuscarinico orale). Per gli studi combinati un totale di 554 pazienti hanno ricevuto placebo 554 pazienti hanno ricevuto Toviaz 4 mg/die e 566 pazienti hanno ricevuto Toviaz 8 mg/die. La maggior parte dei pazienti era caucasica (91%) e femmina (79%) con un'età media di 58 anni (intervallo 19-91 anni).
Gli endpoint di efficacia primaria sono stati la variazione media del numero di episodi di incontinenza urinaria di sollecitazioni per 24 ore e la variazione media del numero di menture (frequenza) per 24 ore. Un importante endpoint secondario era la variazione media del volume annullato per micturizione.
I risultati per gli endpoint primari e per il cambiamento medio nel volume annullato per mtiurizione dai due studi clinici di 12 settimane di Toviaz sono riportati nella Tabella 10.
Tabella 10: base media e modifica dalla linea di base alla settimana 12 per gli episodi di incontinenza urinaria del numero di mentine e volume annullati per mtituzione
| Parametro | Studio 1 | Studio 2 | ||||
| Placebo N = 279 | Toviaz 4mg/day N = 265 | Toviaz 8mg/day N = 276 | Placebo N = 266 | Toviaz 4mg/day N = 267 | Toviaz 8mg/day N = 267 | |
| Numero di episodi di incontinenza urgenti per 24 ore a | ||||||
| Basale | 3.7 | 3.8 | 3.7 | 3.7 | 3.9 | 3.9 |
| Cambiare dal basale | -1.20 | -2.06 | -2.27 | -1.00 | -1.77 | -2.42 |
| Value p vs. placebo | - | 0.001 | <0.001 | - | <0.003 | <0.001 |
| Numero di minzioni per 24 ore | ||||||
| Basale | 12.0 | 11.6 | 11.9 | 12.2 | 12.9 | 12.0 |
| Cambiare dal basale | -1.02 | -1.74 | -1.94 | -1.02 | -1.86 | -1.94 |
| Value p vs. placebo | - | <0.001 | <0.001 | - | 0.032 | <0.001 |
| Volume vuoto per micurizione (ML) | ||||||
| Basale | 150 | 160 | 154 | 159 | 152 | 156 |
| Cambiare dal basale | 10 | 27 | 33 | 8 | 17 | 33 |
| Value p vs. placebo | - | <0.001 | <0.001 | - | 0.150 | <0.001 |
| vs. = contro a Solo quei pazienti che sono stati urgenti incontinenti al basale sono stati inclusi per l'analisi del numero di episodi di incontinenza del tentativo per 24 ore: nello studio 1 il numero di questi pazienti era 211 199 e 223 nei gruppi di 4 mg/die Toviaz di 8 mg/giorno. Nello studio 2 il numero di questi pazienti era rispettivamente 205 228 e 218. |
Figure 1-4: le seguenti cifre mostrano il cambiamento dal basale nel tempo in numero di minzioni e sollecitano episodi di incontinenza urinaria per 24 ore nei due studi.
Figura 1: Modifica del numero di mittizioni per 24 ore (Studio 1)
Figura 2: modifica degli episodi di incontinenza urgente per 24 ore (Studio 1)
Figura 3: Modifica del numero di mittizioni per 24 ore (Studio 2)
Figura 4: Modifica degli episodi di incontinenza urgenti per 24 ore (Studio 2)
È stata osservata una riduzione del numero di episodi di incontinenza urinaria per impulsi per 24 ore per entrambe le dosi rispetto al placebo già due settimane dopo aver iniziato la terapia di Toviaz.
Sovrattività del detrusore neurogenico pediatrico
L'efficacia di Toviaz è stata valutata nello Studio 3 (NCT01557244) Uno studio randomizzato di etichette open randomizzata costituita da una fase di efficacia di 12 settimane seguita da una fase di estensione di sicurezza di 12 settimane nei pazienti pediatrici dai 6 anni ai 17 anni. Sono state studiate due coorti. La coorte 1 (i pazienti che pesano superiori a 25 kg) hanno ricevuto una dose fissa di Toviaz 4 mg o toviaz 8 mg compresse per via orale una volta al giorno o una volta al giorno. Nella fase di estensione della sicurezza i pazienti randomizzati al comparatore attivo sono stati commutati a Toviaz 4 mg o Toviaz 8 mg una volta al giorno. Per l'inclusione dello studio, i pazienti sono stati tenuti ad avere una malattia neurologica stabile e NDO clinicamente o urodinamicamente determinato. Coorte 2 pazienti che pesavano meno di 25 kg hanno ricevuto una formulazione di fesoterodina studiata.
Durante la fase di efficacia di 12 settimane 124 pazienti (69 maschi e 55 femmine) sono stati randomizzati a ricevere Toviaz 4 mg (n = 42) Toviaz 8 mg (n = 42) o comparatore attivo (n = 40) oralmente una volta al giorno. La maggior parte dei pazienti era caucasico (52%) o asiatico (44%) con un'età media di 11 anni (intervallo da 6 anni a 17 anni) e un peso medio di 42,8 kg (intervallo da 25,1 a 96,0 kg).
Endpoint primario
L'endpoint di efficacia primaria era la variazione media rispetto al basale nella massima capacità della vescica cistometrica (MCBC) alla settimana 12.
Il trattamento con Toviaz 4 mg o 8 mg al giorno ha comportato miglioramenti dal basale alla settimana 12 nell'endpoint di efficacia primaria MCBC per pazienti pediatrici con variazioni numericamente più alte dal basale per Toviaz 8 mg al giorno rispetto a Toviaz 4 mg al giorno.
I risultati per l'endpoint primario MCBC sono riportati nella Tabella 11.
Tabella 11: basale media e variazione dalla linea di base alla settimana 12 per la massima capacità della vescica cistometrica (ML) nei pazienti pediatrici NDO che ricevono Toviaz 4 mg o Toviaz 8 mg e pesa più di 25 kg nello Studio 3
| Toviaz 4 mg | Toviaz 8 mg | |
| N | 41 | 41 |
| Basale | 195.1 | 173.3 |
| Cambiare dal basale | 58.1 | 83.4 |
| (95% CI)† | (NULL,8 87.4) | (54.2 112.5) |
| CI = intervallo di confidenza Basale is defined as the last available measurement priO to the start of treatment. N è il numero di pazienti che hanno assunto almeno una dose e hanno fornito un valore valido per MCBC al basale. † I minimi quadrati medi variabili e l'IC al 95% si basano su un'analisi del modello di covarianza con termini per il gruppo di trattamento basale basale massima capacità della vescica cistometrica e peso basale. L'ultima osservazione portata avanti/l'osservazione basale trasportata è stata utilizzata per imputare valori mancanti alla settimana 12. |
Endpoint secondari
I risultati per altri endpoint di efficacia secondaria urodinamica e endpoint di efficacia secondaria selezionati derivati dai diari urinari del paziente sono riportati rispettivamente nelle tabelle 12 e 13.
Tabella 12: Riepilogo del basale e cambiamento dal basale alla settimana 12 negli endpoint urodinamici secondari nei pazienti NDO pediatrici che pesano superiori a 25 kg nello studio 3
| Toviaz 4 mg | Toviaz 8 mg | |
| Pressione del detrusore alla massima capacità della vescica (CMH 2 IL) | ||
| N | 40 | 41 |
| Basale | 26.5 | 27.2 |
| Cambiare dal basale | -2.9 | -1.6 |
| (95% CI)† | (-7,6 1.9) | (-6.3 3.1) |
| Numero e percentuale di pazienti con IDC al basale ma non alla settimana 12 (n (%)) | ||
| N | 41 | 41 |
| N (%) | 9 (22.0) | 18 (NULL,9) |
| Volume della vescica al primo IDC (ML) | ||
| N | 26 | 36 |
| Basale | 88.6 | 88.5 |
| Cambiare dal basale | 30.5 | 26.1 |
| (95% CI)† | (2.4 58.6) | (2.2 49.9) |
| Conformità alla vescica (ML/CMH 2 IL) | ||
| N | 40 | 40 |
| Basale | 13.8 | 10.1 |
| Cambiare dal basale | 6.4 | 5.4 |
| (95% CI)† | (-0,5 13.3) | (-1.5 12.3) |
| CI = intervallo di confidenza; IDC = involuntary detrusO contractions Basale is defined as the last available measurement priO to the start of treatment. N è il numero di pazienti che hanno assunto almeno una dose e hanno fornito dati endpoint validi al basale. † I minimi quadrati medi modifiche e l'IC al 95% si basano su un'analisi del modello di covarianza con termini per il gruppo di trattamento basale (per l'endpoint analizzato) e il peso basale. L'ultima osservazione portata avanti/l'osservazione basale trasportata è stata utilizzata per imputare valori mancanti alla settimana 12. |
Tabella 13: base media e variazione dal basale alla settimana 12 negli endpoint della vescica secondaria selezionati nei pazienti NDO pediatrici pesate superiori a 25 kg nello studio 3
| Toviaz 4 mg | Toviaz 8 mg | |
| Numero di episodi di incontinenza per 24 ore§ | ||
| N | 33 | 33 |
| Basale | 2.8 | 2.7 |
| Cambiare dal basale | -0.5 | -0.9 |
| (95% CI)† | (-0,9 0,0) | (-1.4 -0.4) |
| Volume delle urine catetezzato massimo per 24 ore (ML) | ||
| N | 36 | 32 |
| Basale | 222.5 | 164.7 |
| Cambiare dal basale | 31.6 | 51.0 |
| (95% CI)† | (-9.3 72.6) | (8.1 93.8) |
| CI = intervallo di confidenza Basale is defined as the last available measurement priO to the start of treatment. N è il numero di pazienti che hanno assunto almeno una dose e hanno fornito dati endpoint validi al basale. § Sono inclusi solo i pazienti con> 0 episodi di incontinenza al basale. † I minimi quadrati medi modifiche e l'IC al 95% si basano su un'analisi del modello di covarianza con termini per il gruppo di trattamento basale (per l'endpoint analizzato) e il peso basale. L'ultima osservazione portata avanti/l'osservazione basale trasportata è stata utilizzata per imputare valori mancanti alla settimana 12. |
Informazioni sul paziente per Toviaz
Toviaz®
(Toh-as)
(fumarato di feseterodina) compresse a rilascio prolungato per uso orale
Leggi le informazioni sul paziente fornite con Toviaz prima di iniziare a prenderlo e ogni volta che ricevi una ricarica. Potrebbero esserci nuove informazioni. Questo opuscolo non prende il posto di parlare con il proprio operatore sanitario sulla tua condizione medica o il trattamento.
Cos'è Toviaz?
Toviaz è un medicinale di prescrizione usata:
- Negli adulti per curare i sintomi di una condizione chiamata vescica iperattiva (OAB) inclusa l'incontinenza urinaria (perdite o incidenti di bagnatura a causa di una forte necessità di urinare) urgenza urinaria (avendo una forte necessità di urinare immediatamente) o frequenza urinaria (dover urinare troppo spesso).
- Nei bambini di età pari o superiore a 6 anni con un peso corporeo superiore a 55 libbre (25 kg) per il trattamento dell'overattività del detrusore neurogeno (NDO). Toviaz viene utilizzato per aumentare la quantità di urina che la vescica può trattenere e ridurre le perdite di urina.
Non è noto se Toviaz è sicuro ed efficace nei bambini di età inferiore ai 6 anni o con un peso corporeo di 55 libbre (25 kg) o meno.
Chi non dovrebbe prendere Toviaz?
Non prendere Toviaz se tu:
- sono allergici a Toviaz o a uno qualsiasi dei suoi ingredienti. Vedi la fine di questo opuscolo per un elenco completo di ingredienti.
- sono allergiche alle compresse di tartrato di torodina o a capsule a rilascio esteso di tartrato di tolterodina.
- non sono in grado di svuotare la vescica (ritenzione urinaria).
- hanno ritardato o lento lo svuotamento dello stomaco (ritenzione gastrica).
- Avere un problema agli occhi chiamato glaucoma ad angolo stretto incontrollato.
Prima di prendere Toviaz, racconta al tuo operatore sanitario su tutte le tue condizioni mediche, anche se tu:
- Avere problemi a svuotare la vescica o hai un flusso di urina debole.
- Avere problemi di stomaco o intestinali o problemi con costipazione.
- stanno ricevendo un trattamento per un problema agli occhi chiamato glaucoma ad angolo stretto.
- Avere una condizione chiamata Myastenia gravis.
- avere problemi ai reni.
- avere problemi epatici.
- sono incinta o prevedono di rimanere incinta. Non è noto se Toviaz danneggerà il tuo bambino non ancora nato. Parla con il tuo operatore sanitario se sei incinta o hai intenzione di rimanere incinta.
- stanno allattando o pianificano di allattare. Non è noto se Toviaz passa nel latte materno. Dovresti parlare con il tuo operatore sanitario del modo migliore per nutrire il tuo bambino mentre prendi Toviaz.
Di 'al tuo operatore sanitario di tutte le medicine che prendi tra cui prescrizione e medicinali da banco vitamine e prodotti a base di erbe. Toviaz può influire sul modo in cui altri medicinali funzionano e altri medicinali possono influire su come funziona Toviaz. In particolare, dì al tuo operatore sanitario se stai assumendo antibiotici antimuscarinici o medicinali antifungini.
Conosci tutte le medicine che prendi. Tienilo con te un elenco per mostrare il tuo medico e il tuo farmacista ogni volta che ottieni un nuovo medicinale.
Come dovrei prendere Toviaz?
- Prendi Toviaz esattamente come il tuo operatore sanitario ti dice di prenderlo.
- Il tuo operatore sanitario può ridurre la dose di Toviaz se sei un adulto con gravi problemi renali.
- Il tuo operatore sanitario può abbassare o fermare la dose di Toviaz se sei un bambino di età pari o superiore a 6 anni con un peso corporeo superiore a 77 libbre (35 kg) e hai gravi problemi renali o stai assumendo determinati medicinali.
- Prendi Toviaz con liquido e inghiotti la compressa intera. Non masticare dividere o schiacciare la compressa.
- Prendi Toviaz con o senza cibo.
- Se perdi una dose di Toviaz, ricomincia a prendere Toviaz il giorno successivo. Non assumere 2 dosi di Toviaz nello stesso giorno.
- Se prendi troppo Toviaz, chiama il tuo operatore sanitario o vai immediatamente in un pronto soccorso.
Cosa dovrei evitare mentre prendi Toviaz?
- Toviaz può causare vertigini e sonnolenza sfocate. Non guidare i macchinari a funzionare o fare altre attività pericolose fino a quando non sai come Toviaz ti colpisce.
- Usa cautela in ambienti caldi. La riduzione della sudorazione e una grave malattia da calore possono verificarsi quando i medicinali come Toviaz sono utilizzati in un ambiente caldo.
- Bere alcol durante l'assunzione di medicine come Toviaz può causare una maggiore sonnolenza.
Quali sono i possibili effetti collaterali di Toviaz?
Toviaz può causare gravi effetti collaterali tra cui:
- Reazioni allergiche gravi. I sintomi di una grave reazione allergica possono includere gonfiore della gola o della lingua. Se hai uno di questi sintomi, dovresti smettere di prendere Toviaz e ottenere subito assistenza medica di emergenza.
- Incapacità di svuotare la vescica (ritenzione urinaria). Toviaz può aumentare le tue possibilità di non essere in grado di svuotare la vescica se si dispone di ostruzione a vescica. Di 'subito al tuo medico se non sei in grado di svuotare la vescica.
- Effetti del sistema nervoso centrale (SNC). Parla subito con il tuo medico se si ottiene uno di questi effetti collaterali: vertigini e sonnolenza al mal di testa.
- peggioramento dei sintomi di miastenia gravis.
Gli effetti collaterali più comuni di Toviaz negli adulti includono:
-
- bocca secca
- stipsi
Gli effetti collaterali più comuni di Toviaz nei bambini di età pari o superiore a 6 anni includono:
- diarrea
- bocca secca
- dolori di stomaco
- aumento di peso
- tratto urinario
- stipsi
- nausea
- infezione da mal di testa
Parla con il tuo operatore sanitario di qualsiasi effetto collaterale che ti disturba o che non scompare. Questi non sono tutti i possibili effetti collaterali di Toviaz. Chiama il tuo medico per consulenza medica sugli effetti collaterali. È possibile segnalare gli effetti collaterali alla FDA al numero 1-800-FDA-1088.
Come dovrei archiviare Toviaz?
- Conservare Toviaz a temperatura ambiente compresa tra 68 ° a 77 ° F (da 20 ° a 25 ° C).
- Proteggi la medicina dall'umidità mantenendo la bottiglia chiusa strettamente.
- Mantieni Toviaz e tutti i medicinali fuori dalla portata dei bambini.
Informazioni generali sull'uso sicuro ed efficace di Toviaz.
Le medicine sono talvolta prescritte a fini diversi da quelli elencati in un volantino delle informazioni del paziente. Non usare Toviaz per una condizione per la quale non è stata prescritta. Non dare Toviaz ad altre persone anche se hanno gli stessi sintomi che hai. Potrebbe danneggiare loro. Puoi chiedere al tuo farmacista o al fornitore di assistenza sanitaria informazioni su Toviaz scritta per gli operatori sanitari.
Quali sono gli ingredienti di Toviaz?
Ingrediente attivo: fesoterodina fumarato.
Ingredienti inattivi: gliceryl behenato ipromellosio indaco carminio in alluminio lago lattosio monoidrato soya lecitina microcristallina cellulosio polietilenlico glicole polivinil alcolici di biossido di titanio e xilitolo.
Queste informazioni sui pazienti sono state approvate dalla Food and Drug Administration degli Stati Uniti.