Le Informazioni Presenti Sul Sito Non Costituiscono Consulenza Medica. Non Vendiamo Nulla. L'Accuratezza Della Traduzione Non È Garantita. Disclaimer



Tekamlo

Riepilogo della droga

Cos'è Tekamlo?

Tekamlo (aliskiren e amlodipina) è un farmaco anti-ipertensivo combinato e a Blocatore del canale di calcio Utilizzato per trattare la pressione alta ( ipertensione ).

Quali sono gli effetti collaterali di Tekamlo?

Texamlo



  • orticaria
  • Difficoltà a respirare
  • gonfiore della lingua o della gola
  • arrossamento
  • diarrea
  • tosse e
  • dolori di stomaco

Ottieni subito assistenza medica se hai uno qualsiasi dei sintomi sopra elencati.



Gli effetti collaterali comuni di Tekamlo includono:

  • vertigini o Accendino Mentre il tuo corpo si adatta al farmaco.
Altri effetti collaterali di Tekamlo includono:
  • Gonfie/caviglie/piedi
  • arrossamento
  • diarrea
  • tosse
  • dolori di stomaco or upset

Cerca cure mediche o chiama il 911 contemporaneamente se hai i seguenti gravi effetti collaterali:



  • Sintomi di occhiali gravi come la perdita di visione improvvisa del tunnel della visione sfocata Dolore alla visione o gonfiore o vedere aloni attorno alle luci;
  • Sintomi cardiaci gravi come battiti cardiaci irregolari o martellanti veloci; svolazzando nel petto; fiato corto; e improvviso vertigini giuria o svenuta;
  • Grave mal di testa confusione Il braccio del linguaggio bloccato o la debolezza delle gambe problemi perdite perdita di coordinamento sentendoti instabili muscoli molto rigidi ad alta febbre abbondante sudorazione o tremori.

Questo documento non contiene tutti i possibili effetti collaterali e altri possono verificarsi. Verificare con il tuo medico ulteriori informazioni sugli effetti collaterali.

Dosaggio per tekamlo

La dose iniziale iniziale consigliata di tekamlo è di 150 mg/5 mg.

Quali sostanze o integratori di farmaci interagiscono con Tekamlo?

Tekamlo può interagire con altri farmaci per la pressione del cuore o della pressione arteriosa potassio integra sostituti di sale contenenti potassio o diuretici. Dì al medico tutti i farmaci e gli integratori che usi.

Tekamlo durante la gravidanza o l'allattamento

Tekamlo non è raccomandato per l'uso durante la gravidanza. Può danneggiare un feto. Non è noto se aliskiren o amlodipina passi nel latte materno. Consulta il medico prima dell'allattamento al seno.

Quali farmaci interagiscono con la levofloxacina?

Ulteriori informazioni

Il nostro centro farmacologico di Tekamlo (aliskiren e amlodipina) fornisce una visione completa delle informazioni disponibili sui farmaci sui potenziali effetti collaterali durante l'assunzione di questo farmaco.

Informazioni sui farmaci FDA

AVVERTIMENTO

Tossicità fetale

Descrizione per tekamlo

Tekamlo è una singola compressa per la somministrazione orale di aliskiren emifumarato (un potente inibitore della renina diretta non peptidico per via orale) e amlodipina besilato (una diidropiridina Blocatore del canale di calcio ).

Aliskiren emifumarato

L'emifumarato di aliskiren è descritto chimicamente come (2 S 4 S 5 S 7 S ) -N- (2-carbamoyl-2-metilpropil) -5-amino-4idrossi-27-diisopropil-8- [4-metossi-3- (3-metossipropossia) fenil] -ctanamide emifumide e la sua formula strutturale è:

Formula molecolare: c 30 H 53 N 3 O 6 • 0,5 c 4 H 4 O 4

L'emifumarato aliskiren è una polvere da bianco a leggermente giallastro con un peso molecolare di 609,8 (base libera551.8). È altamente solubile in acqua e liberamente solubile in metanolo etanolo e isopropanolo.

Amlodipina besilato

L'amlodipina besilato USP è chimicamente descritto come 3-etil 5-metil (±) -2-[(2-aminoetossi) metil] -4- (oclorofenil) -14-diidro-6-metil-35-piridicarbossilato monobenesolfonato e la sua formula strutturale è:

Formula molecolare: c 20 H 25 Alimentazione 2 O 5 • C. 6 H 6 O 3 S

L'amlodipina besilato è una polvere cristallina da bianco a giallo pallido con un peso molecolare di 567.1. È leggermente solubile in acqua e con parsimonia solubile in etanolo.

Le compresse di tekamlo sono formulate per la somministrazione orale per contenere aliskiren emifumarato e amlodipina besilato che prevede le seguenti combinazioni disponibili: 150 mg/5 mg 150 mg/10 mg 300 mg/5 mg e 300 mg/10 mg di aliskiren/amlodipina. Gli ingredienti inattivi per tutti i punti di forza delle compresse possono contenere il biossido di silicio colloidale crospovidone ipromellosio ossido di ferro rosso ossido di magnesio giallo stearato stearato microcristallino cellulosa polietilenglico glicole povidone talco povidone e dioxide di titanio.

Usi per tekamlo

Tekamlo è indicato per il trattamento dell'ipertensione da solo o con altri agenti antiipertensivi per ridurre la pressione sanguigna. La riduzione della pressione sanguigna riduce il rischio di eventi cardiovascolari fatali e non fatali principalmente colpi e infarti miocardici. Questi benefici sono stati osservati in studi controllati di farmaci antiipertensivi da un'ampia varietà di classi farmacologiche tra cui l'amlodipina. Non ci sono studi controllati che dimostrano una riduzione del rischio con Tekamlo.

Il controllo dell'ipertensione dovrebbe far parte della gestione completa del rischio cardiovascolare, compresa l'adeguata gestione del diabete dei lipidi per la terapia antitrombotica per la cessazione del fumo e l'assunzione limitata di sodio. Molti pazienti richiederanno più di 1 farmaco per raggiungere gli obiettivi della pressione sanguigna. Per consigli specifici sugli obiettivi e sulla gestione, consultare linee guida pubblicate come quelle del Comitato nazionale congiunto del Programma di educazione al sangue dell'ipertensione nazionale per la valutazione e il trattamento della pressione alta (JNC).

Numerosi farmaci antiipertensivi provenienti da una varietà di classi farmacologiche e con diversi meccanismi d'azione sono stati dimostrati in studi randomizzati controllati per ridurre la morbilità e la morbilità cardiovascolare e si può concludere che si tratta di riduzione della pressione sanguigna e non alcune altre proprietà farmacologiche dei farmaci che sono molto responsabili per questi benefici. Il beneficio di risultato cardiovascolare più grande e coerente è stata una riduzione del rischio di ictus, ma sono state osservate regolarmente riduzioni dell'infarto miocardico e della mortalità cardiovascolare.

L'elevata pressione sistolica o diastolica provoca un aumento del rischio cardiovascolare e l'aumento del rischio assoluto per MMHG è maggiore a pressioni ematiche più elevate in modo che anche una modesta riduzione dell'ipertensione grave possa fornire benefici sostanziali. La riduzione del rischio relativo dalla riduzione della pressione sanguigna è simile tra le popolazioni con un rischio assoluto variabile, quindi il beneficio assoluto è maggiore nei pazienti che sono a rischio più elevato indipendentemente dalla loro ipertensione (ad es. Pazienti con diabete o iperlipidemia) e che tali pazienti trarranno beneficio da un trattamento più aggressivo a un obiettivo di pressione sanguigna inferiore.

Alcuni farmaci antiipertensivi hanno effetti di pressione arteriosa più piccoli (come monoterapia) nei pazienti neri e molti farmaci antiipertensivi hanno ulteriori indicazioni ed effetti approvati (ad esempio sull'insufficienza cardiaca dell'angina o sulla malattia renale diabetica). Queste considerazioni possono guidare la selezione della terapia.

Dati dallo studio multifattoriale ad alte dosi [vedi Studi clinici ] Fornire stime della probabilità di raggiungere una pressione sanguigna bersaglio con tekamlo rispetto all'aliskiren o alla monoterapia di amlodipina. Le figure 1–4 forniscono stime della probabilità di raggiungere il controllo sistolico o diastolico della pressione arteriosa con Tekamlo 300 mg/10 mg in base alla pressione sistolica o diastolica basale. La curva di ciascun gruppo di trattamento è stata stimata mediante modellazione di regressione logistica. La probabilità stimata sulla coda giusta di ciascuna curva è meno affidabile a causa di un piccolo numero di soggetti con pressioni sanguigne di base elevate.

Figura 1: probabilità di raggiungere la pressione arteriosa sistolica (SBP) inferiore a 140 mmHg

Probability of Achieving Systolic Blood Pressure (SBP) Less Than 140 mmHg - Illustration

Figura 2: probabilità di raggiungere la pressione arteriosa diastolica (DBP) inferiore a 90 mmHg

Probability of Achieving Diastolic Blood Pressure (DBP) Less Than 90 mmHg - Illustration

Figura 3: probabilità di raggiungere la pressione arteriosa sistolica (SBP) inferiore a 130 mmHg

Probability of Achieving Systolic Blood Pressure (SBP) Less Than 130 mmHg - Illustration

Figura 4: probabilità di raggiungere la pressione arteriosa diastolica (DBP) inferiore a 80 mmHg

Probability of Achieving Diastolic Blood Pressure (DBP) Less Than 80 mmHg - Illustration

Le figure 1 e 3 forniscono un'approssimazione della probabilità di raggiungere un obiettivo di pressione sanguigna mirata (ad esempio SBP inferiore a 140 mmHg o meno di 130 mmHg) per i gruppi ad alte dose valutati nello studio. A tutti i livelli di pressione sanguigna al basale la probabilità di raggiungere un dato obiettivo diastolico o sistolica è maggiore con la combinazione che per entrambe le monoterapia. Ad esempio, la SBP/DBP di base media per i pazienti che partecipano a questo studio multifattoriale era di 157/100 mmHg. Un paziente con una pressione sanguigna di base di 157/100 mmHg ha circa il 49% di probabilità di raggiungere un obiettivo inferiore a 140 mmHg (sistolico) e il 50% di probabilità di raggiungere meno di 90 mmhg (diastol) e la sola alistolica). La probabilità di raggiungere questi obiettivi su Tekamlo sale a circa il 74% (sistolico) e l'83% (diastolico). La probabilità di raggiungere questi obiettivi sul placebo è di circa il 25% (sistolica) e il 27% (diastolico) [vedi Dosaggio e amministrazione E Studi clinici ].

Dosaggio per tekamlo

Considerazioni generali

La dose iniziale iniziale consigliata di tekamlo è di 150 mg/5 mg. Titrate as needed to a maximum of 300 mg/10 mg.

Gli effetti di abbassamento della pressione sanguigna sono in gran parte raggiunti entro 1-2 settimane. Se la pressione sanguigna rimane incontrollata dopo 2-4 settimane di terapia titola la dose a un massimo di Tekamlo 300 mg/10 mg una volta al giorno.

Terapia aggiuntiva

Utilizzare tekamlo per pazienti non adeguatamente controllati con aliskiren da solo o amlodipina besilato (o un altro bloccante del canale di calcio di diidropiridina).

Cambia un paziente che sperimenta reazioni avverse limitanti dose su entrambi i componenti da solo a Tekamlo contenente una dose inferiore di quel componente in combinazione con l'altro per ottenere una simile riduzione della pressione arteriosa.

Terapia sostitutiva

Switch i pazienti che ricevono aliskiren e amlodipina besilato da compresse separate a una singola compressa di tekamlo contenenti le stesse dosi di componente. Quando si sostituiscono i singoli componenti, aumenta la dose di uno o entrambi i componenti se il controllo della pressione sanguigna non è stato soddisfacente.

Relazione con i pasti

I pazienti devono stabilire un modello di routine per prendere tekamlo con o senza un pasto. I pasti ricchi di grassi riducono sostanzialmente l'assorbimento [vedi Farmacologia clinica ].

Come fornito

Dosaggio Forms And Strengths

  • Compresse di amlodipina da 150 mg di aliskiren/5 mg: compressa con rivestimento a forma di film con in convesso ovaleide in convesso in convesso con un bordo smusso con un bordo con debossing T2 su un lato e NVR sul retro della tavoletta.
  • Compresse di amlodipina da 150 mg aliskiren/10 mg: compressa con rivestimento a forma di film con convesso ovaleide giallo con convesso con un bordo smusso con il debossing T7 su un lato e NVR sul retro della tavoletta.
  • 300 mg di aliskiren/5 mg compresse di amlodipina: compressa con rivestimento a forma di film con convesso ovaleide scuro non punteggiato con un bordo smussaggio con debossing T11 su un lato e NVR sul retro della tavoletta.
  • 300 mg di aliskiren/10 mg compresse di amlodipina: compressa con rivestimento con pellicola a forma di film con convesso con convesso con convesso con convesso con convesso con convesso con un lato con un lato e NVR sul lato reverse della compressa.

Archiviazione e maneggevolezza

Tekamlo (aliskiren e amlodipina) viene fornito come segue:

Compresse da 150 mg di aliskiren/5 mg di amlodipina-Tablet con pellicola a forma di convesso a forma di convesso a forma di convesso con convesso con un bordo smusso con un debossing T2 su un lato e NVR sul retro della tavoletta. Le dimensioni della compressa sono circa 16 x 6,3 mm.

Compresse da 150 mg di aliskiren/10 mg di amlodipina-Tablet a forma di pellicola a forma convessa gialla con convesso con convesso con un bordo smusso con un debossing T7 su un lato e NVR sul retro della tavoletta. Le dimensioni della compressa sono circa 16 x 6,3 mm.

Compresse di amlodipina da 300 mg aliskiren/5 mg-Tablet con pellicola a forma di convesso con convesso con convesso con convesso con convesso con un bordo smusso con un bordo smusso con debossing T11 su un lato e NVR sul retro della tavoletta. Le dimensioni della compressa sono circa 21 x 8,3 mm.

Compresse di amlodipina da 300 mg aliskiren/10 mg-Tablet con rivestimento con pellicola con in convesso con in convesso con in convesso con in convesso con in convesso con un bordo smusso con un bordo con debossing T12 su un lato e NVR sul retro della tavoletta. Le dimensioni della compressa sono circa 21 x 8,3 mm.

Tutti i punti di forza sono confezionati in bottiglie e pacchetti di blister a dose unitaria (10 strisce di 10 tablet) come descritto nella Tabella 2.

Tabella 2: fornitura di compresse Tekamlo

Tablet Colore Debossato Debossato NDC 0078-XXXX-XX
Aliskiren emifumarato /amlodipina besilato Lato 1 Lato 2 Bottiglia di 30 Bottiglia di 90 Pacchetti di blister di
100
150 mg/5 mg Giallo chiaro T2 Nvr 0603-15 0603-34 0603-35
150 mg/10 mg Giallo T7 Nvr 0604-15 0604-34 0604-35
300 mg/5 mg Giallo scuro T11 Nvr 0605-15 0605-34 0605-35
300 mg/10 mg Giallo marrone T12 Nvr 0606-15 0606-34 0606-35
Magazzinaggio

Conservare a 25 ° C (77 ° F); Escursioni consentite da 15 ° C a 30 ° C (da 59 ° F a 86 ° F) nel contenitore originale.

Proteggere dal calore e dall'umidità.

Dispensare nel contenitore originale.

Distribuito da: Novartis Pharmaceuticals Corporation East Hanover New Jersey 07936. Revisionato: nov 2016

Effetti collaterali for Tekamlo

Studi clinici Experience

Le seguenti gravi reazioni avverse sono discusse in maggior dettaglio in altre sezioni dell'etichetta:

  • Tossicità fetale [vedi AVVERTIMENTOS AND PRECAUZIONI ]
  • Reazioni anafilattiche e angioedema della testa e del collo [vedi AVVERTIMENTOS AND PRECAUZIONI ]
  • Ipotensione [vedi AVVERTIMENTOS AND PRECAUZIONI ]

Poiché gli studi clinici sono condotti in condizioni di reazione avversa ampiamente variabili osservate negli studi clinici di un farmaco non possono essere paragonati direttamente ai tassi negli studi clinici di un altro farmaco e potrebbero non riflettere i tassi osservati nella pratica.

Tekamlo

Tekamlo has been evaluated for safety in more than 2800 patients including 372 patients for 1 year or longer.

In uno studio controllato con placebo c'erano 51% maschi 62% caucasici 20% neri 18% ispanici e 17% che avevano più di 65 anni. In questo studio l'incidenza generale di eventi avversi in terapia con tekamlo era simile ai singoli componenti. L'interruzione della terapia dovuta a un evento avverso clinico in questo studio si è verificato nell'1,7% dei pazienti trattati con tekamlo (NULL,2% nel gruppo dose più alto) rispetto all'1,5% dei pazienti somministrati.

L'edema periferico è un noto effetto avverso dose-dipendente dell'amlodipina. L'incidenza dell'edema periferico per tekamlo in studi a breve termine a bordo cieco era inferiore o uguale a quello delle corrispondenti dosi di amlodipina.

L'evento avverso in uno studio controllato con placebo che si è verificato in almeno il 2% dei pazienti trattati con tekamlo e con una maggiore incidenza rispetto al placebo era edema periferico (NULL,2% contro 1,0%). Il tasso di incidenza dell'edema periferico ad alte dose era dell'8,9%.

In una prova di sicurezza a lungo termine il profilo di sicurezza degli eventi avversi era simile a quello visto nelle prove controllate a breve termine.

Aliskiren

Aliskiren has been evaluated for safety in 6460 patients including 1740 treated for longer than 6 months E 1250 for longer than 1 year. In placebo-controlled clinical trials discontinuation of therapy because of a clinical adverse event including uncontrolled ipertensione occurred in 2.2% of patients treated with aliskiren versus 3.5% of patients given placebo. These data do not include information from the ALTITUDE study which evaluated the use of aliskiren in combination with ARBs or ACEIs [see Controindicazioni AVVERTIMENTOS AND PRECAUZIONI E Studi clinici ].

Sono stati riportati due casi di angioedema con sintomi respiratori con uso di aliskiren negli studi clinici. Sono stati riportati altri due casi di edema periorbitale senza sintomi respiratori come possibile angioedema e hanno provocato l'interruzione. Il tasso di questi casi di angioedema negli studi completati era dello 0,06%.

Inoltre, sono stati segnalati altri 26 casi di edema che coinvolgono le mani del viso o l'intero corpo con uso di aliskiren, incluso 4 che portano a sospensione.

Negli studi controllati con placebo, tuttavia l'incidenza dell'edema che coinvolge le mani del viso o l'intero corpo era dello 0,4% con aliskiren rispetto allo 0,5% con il placebo. In uno studio a lungo termine controllato attivo con bracci di aliskiren e HCTZ, l'incidenza dell'edema che coinvolge le mani del viso o il corpo intero era dello 0,4% in entrambi i bracci di trattamento.

Aliskiren produces dose-related gastrointestinal (GI) adverse reactions. Diarrhea was reported by 2.3% of patients at 300 mg compared to 1.2% in placebo patients. In women E the elderly (age 65 years E older) increases in diarrea rates were evident starting at a dose of 150 mg daily with rates for these subgroups at 150 mg similar to those seen at 300 mg for men or younger patients (all rates about 2%). Other GI symptoms included abdominal pain dyspepsia E gastroesophageal reflux although increased rates for abdominal pain E dyspepsia were distinguished from placebo only at 600 mg daily. Diarrhea E other GI symptoms were typically mild E rarely led to discontinuation.

Aliskiren was associated with a slight increase in tosse in the placebo-controlled studies (1.1% for any aliskiren use versus 0.6% for placebo). In active-controlled trials with ACE inhibitor (ramipril lisinopril) arms the rates of tosse for the aliskiren arms were about one-third to one-half the rates in the ACE inhibitor arms.

Altre reazioni avverse con aumento dei tassi per aliskiren rispetto al placebo includeva eruzione cutanea (1% contro 0,3%) acido urico elevato (NULL,4% contro 0,1%) di gotta (NULL,2% contro 0,1%) e calcoli renali (NULL,2% contro 0%).

Sono stati segnalati singoli episodi di convulsioni toniche-cloniche con perdita di coscienza in 2 pazienti trattati con aliskiren negli studi clinici. Un paziente aveva cause predisponenti per convulsioni e aveva un elettroencefalogramma negativo (EEG) e l'imaging cerebrale a seguito delle convulsioni; Per gli altri risultati del paziente EEG e imaging non sono stati riportati. Aliskiren è stato sospeso e non vi è stata alcuna ricarica in entrambi i casi.

Non sono stati osservati cambiamenti clinicamente significativi nei segni vitali o in ECG (incluso l'intervallo di QTC) nei pazienti trattati con aliskiren.

Amlodipina besilato

Amlodipina (Norvasc ® ) è stato valutato per la sicurezza in oltre 11000 pazienti negli Stati Uniti e studi clinici stranieri. Altri eventi avversi che sono stati segnalati inferiori all'1% ma maggiore dello 0,1% dei pazienti in studi clinici controllati o in condizioni di studi aperti o esperienza di marketing in cui una relazione causale è incerta:

Cardiovascolare: Aritmia (compresa tachicardia ventricolare e fibrillazione atriale) Bradicardia Dolore toracico periferico Ischemia Syncope Tachicardia vasculite

Sistema nervoso centrale e periferico: Ipotitesia neuropatia periferica parestesia tremore vertigini

Gastrointestinale: anoressia costipazione disfagia diarrea flatulenza pancreatite vomito iperplasia gengivale

Generale: ASTHENIA DI REAZIONE ALLERGICA ** PILE SCHEDE COLDE CALDA MALISE DOLORE COLURS AUPERO DI PESO DI PESO DI PIGLIO

Sistema muscoloscheletrico: artrosi artrosi crampi muscolari ** mialgia

Psichiatrico: Disfunzione sessuale (maschio ** e femmina) Nervosismo di insonnia Depressione anomale ansia deperselizzazione

Sistema respiratorio: Dispnea ** Epistaxis

Skin e appendici: Angioedema eritema multiforme prurito ** eruzione cutanea ** eritematosa erita maculopapolare

** Questi eventi si sono verificati in meno dell'1% negli studi controllati con placebo, ma l'incidenza di questi effetti collaterali è stata tra l'1% e il 2% in tutti gli studi di dose multipla.

Sensi speciali: Visione anormale congiuntivite diplopia per occhio acido

Sistema urinario: Disturbo a minto di micturizione della frequenza di minzione Nocturia

Sistema nervoso autonomo: La sudorazione della bocca secca è aumentata

Metabolico e nutrizionale: Iperglicemia Sete

Emopeneietico: Leucopenia purpura trombocitopenia

Other events reported with amlodipine at a frequency of less than or equal to 0.1% of patients include: cardiac failure pulse irregularity extrasystoles skin discoloration urticaria skin dryness alopecia dermatitis muscle weakness twitching ataxia hypertonia migraine cold and clammy skin apathy agitation amnesia gastritis increased appetite loose stools rhinitis dysuria polyuria parosmia taste perversion alloggio visivo anormale e xerophthalmia. Altre reazioni si sono verificate sporadicamente e non possono essere distinte dai farmaci o dagli stati della malattia simultanea come l'infarto del miocardio e l'angina.

Anomalie di test di laboratorio clinico

Emoglobina ed ematocrito RBC Count:

Piccoli cambiamenti medi rispetto al basale sono stati osservati nell'emoglobina del numero di globuli rossi e nell'ematocrito nei pazienti trattati con monoterapia sia con tekamlo che aliskiren. Questo effetto è visto anche con altri agenti che agiscono sul sistema renina-angiotensina. Negli studi di monoterapia di aliskiren questi riduzioni hanno portato a lievi aumenti dei tassi di anemia rispetto al placebo (NULL,1% per qualsiasi uso di aliskiren dello 0,3% per aliskiren 600 mg al giorno contro 0% per placebo). Nessun paziente è stato interrotto a causa di anemia.

Azoto di urea nel sangue (BUN)/creatinina:

Nei pazienti con ipertensione non trattati in concomitanza con un elevazione ARB o ACEI in BUN (maggiore di 40 mg/dL) e creatinina (maggiore di 2,0 mg/dL) nei pazienti trattati con tekamlo erano inferiori all'1,0%.

Potassio sierico:

Nei pazienti con ipertensione non trattati in modo concomitante con un ARB o ACEI aumenta di potassio sierico maggiore di 5,5 mEq/L erano rari (NULL,9% rispetto allo 0,6% con il placebo) [vedi Controindicazioni E AVVERTIMENTOS AND PRECAUZIONI ].

imballaggio della lista di controllo del viaggio

Esperienza post -marketing

Le seguenti reazioni avverse sono state identificate durante l'uso post -approvazione di aliskiren o amlodipina. Poiché queste reazioni sono riportate volontariamente da una popolazione di dimensioni incerte, non è sempre possibile stimare la loro frequenza o stabilire una relazione causale all'esposizione ai farmaci:

Aliskiren

Edema periferico Reazioni avverse cutanee gravi tra cui la sindrome di Stevens-Johnson e la necrolisi epidermica tossica orticaria enzima

Ipersensibilità

Reazioni anafilattiche e angioedema che richiedono la gestione delle vie aeree e il ricovero

Amlodipina

Il seguente evento post -marketing è stato riportato raramente in cui una relazione causale è incerta: la ginecomastia. Nell'esperienza post -marketing di ittero e elevazioni enzimatiche epatiche (per lo più coerenti con la colestasi o l'epatite) in alcuni casi abbastanza gravi da richiedere il ricovero in associazione sono stati riportati in associazione con l'uso di amlodipina.

Interazioni farmacologiche for Tekamlo

Non sono stati condotti studi di interazione farmacologica con tekamlo e altri farmaci sebbene gli studi con i singoli componenti di aliskiren e amlodipina besilato sono descritti di seguito.

Aliskiren

Ciclosporina

Evita la somministrazione di co -ciclosporina con aliskiren [vedi AVVERTIMENTOS AND PRECAUZIONI E Farmacologia clinica ].

Itraconazolo

Evita la somministrazione di co -collaborazione di itraconazolo con aliskiren [vedi AVVERTIMENTOS AND PRECAUZIONI E Farmacologia clinica ].

Farmaci antinfiammatori non steroidei (FANS) inclusi inibitori selettivi della cicloossigenasi-2 (inibitori della COX-2)

In patients who are elderly volume-depleted (including those on diuretic therapy) or with compromised renal function coadministration of NSAIDs including selective COX-2 inhibitors with agents that affect the renin-angiotensin-aldosterone system including aliskiren may result in deterioration of renal function including possible acute renal failure. Questi effetti sono generalmente reversibili. Monitorare periodicamente la funzione renale nei pazienti che ricevono terapia di aliskiren e FANS.

L'effetto antiipertensivo di aliskiren può essere attenuato dai FANS.

Doppio blocco del sistema renina-angiotensina-aldosterone (RAAS)

L'uso concomitante di aliskiren con altri agenti che agisce su RAAS come ACEI o ARBS è associato ad un aumentato rischio di iperkalemia ipotensione e cambiamenti nella funzione renale (compresa l'insufficienza renale acuta) rispetto alla monoterapia. La maggior parte dei pazienti che ricevono la combinazione di due farmaci che inibiscono il sistema renina-angiotensina non ottengono alcun vantaggio aggiuntivo rispetto alla monoterapia. In generale evitare l'uso combinato di aliskiren con ACE -inibitori o ARB in particolare in pazienti con CRCL inferiore a 60 ml/min.

Monitorare la funzione renale della pressione sanguigna ed elettroliti nei pazienti su aliskiren e altri agenti che colpiscono la RAAS [vedi AVVERTIMENTOS AND PRECAUZIONI ].

L'uso concomitante di aliskiren con un ARB o un ACEI in pazienti diabetici è controindicato [vedi Controindicazioni ].

Furosemide

La co -somministrazione orale di aliskiren e furosemide ha ridotto l'esposizione alla furosemide. Monitorare gli effetti diuretici quando la furosemide è amministrata con aliskiren.

Amlodipina besilato

Simvastatin

La somministrazione di co -sommuta di simvastatina con amlodipina aumenta l'esposizione sistemica della simvastatina. Limitare la dose di simvastatina nei pazienti con amlodipina a 20 mg al giorno.

Inibitori del CYP3A4

La somministrazione di co -somministrazione con inibitori del CYP3A (moderati e forti) comporta una maggiore esposizione sistemica all'amlodipina che garantisce una riduzione della dose. Monitorare i sintomi di ipotensione ed edema quando l'amlodipina viene amministrata con co -amministrazione con inibitori del CYP3A4 per determinare la necessità di regolazione della dose.

Induttori del CYP3A4

Non sono disponibili informazioni sugli effetti quantitativi degli induttori del CYP3A4 sull'amlodipina. La pressione sanguigna deve essere monitorata quando l'amlodipina è amministrata in modo conciso con induttori del CYP3A4.

Avvertimenti per Tekamlo

Incluso come parte del 'PRECAUZIONI' Sezione

Precauzioni per tekamlo

Tossicità fetale

L'uso di farmaci che agiscono sul sistema renina-angiotensina durante il secondo e il terzo trimestre di gravidanza riduce la funzione renale fetale e aumenta la morbilità e la morte fetale e neonatale. La risultante oligoidramnios può essere associata all'ipoplasia polmonare fetale e alle deformazioni scheletriche. I potenziali effetti avversi neonatali includono ipoplasia del cranio anuria ipotensione insufficienza renale e morte. Quando la gravidanza viene rilevata, interrompere il tekamlo il prima possibile [vedi Utilizzare in popolazioni specifiche ].

Compromissione renale/iperkaliemia/ipotensione quando tekamlo viene somministrato in combinazione con ARB o acei

Tekamlo is contraindicated in patients with diabetes who are receiving ARBs or ACEIs because of the increased risk of renal impairment hyperkalemia E hypotension. In general avoid combined use of aliskiren with ACE inibitori or ARBs particularly in patients with creatinine clearance (CrCl) less than 60 mL/min [see Controindicazioni Interazioni farmacologiche E Studi clinici ].

Reazioni anafilattiche e angioedema della testa e del collo

Aliskiren

Ipersensibilità reactions such as anaphylactic reactions E angioedema of the face extremities lips tongue glottis E/or larynx have been reported in patients treated with aliskiren E has necessitated hospitalization E intubation. This may occur at any time during treatment E has occurred in patients with E without a history of angioedema with ACEIs or angiotensin receptor antagonists. Anaphylactic reactions have been reported from postmarketing experience with unknown frequency. If angioedema involves the throat tongue glottis or larynx or if the patient has a history of upper respiratory surgery airway obstruction may occur E be fatal. Patients who experience these effects even without respiratory distress require prolonged observation E appropriate monitoring measures since treatment with antihistamines E corticosteroids may not be sufficient to prevent respiratory involvement. Prompt administration of subcutaneous epinephrine solution 1:1000 (0.3 mL to 0.5 mL) E measures to ensure a patent airway may be necessary.

Interrompere immediatamente il tekamlo nei pazienti che sviluppano reazioni anafilattiche o angioedema e non rettifica [vedi Dosaggio e amministrazione Controindicazioni ].

Ipotensione

L'ipotensione sintomatica può verificarsi dopo l'inizio del trattamento con tekamlo in pazienti con graduazione di pazienti con esaurimento del volume con deplezione di sale o con uso combinato di aliskiren e altri agenti che agiscono sul sistema reninangiotensin-aldosterone (RAAS). Il volume o l'esaurimento del sale devono essere corretti prima della somministrazione di Tekamlo o il trattamento dovrebbe iniziare sotto una stretta supervisione medica.

Una risposta ipotensiva transitoria non è una controindicazione per un ulteriore trattamento che di solito può essere continuata senza difficoltà una volta che la pressione sanguigna si è stabilizzata.

Amlodipina besylate

L'ipotensione sintomatica è possibile in particolare nei pazienti con stenosi aortica grave. A causa dell'insorgenza graduale dell'azione è improbabile l'ipotensione acuta.

Rischio di infarto miocardico o aumento dell'angina

Il peggioramento dell'angina e dell'infarto miocardico acuto può svilupparsi dopo aver avviato o aumentato la dose di amlodipina, in particolare con grave malattia coronarica ostruttiva.

Funzione renale alterata

Monitorare periodicamente la funzione renale nei pazienti trattati con tekamlo. I cambiamenti nella funzione renale, incluso l'insufficienza renale acuta, possono essere causati da farmaci che colpiscono il RAAS. I pazienti la cui funzione renale può dipendere in parte dall'attività della RAAS (ad es. I pazienti con stenosi dell'arteria renale grave insufficienza cardiaca grave dopo l'infarto o l'esaurimento del volume) o i pazienti che hanno ricevuto ACEI ACEI o Terapia non-inframmatori, incluso insufficienza antinfiammatoria, incluso insufficienza antinfiammatoria, incluso insufficienza ACUTMAMENT [Vedere Compromissione renale/iperkaliemia/ipotensione quando tekamlo viene somministrato in combinazione con ARB o acei Interazioni farmacologiche Utilizzare in popolazioni specifiche E Studi clinici ]. Consider withholding or discontinuing therapy in patients who develop a clinically significant decrease in renal function [see Dosaggio e amministrazione ].

Ciclosporina Or Itraconazolo

Aliskiren

Quando aliskiren è stato somministrato con ciclosporina o itraconazolo, le concentrazioni ematiche di aliskiren sono state significativamente aumentate. Evita l'uso concomitante di aliskiren con ciclosporina o itraconazolo [vedi Interazioni farmacologiche ].

Iperkalemia

Aliskiren

Monitorare periodicamente il potassio sierico nei pazienti che ricevono aliskiren. I farmaci che colpiscono il RAAS possono causare iperkaliemia. I fattori di rischio per lo sviluppo dell'iperkalemia includono l'uso di combinazione di diabete di insufficienza renale con ARB o ACEI [vedi Controindicazioni Compromissione renale/iperkaliemia/ipotensione quando tekamlo viene somministrato in combinazione con ARB o acei E Studi clinici ] FANS tra cui inibitori selettivi della cicloossigenasi-2 (inibitori della COX-2) o integratori di potassio o diuretici a risparmio di potassio.

Informazioni sulla consulenza del paziente

Consiglia al paziente di leggere l'etichettatura del paziente approvato dalla FDA ( Informazioni sul paziente )

Gravidanza

Informare le donne pazienti in età fertile sulle conseguenze dell'esposizione a Tekamlo durante la gravidanza. Discutere le opzioni terapeutiche con le donne che prevedono di rimanere incinta. Consiglia ai pazienti di segnalare le gravidanze al proprio medico il più presto possibile.

Lattazione

Consiglia alle donne infermieristiche che l'allattamento al seno non è raccomandato durante il trattamento con tekamlo [vedi Utilizzare in popolazioni specifiche ].

Ipotensione sintomatica

ATTENZIONE I pazienti che ricevono tekamlo secondo cui l'arredamento può verificarsi soprattutto durante i primi giorni di terapia e che dovrebbe essere segnalato al medico prescrittore. Di 'ai pazienti che se la sincope si verifica interrompere il tekamlo fino a quando il medico non è stato consultato.

Attenzione a tutti i pazienti che l'assunzione inadeguata del fluido diarrea o vomito eccessivo può portare a una caduta eccessiva della pressione sanguigna con le stesse conseguenze di vertigini e possibile sincope.

Reazioni anafilattiche e angioedema

Consiglia ai pazienti di segnalare immediatamente eventuali segni o sintomi che suggeriscono una grave reazione allergica (difficoltà a respirare o deglutire la tenuta delle alveari del torace Rashing generale che gonfia il prurito vomito o il dolore addominale) o l'angiedema (gonfiore degli occhi del viso gli occhi le labbra della lingua difficoltà a deglutire la deglutizione o la respirazione) e non assumere più farmaci fino a quando non hanno consultato il medico. L'angioedema incluso edema laringeo può verificarsi in qualsiasi momento durante il trattamento con Tekamlo.

Integratori di potassio

Dì ai pazienti che ricevono tekamlo di non utilizzare integratori di potassio o sostituti del sale contenenti potassio senza consultare il medico prescrittore.

Relazione con i pasti

Consiglia ai pazienti di stabilire un modello di routine per prendere Tekamlo per quanto riguarda i pasti. I pasti ricchi di grassi riducono sostanzialmente l'assorbimento.

Tossicologia non clinica

Mutagenesi della carcinogenesi compromissione della fertilità

Studi con aliskiren emifumarato e amlodipina besilato

Non sono stati condotti studi di mutagenicità o fertilità di cancerogenicità con la combinazione di emifumarato di aliskiren e amlodipina besilato. Tuttavia, questi studi sono stati condotti per aliskiren emifumarato e amlodipina besilato da solo.

Studi con aliskiren emifumarato

Il potenziale cancerogeno è stato valutato in uno studio di ratto a 2 anni e uno studio di topo transgenico (Rash2) a 6 mesi con emifumarato di aliskiren a dosi orali fino a 1500 mg di aliskiren/kg/die. Sebbene non vi siano stati aumenti statisticamente significativi dell'incidenza del tumore associati all'esposizione all'iperplasia epiteliale della mucosa alischiren (con o senza erosione/ulcerazione) studiato. Su una base sistemica di esposizione (AUC0-24HR) 1500 mg/kg/giorno nel ratto è di circa 4 volte e nel topo circa 1,5 volte il MRHD (300 mg aliskiren/giorno). L'iperplasia della mucosa nel ceco o nel colon dei ratti è stata anche osservata a dosi di 250 mg/kg/die (la dose più bassa testata) e a dosi più elevate in studi di 4 e 13 settimane.

Aliskiren hemifumarate was devoid of genotoxic potential in the Ames reverse mutation assay with S. typhimurium E E. coli the in vitro Saggio di aberrazione cromosomica delle cellule di ovaio cinese il saggio in vitro Test del gene cellulare del criceto cinese V79 e il in vivo Test del micronucleo del midollo osseo di ratto.

La fertilità dei ratti maschi e femmine non è stata influenzata a dosi fino ad aliskiren 250 mg/kg/giorno (8 volte il MRHD di aliskiren 300 mg/60 kg su un mg/m 2 base).

Studi con amlodipina besilato

Ratti e topi trattati con amlodipina malate nella dieta per un massimo di 2 anni a concentrazioni calcolate per fornire livelli giornalieri di dosaggio di 0,5 1,25 e 2,5 mg di amlodipina/kg/giorno non hanno mostrato evidenza di un effetto cancerogeno del farmaco. Per il topo la dose più alta era su mg/m 2 base simile al MRHD di 10 mg di amlodipina/giorno. Per il ratto la dose più alta era su un mg/m 2 base circa il doppio del MRHD.

Gli studi di mutagenicità condotti con amlodipina maleato non hanno rivelato effetti legati al farmaco a livello di gene o cromosoma.

Non vi è stato alcun effetto sulla fertilità dei ratti trattati per via orale con amlodipina maleato (maschi per 64 giorni e femmine per 14 giorni prima dell'accoppiamento) a dosi fino a 10 mg di amlodipina/kg/giorno (circa 10 volte il MRHD di 10 mg/giorno su un mg/m 2 base).

Utilizzare in popolazioni specifiche

Gravidanza

Riepilogo del rischio

Tekamlo can cause fetal harm when administered to a pregnant woman. Use of drugs that act on the reninangiotensin system during the second E third trimesters of pregnancy reduces fetal renal function E increases fetal E neonatal morbidity E death. Most epidemiologic studies examining fetal abnormalities after exposure to antihypertensive use in the first trimester have not distinguished drugs affecting the reninangiotensin system from other antihypertensive agents. When pregnancy is detected discontinue Tekamlo as soon as possible.

Il rischio di background stimato di principali difetti alla nascita e aborto spontaneo per la popolazione indicata non è noto. Tutte le gravidanze hanno un rischio di fondo di perdita di difetti alla nascita o altri risultati avversi. Nella popolazione generale degli Stati Uniti il ​​rischio di background stimato di gravi malformazioni e abortificazione nelle gravidanze clinicamente riconosciute è rispettivamente del 2-4% e del 15-20%.

Considerazioni cliniche

Rischio materno e/o embrione/o fetale associato alla malattia

Tablet rosa

L'ipertensione in gravidanza aumenta il rischio materno per il diabete gestazionale pre-eclampsia complicanze premature e le complicanze del parto (ad es. Necessità di taglio cesareo e emorragia post-partum). L'ipertensione aumenta il rischio fetale per la restrizione di crescita intrauterina e la morte intrauterina. Le donne in gravidanza con ipertensione devono essere attentamente monitorate e gestite di conseguenza.

Reazioni avverse fetali/neonatali

Aliskiren

L'uso di farmaci che agiscono sul sistema renina-angiotensina nel secondo e terzo trimestri di gravidanza può comportare la seguente: ridotta funzione renale fetale che porta all'ipoplasia polmonare fetale di oligoidramnios renale e deformazioni scheletriche tra cui l'ipoplasia del cranio e la morte. Nel caso insolito che non vi è alcuna alternativa appropriata alla terapia con farmaci che colpiscono il sistema renina-angiotensina per un particolare paziente, acconsentono alla madre del potenziale rischio per il feto.

Nei pazienti che assumono tekamlo durante la gravidanza eseguono esami ecografici seriali per valutare l'ambiente intra-amniotico. I test fetali possono essere appropriati in base alla settimana di gestazione. I pazienti e i medici dovrebbero essere consapevoli che gli oligoidramnios potrebbero non apparire fino a quando il feto ha subito lesioni irreversibili. Osservare da vicino i bambini con storie di in utero Esposizione a tekamlo per oliguria ipotensione e iperkaliemia. Se si verificano oliguria o ipotensione nei neonati con una storia di in utero L'esposizione a Tekamlo supporta la pressione sanguigna e la perfusione renale. Le trasfusioni di scambio o la dialisi possono essere richieste come mezzo per invertire ipotensione e sostituire la funzione renale disordinata.

Dati

Dati sugli animali

Non sono stati condotti studi di tossicità riproduttiva con la combinazione di aliskiren e amlodipina besilato, tuttavia questi studi sono stati condotti solo per aliskiren e amlodipina besilato.

Aliskiren

Negli studi sulla tossicità dello sviluppo ratti e conigli incinti hanno ricevuto emifumarato aliskiren orale durante l'organogenesi a dosi fino a 20 e 7 volte la dose umana massima raccomandata (MRHD) basata sulla superficie corporea (mg/m 2 ) rispettivamente in ratti e conigli. (Le dosi di animale effettive erano fino a 600 mg/kg/die nei ratti e fino a 100 mg/kg/die nei conigli.) Non è stata osservata teratogenicità; Tuttavia, il peso alla nascita fetale è stato ridotto nei conigli a dosi 3,2 volte l'MRHD in base alla superficie corporea (mg/m 2 ). Aliskiren was present in placentas amniotic fluid E fetuses of pregnant rabbits.

Amlodipina

Non è stata trovata alcuna evidenza di teratogenicità o embrione/tossicità fetale quando i ratti in gravidanza e i conigli sono stati trattati per via orale con amlodipina maleato a dosi fino a 10 mg di amlodipina/kg/die (circa 10 e 20 volte l'MRHD basato sulla superficie corporea basata sull'area della superficie corporea) durante i rispettivamente periodi di organogenesi. Tuttavia, per la dimensione della lettiera dei ratti è stato significativamente ridotto (di circa il 50%) e il numero di decessi intrauterini è stato significativamente aumentato (circa 5 volte). L'amlodipina ha dimostrato di prolungare sia il periodo di gestazione che la durata del lavoro nei ratti a questa dose.

Questi studi sugli animali sono stati condotti in base agli standard del tempo.

Lattazione

Riepilogo del rischio

Non ci sono informazioni sulla presenza di tekamlo o aliskiren nel latte umano gli effetti sul bambino allattato al seno o sugli effetti sulla produzione di latte. Studi pubblicati limitati riportano che l'amlodipina è presente nel latte umano. Tuttavia, non ci sono informazioni sufficienti per determinare gli effetti dell'amlodipina sul bambino allattato al seno. Non ci sono informazioni disponibili sugli effetti dell'amlodipina sulla produzione di latte. A causa del potenziale di gravi reazioni avverse tra cui iperkaliemia ipotensione e compromissione renale nei bambini infermieristici consigliano a una donna infermieristica che l'allattamento al seno non è raccomandato durante il trattamento con Tekamlo.

Uso pediatrico

La sicurezza ed efficacia di Tekamlo nei pazienti pediatrici non è stata stabilita.

Studi preclinici indicano un potenziale per un sostanziale aumento dell'esposizione ad aliskiren nei pazienti pediatrici [vedi Tossicologia non clinica ].

Neonati con una storia di esposizione in utero a tekamlo

Se l'oliguria o l'ipotensione si verificano attenzione diretta verso il supporto della pressione sanguigna e della perfusione renale. Le trasfusioni di scambio o la dialisi possono essere richieste come mezzo per invertire ipotensione e/o sostituire la funzione renale disordinata.

Uso geriatrico

L'esposizione ad aliskiren e amlodipina è aumentata nei pazienti di età pari o superiore a 65 anni. Prendi in considerazione l'inizio con la dose più bassa disponibile di amlodipina. La resistenza più bassa di Tekamlo contiene 5 mg di amlodipina [vedi Farmacologia clinica ].

Negli studi clinici controllati a breve termine di Tekamlo, il 17% dei pazienti trattati con tekamlo aveva 65 anni di età pari o più. Non sono state osservate differenze complessive nella sicurezza o nell'efficacia tra questi soggetti e i soggetti più giovani. Altra esperienza clinica segnalata non ha identificato le differenze nelle risposte tra i pazienti anziani e più giovani, ma non è possibile escludere una maggiore sensibilità di alcuni individui più anziani.

Compromissione epatica

L'esposizione all'amlodipina è aumentata nei pazienti con insufficienza epatica, considerano così l'uso di dosi più basse di tekamlo [vedi Farmacologia clinica ].

Compromissione renale

Non vi è alcun impatto sulla funzione renale sulla farmacocinetica di aliskiren e amlodipina. Tuttavia, la sicurezza e l'efficacia del tekamlo nei pazienti con grave compromissione renale (clearance della creatinina (CRCL) meno di 30 ml/min) non sono state stabilite poiché questi pazienti sono stati esclusi negli studi clinici [vedi AVVERTIMENTOS AND PRECAUZIONI Farmacologia clinica E Studi clinici ].

Informazioni per overdose per tekamlo

Aliskiren

Sono disponibili dati limitati relativi al sovradosaggio nell'uomo. La manifestazione più probabile del sovradosaggio sarebbe ipotensione. Se si dovrebbe verificarsi ipotensione sintomatica, fornisce un trattamento di supporto.

Aliskiren is poorly dialyzed. Therefore hemodialysis is not adequate to treat aliskiren overexposure [see Farmacologia clinica ].

Amlodipina besilato

Ci si può aspettare che il sovradosaggio causino vasodilatazione periferica eccessiva con marcata ipotensione e possibilmente una tachicardia riflessa. Sono state riportate ipotensione sistemica marcata e potenzialmente prolungata fino a includere lo shock con esito fatale. Nell'esperienza umana con il sovradosaggio intenzionale di amlodipina è limitato.

Le singole dosi orali di amlodipina malate equivalenti a 40 mg di amlodipina/kg e 100 mg di amlodipina/kg nei topi e ratti hanno causato rispettivamente decessi. Dosi di amlodipina singola orale malate equivalenti a 4 o più mg di amlodipina/kg o superiore nei cani (11 o più volte il MRHD su un mg/m 2 base) ha causato una marcata vasodilatazione periferica e ipotensione.

Se si dovrebbe verificarsi un sovradosaggio massiccio, avviare un monitoraggio cardiaco e respiratorio attivo. Le frequenti misurazioni della pressione sanguigna sono essenziali. Se si verifica l'ipotensione fornire supporto cardiovascolare, tra cui l'elevazione delle estremità e la somministrazione giudiziosa dei fluidi. Se l'ipotensione rimane insensibile a queste misure conservative, considera la somministrazione di vasopressori (come la fenilefrina) con attenzione al volume circolante e alla produzione di urina. Poiché l'amlodipina è altamente legata all'emodialisi non è probabile che sia di beneficio. È stato dimostrato che la somministrazione di carbone attivo a volontari sani immediatamente o fino a 2 ore dopo l'ingestione di amlodipina riduce significativamente l'assorbimento di amlodipina.

Controindicazioni per tekamlo

Non utilizzare aliskiren con ARB o acei in pazienti con diabete [vedi AVVERTIMENTOS AND PRECAUZIONI E Studi clinici ].

Tekamlo is contraindicated in patients with known hypersensitivity to any of the components [see AVVERTIMENTOS AND PRECAUZIONI ].

Farmacologia clinica for Tekamlo

Meccanismo d'azione

Aliskiren

La renina è secreta dal rene in risposta alle diminuzioni del volume del sangue e della perfusione renale. La renina scinse l'angiotensinogeno per formare l'angiotensina I inattiva del decapeptide (Ang I). Ang I viene convertito in ottapeptide attivo angiotensina II (ANG II) dall'enzima di conversione dell'angiotensina (ACE) e percorsi non ACE. L'ANG II è un potente vasocostrittore e porta al rilascio di catecolamine dal midollo surrenale e dalle terminazioni nervose pregiunzioni. Promuove anche la secrezione di aldosterone e il riassorbimento del sodio. Insieme questi effetti aumentano la pressione sanguigna. Ang II inibisce anche il rilascio di renina fornendo così un feedback negativo al sistema. Questo ciclo dalla renina attraverso l'angiotensina all'aldosterone e il suo circuito di feedback negativo associato è noto come sistema renina-angiotensina-aldosterone (RAAS). Aliskiren è un inibitore della renina diretta che diminuisce l'attività della renina plasmatica (PRA) e inibisce la conversione dell'angiotensinogeno in Ang I. Se aliskiren colpisce altri componenti RAAS, ad es. ACE o percorsi non ACE non è noto.

Tutti gli agenti che inibiscono la RAA, compresi gli inibitori della renina, sopprimono il circuito di feedback negativo che porta ad un aumento compensativo della concentrazione plasmatica di renina. Quando questo aumento si verifica durante il trattamento con ACEI e ARB, il risultato è un aumento dei livelli di PRA. Durante il trattamento con aliskiren, tuttavia, l'effetto dell'aumento dei livelli di renina viene bloccato in modo che PRA ANG I e ANG II siano tutti ridotti se Aliskiren sia usato come monoterapia o in combinazione con altri agenti antiipertensivi.

Amlodipina besilato

Amlodipina is a dihydropyridine Blocatore del canale di calcio that inhibits the transmembrane influx of calcium ions into vascular smooth muscle E cardiac muscle. Experimental data suggest that amlodipine binds to both dihydropyridine E nondihydropyridine binding sites. The contractile processes of cardiac muscle E vascular smooth muscle are dependent upon the movement of extracellular calcium ions into these cells through specific ion channels. Amlodipina inhibits calcium ion influx across cell membranes selectively with a greater effect on vascular smooth muscle cells than on cardiac muscle cells. Negative inotropic effects can be detected in vitro Ma tali effetti non sono stati osservati negli animali intatti a dosi terapeutiche. La concentrazione sierica di calcio non è influenzata dall'amlodipina. All'interno della gamma di pH fisiologica L'amlodipina è un composto ionizzato (PKA = 8,6) e la sua interazione cinetica con il recettore del canale di calcio è caratterizzata da una velocità di associazione graduale e dissociazione con il sito di legame del recettore con conseguente insorgenza graduale di effetto.

Amlodipina is a peripheral arterial vasodilator that acts directly on vascular smooth muscle to cause a reduction in peripheral vascular resistance E reduction in blood pressure.

Tekamlo

Gli effetti del trattamento combinato di aliskiren e amlodipina derivano dalle azioni di questi 2 agenti su meccanismi diversi ma complementari che regolano la vasocostrizione mediata dal canale del calcio della pressione sanguigna e gli effetti mediati da RAAS sul tono vascolare e sull'escrezione di sodio.

Farmacodinamica

Aliskiren

Le riduzioni di PRA negli studi clinici variavano da circa il 50% all'80% non erano correlate alla dose e non erano correlate alle riduzioni della pressione arteriosa. Le implicazioni cliniche delle differenze in vigore sul PRA non sono note.

Amlodipina besilato

Dopo la somministrazione di dosi terapeutiche ai pazienti con amlodipina ipertensione produce vasodilatazione con conseguente riduzione delle pressioni del sangue supino e in piedi. Queste diminuzioni della pressione sanguigna non sono accompagnate da una variazione significativa della frequenza cardiaca o dei livelli plasmatici di catecolamina con dosaggio cronico. Sebbene la somministrazione endovenosa acuta di amlodipina riduca la pressione arteriosa e aumenti la frequenza cardiaca negli studi emodinamici di pazienti con angina cronica dell'angina cronica di somministrazione orale di amlodipina negli studi clinici non ha portato a cambiamenti clinicamente significativi nella frequenza cardiaca o nella pressione del sangue nei pazienti normenti con angina.

Con la somministrazione cronica una volta l'efficacia antiipertensiva di somministrazione quotidiana viene mantenuta per almeno 24 ore. Le concentrazioni plasmatiche sono correlate all'effetto nei pazienti giovani e anziani. L'entità della riduzione della pressione sanguigna con amlodipina è anche correlata all'altezza dell'elevazione del pretrattamento; Pertanto gli individui con ipertensione moderata (pressione diastolica da 105 mmHg a 114 mmHg) avevano una risposta maggiore di circa il 50% rispetto ai pazienti con lieve ipertensione (pressione diastolica da 90 mmHg a 104 mmHg). I soggetti normotesi non hanno subito cambiamenti clinicamente significativi nella pressione sanguigna (1/-2 mmHg).

Nei pazienti ipertesi con funzionalità renale normale dosi terapeutiche di amlodipina hanno comportato una diminuzione della resistenza vascolare renale e un aumento della velocità di filtrazione glomerulare e del flusso plasmatico renale efficace senza cambiamenti nella frazione di filtrazione o nella proteinuria.

Come con altri bloccanti del canale di calcio le misurazioni emodinamiche della funzione cardiaca a riposo e durante l'esercizio (o la stimolazione) in pazienti con normale funzione ventricolare trattata con amlodipina hanno generalmente dimostrato un piccolo aumento dell'indice cardiaco senza influenza significativa su DP/DT o sulla pressione diastolica o sul volume di fine ventricolare sinistro. Negli studi emodinamici L'amlodipina non è stata associata a un effetto inotropico negativo se somministrato in intervallo di dose terapeutica ad animali intatti e uomo anche se somministrato con i beta-bloccanti all'uomo. Risultati simili sono stati tuttavia osservati in pazienti normali o ben compensati con insufficienza cardiaca con agenti che possiedono significativi effetti inotropici negativi.

Amlodipina does not change sinoatrial nodal function or atrioventricular conduction in intact animals or man. In patients with chronic stable angina intravenous administration of 10 mg did not significantly alter A-H E HV conduction E sinus node recovery time after pacing. Similar results were obtained in patients receiving amlodipine E concomitant beta-blockers. In clinical studies in which amlodipine was administered in combination with beta-blockers to patients with either ipertensione or angina no adverse effects of electrocardiographic parameters were observed. In clinical trials with angina patients alone amlodipine therapy did not alter electrocardiographic intervals or produce higher degrees of AV blocks.

Amlodipina has indications other than ipertensione which can be found in the Norvasc ® Inserto del pacchetto.

Tekamlo

In uno studio controllato con placebo in pazienti ipertensivi, l'amlodipina è stata associata ad un aumento di PRA (aumento del 59% al 73%) mentre la monoterapia di aliskiren era associata a una riduzione del 61% al 68% di PRA. Aliskiren in combinazione con amlodipina ha ridotto il PRA (riduzione del 55% al ​​68%).

Farmacocinetica

Assorbimento e distribuzione

Tekamlo

Dopo la somministrazione orale delle compresse di combinazione aliskiren/amlodipina, i tempi di concentrazione plasmatica di picco mediano sono entro 3 ore per aliskiren e 8 ore per l'amlodipina. La velocità e l'estensione dell'assorbimento di aliskiren e amlodipina da tekamlo sono gli stessi di quando somministrati come singoli compresse. Se assunto con alimenti medio AUC e CMAX di aliskiren sono diminuiti rispettivamente del 79% e del 90%, mentre non vi è alcun impatto del cibo sull'AUC e CMAX di amlodipina.

Aliskiren

Aliskiren is poorly absorbed (bioavailability about 2.5%) with an accumulation half-life of about 24 hours. Steady state blood levels are reached in about 7 to 8 days. Following oral administration peak plasma concentrations of aliskiren are reached within 1 to 3 hours. When taken with a high fat meal mean AUC E Cmax of aliskiren are decreased by 71% E 85% respectively. In the clinical trials aliskiren was administered without a fixed relation to meals.

Amlodipina besylate

Le concentrazioni plasmatiche di picco di amlodipina sono raggiunte da 6 a 12 ore dopo una somministrazione orale di amlodipina. È stata stimata la biodisponibilità assoluta tra il 64% e il 90%. La biodisponibilità dell'amlodipina non è alterata dalla presenza di cibo.

L'apparente volume di distribuzione dell'amlodipina è di circa 21 L/kg. Circa il 93% dell'amlodipina circolante è legato alle proteine ​​plasmatiche in pazienti ipertesi.

Metabolismo ed eliminazione

Aliskiren

Circa un quarto della dose assorbita appare nell'urina come droga genitore. La quantità di dose assorbita è metabolizzata non è noto. Basato sul in vitro Studia il principale enzima responsabile del metabolismo di aliskiren sembra essere CYP3A4. Aliskiren non inibisce gli isoenzimi del CYP450 (CYP 1A2 2C8 2C9 2C19 2D6 2E1 e 3A) o induce CYP3A4.

Trasportatori:

La PGP (MDR1/MDR1A/1B) è risultata essere il principale sistema di efflusso coinvolto nell'assorbimento e nell'eliminazione intestinale attraverso l'escrezione biliare di aliskiren in studi preclinici. Il potenziale per le interazioni farmacologiche nel sito PGP dipenderà probabilmente dal grado di inibizione di questo trasportatore.

Interazioni farmacologiche:

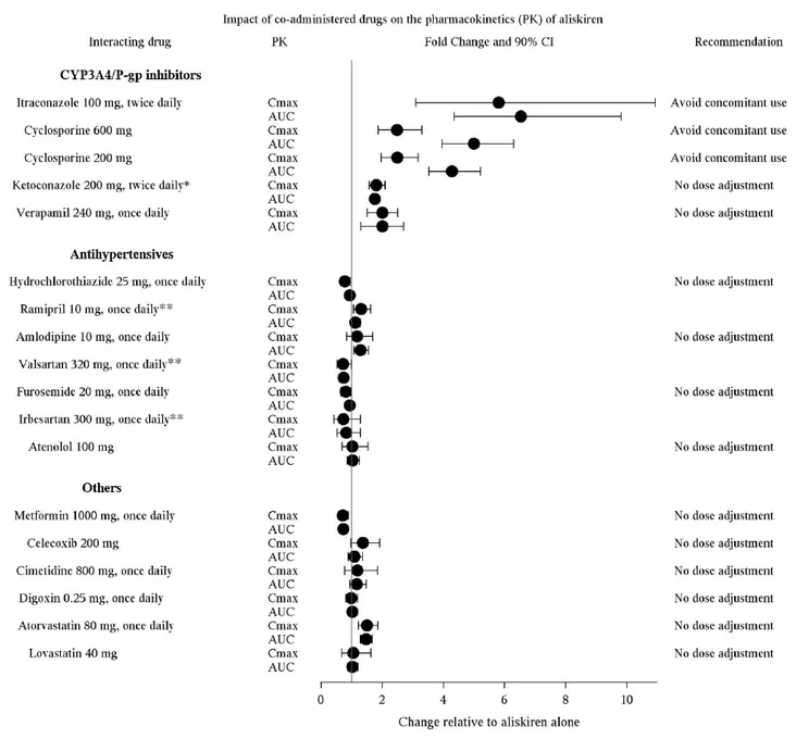
L'effetto dei farmaci amministrati con co -amministrazione sulla farmacocinetica di aliskiren e viceversa sono stati studiati in diversi studi a dose singoli e multipli. Le misure farmacocinetiche che indicano l'entità di queste interazioni sono presentate nella Figura 5 (impatto dei farmaci amministrati in co -cofano su aliskiren) e Figura 6 (impatto di aliskiren sui farmaci minimizzati in co -amministrazione).

Figura 5: L'impatto dei farmaci amministrati con co -amministrazione sulla farmacocinetica di Aliskiren

The Impact of Coadministered Drugs on the Pharmacokinetics of Aliskiren - Illustration

*Ketoconazolo: una dose di 400 mg una volta al giorno non è stata studiata ma ci si aspetterebbe che aumenti ulteriormente i livelli ematici di Aliskiren.

** RAMIPRIL VALSARTAN IRBESARTAN: in generale evitare l'uso combinato di aliskiren con ACE inibitori o ARB in particolare nei pazienti con CRCL inferiore a 60 ml/min [vedi Interazioni farmacologiche ]. Warfarin: There was no clinically significant effect of a single dose of warfarin 25 mg on the pharmacokinetics of aliskiren.

Figura 6: L'impatto di aliskiren sulla farmacocinetica dei farmaci amministrati in co -corsi

The Impact of Aliskiren on the Pharmacokinetics of Coadministered Drugs - Illustration

*Furosemide: i pazienti che ricevono furosemide possono trovare i suoi effetti diminuiti dopo aver iniziato Aliskiren. In pazienti con insufficienza cardiaca La somministrazione di co -amministrazione di aliskiren (300 mg/die) ha ridotto il plasma AUC e CMAX di furosemide orale (60 mg/die del 17% e 27% rispettivamente e ridotto l'escrezione di furosemide urinaria di 24 ore del 29%. Questa variazione di esposizione non ha comportato una differenza statisticamente significativa nel volume totale delle urine e nell'escrezione di sodio urinario per 24 ore. Tuttavia, è stata osservata una riduzione transitoria dell'escrezione di sodio urinaria e degli effetti del volume delle urine fino a 12 ore quando il furosemide è stato somministrato con aliskiren 300 mg/die. ** Ramipril Valsartan Irbesartan: in generale evitare l'uso combinato di aliskiren con ACE inibitori o ARB in particolare in pazienti con CRCl inferiore a 60 ml/min [vedi Interazioni farmacologiche ].

Amlodipina besylate

Amlodipina is extensively (about 90%) converted to inactive metabolites via hepatic metabolism with 10% of the parent compound E 60% of the metabolites excreted in the urine.

L'eliminazione dell'amlodipina dal plasma è bifasica con un'emivita di eliminazione terminale di circa 30-50 ore. I livelli plasmatici a stato stazionario vengono raggiunti dopo un dosaggio una volta al giorno per 7-8 giorni.

Interazioni farmacologiche

Aliskiren exposure is increased slightly (AUC increased 29%) when aliskiren is coadministered with amlodipine while amlodipine exposure remains unchanged when coadministered with aliskiren. The slight exposure increase of aliskiren in the presence of amlodipine is not clinically relevant.

In vitro I dati nel plasma umano indicano che l'amlodipina non ha alcun effetto sul legame proteico della fenitoina digossina warfarin e dell'indometacina.

Cimetidina

La somministrazione di co -amlodipina con cimetidina non ha alterato la farmacocinetica dell'amlodipina.

Succo di pompelmo

La somministrazione di co -somministrazione di 240 ml di succo di pompelmo con una singola dose orale di amlodipina 10 mg in 20 volontari sani non ha avuto alcun effetto significativo sulla farmacocinetica dell'amlodipina.

Aalox ® (Antiacido)

La somministrazione di co -somministrazione del maalox antiacido con una singola dose di amlodipina non ha avuto alcun effetto significativo sulla farmacocinetica dell'amlodipina.

Sildenafil

Una singola dose di 100 mg di sildenafil nei soggetti con ipertensione essenziale non ha avuto alcun effetto sui parametri farmacocinetici dell'amlodipina. Quando l'amlodipina e il sildenafil venivano usati in combinazione, ogni agente esercitava indipendentemente il proprio effetto di abbassamento della pressione sanguigna.

Atorvastatina

La somministrazione di co-somministrazione di dosi multiple da 10 mg di amlodipina con 80 mg di atorvastatina non ha comportato cambiamenti significativi nei parametri farmacocinetici a stato stazionario dell'atorvastatina.

Digossina

La somministrazione di co -amlodipina con digossina non ha cambiato i livelli sierici di digossina o la clearance renale della digossina nei volontari normali.

cose da fare in Colombia
Etanolo (alcol)

Le dosi di amlodipina a 10 mg a singolo e multiplo non hanno avuto alcun effetto significativo sulla farmacocinetica dell'etanolo.

Warfarin

La somministrazione di co -amlodipina con warfarin non ha cambiato il tempo di risposta alla protrombina di Warfarin.

Simvastatin

La somministrazione di co -somministrazione di dosi multiple di 10 mg di amlodipina con simvastatina da 80 mg ha comportato un aumento del 77% dell'esposizione alla simvastatina rispetto alla sola simvastatina.

Inibitori del CYP3A

La somministrazione di co -somministrazione di una dose giornaliera di 180 mg di diltiazem con amlodipina da 5 mg in pazienti ipertesi anziani ha comportato un aumento del 60% dell'esposizione sistemica dell'amlodipina. La somministrazione di co -eritromicina in volontari sani non ha cambiato significativamente l'esposizione sistemica dell'amlodipina. Tuttavia, i forti inibitori del CYP3A4 (ad esempio ketoconazolo itraconazolo ritonavir) possono aumentare le concentrazioni plasmatiche dell'amlodipina in misura maggiore.

Popolazioni speciali

Pazienti pediatrici

La farmacocinetica di Tekamlo non è stata studiata in pazienti di età inferiore ai 18 anni.

Pazienti geriatrici

Impatto di invecchiamento su aliskiren la farmacocinetica è stata valutata. Rispetto ai giovani adulti (da 18 a 40 anni) aliskiren media AUC e CMAX nei soggetti anziani (di età superiore ai 65 anni) sono aumentati rispettivamente del 57% e del 28%. Nella clearance degli anziani dell'amlodipina è ridotta con i conseguenti aumenti dei livelli di picco di emivita di elasticità del plasma e curva area-under-plasma-calzatura [vedi Utilizzare in popolazioni specifiche ].

Gara

Con le differenze farmacocinetiche di Tekamlo dovute alla razza non sono state studiate. Le differenze farmacocinetiche tra i neri caucasici e giapponesi sono minime con la terapia di aliskiren.

Compromissione epatica

La farmacocinetica di aliskiren non è significativamente influenzata nei pazienti con malattia epatica da lieve a grave. I pazienti con insufficienza epatica hanno ridotto la clearance dell'amlodipina con un conseguente aumento dell'AUC da circa il 40% al 60% [vedi Utilizzare in popolazioni specifiche ].

Compromissione renale

La farmacocinetica di aliskiren è stata valutata in pazienti con vari gradi di compromissione renale. La velocità e l'estensione dell'esposizione (AUC e CMAX) di aliskiren nei soggetti con compromissione renale non hanno mostrato una coerente correlazione con la gravità della compromissione renale.

La farmacocinetica di aliskiren dopo la somministrazione di una singola dose orale di 300 mg è stata valutata in pazienti con malattia renale in stadio finale (ESRD) sottoposti a emodialisi. Rispetto alle variazioni di soggetti sani nella velocità e nell'estensione dell'esposizione di aliskiren (CMAX e AUC) nei pazienti con ESRD sottoposti a emodialisi non erano clinicamente significativi. I tempi dell'emodialisi non hanno modificato in modo significativo la farmacocinetica di aliskiren nei pazienti con ESRD.

La farmacocinetica dell'amlodipina non è significativamente influenzata dalla compromissione renale [vedi AVVERTIMENTOS AND PRECAUZIONI E Utilizzare in popolazioni specifiche ].

Tossicologia animale e/o farmacologia

Studi di sicurezza preclinica hanno dimostrato che la combinazione di aliskiren emifumarato e amlodipina besilato era ben tollerata nei ratti. I risultati degli studi di tossicità orale 2 e 13 settimane nei ratti erano coerenti con quelli dell'emifumarato di aliskiren e dell'amlodipina besilato quando entrambi i farmaci venivano somministrati da soli. Non c'erano nuove tossicità o aumento della gravità delle tossicità associate a entrambe le componenti.

I risultati della tossicologia riproduttiva e dello sviluppo degli animali sono descritti altrove [vedi Utilizzare in popolazioni specifiche ].

Gli studi di tossicità giovanile hanno indicato una maggiore esposizione sistemica ad aliskiren da 85 a 385 volte in ratti di 14 e 8 giorni rispettivamente rispetto ai ratti adulti. IL MDR1 Anche l'espressione genica nei ratti giovanili era significativamente inferiore rispetto ai ratti adulti. L'aumentata esposizione di aliskiren nei ratti giovanili sembra essere principalmente attribuita alla mancanza di maturazione del P-gp. La sovraesposizione nei ratti giovanili era associata ad alta mortalità [vedi Utilizzare in popolazioni specifiche ].

Studi clinici

Tekamlo

Tekamlo was studied in a total of 5549 patients with mild to moderate ipertensione (diastolic blood pressure between 90 mmHg E 109 mmHg).

Aliskiren 150 mg E 300 mg E amlodipine besylate 5 mg E 10 mg were studied alone E in combination in an 8-week rEomized double-blind placebo-controlled multifactorial study comparing the combinations 150 mg/5 mg 150 mg/10 mg 300 mg/5 mg E 300 mg/10 mg of aliskiren E amlodipine with their components E placebo. The combination of aliskiren E amlodipine resulted in placebo-adjusted decreases in systolic/diastolic blood pressure at trough of 14–17/9–11 mmHg compared to 4–9/3–5 mmHg for aliskiren alone E 9–14/6–8 mmHg for amlodipine alone.

Il trattamento con Tekamlo ha comportato una riduzione significativamente maggiore della pressione arteriosa diastolica e sistolica rispetto ai rispettivi componenti di monoterapia.

L'effetto antiipertensivo di Tekamlo era simile nei pazienti con e senza diabete obeso E non-obeso patients in patients 65 years of age or older E under 65 years of age E in women E men.

Un sottogruppo di 819 pazienti è stato studiato con monitoraggio ambulatoriale della pressione arteriosa. L'effetto di abbassamento della pressione sanguigna nel gruppo aliskiren/amlodipina è stato mantenuto durante il periodo di 24 ore (vedere la Figura 7 e la Figura 8).

Figura 7: pressione arteriosa diastolica ambulatoriale (DBP) all'endpoint per trattamento e ora

Mean Ambulatory Diastolic Blood Pressure (DBP) at Endpoint by Treatment and Hour - Illustration

Figura 8: pressione arteriosa sistolica ambulatoriale (SBP) all'endpoint per trattamento e ora

Il latte è un fluidificatore di sangue
Mean Ambulatory Systolic Blood Pressure (SBP) at Endpoint by Treatment and Hour - Illustration

Sono stati condotti ulteriori due studi controllati a attiva attivo su un design simile in cui Tekamlo è stato somministrato come terapia iniziale in pazienti con ipertensione da moderata a grave (SBP da 160 mmHg a 200 mmHg). I pazienti sono stati randomizzati a ricevere la combinazione di monoterapia aliskiren/amlodipina o amlodipina. La dose iniziale di aliskiren/amlodipina era di 150 mg/5 mg per 1 settimana con titolazione forzata a 300 mg/10 mg per 7 settimane. La dose iniziale di amlodipina è stata di 5 mg per 1 settimana con titolazione forzata a 10 mg per 7 settimane. In uno studio su 443 pazienti neri all'endpoint primario di 8 settimane la differenza di trattamento tra aliskiren/amlodipina e amlodipina era 5,2/3,8 mmHg. Nell'altro studio di 484 pazienti all'endpoint primario di 8 settimane la differenza di trattamento tra aliskiren/amlodipina e amlodipina era 7,1/3,8 mmHg.

Gli effetti di abbassamento della pressione sanguigna di Tekamlo sono in gran parte raggiunti entro 1-2 settimane.

Non ci sono studi sulla compressa combinata Tekamlo che dimostra riduzioni del rischio cardiovascolare nei pazienti con ipertensione, ma la componente di amlodipina ha dimostrato tali benefici.

Aliskiren In Patients With Diabetes Treated With ARB Or ACEI (ALTITUDE Study)

I pazienti con diabete con malattia renale (definiti dalla presenza di albuminuria o GFR ridotto) sono stati randomizzati ad aliskiren 300 mg al giorno (n = 4296) o placebo (n = 4310). Tutti i pazienti hanno ricevuto una terapia di fondo con un ARB o ACEI. Il risultato di efficacia primaria è stato il tempo per il primo evento dell'endpoint composito primario costituito da morte cardiovascolare rianimato morto improvvisa improvvisa di infarto miocardico non fatale ictus non fatale non pianificato per l'insorgenza di insufficienza cardiaca della morte renale della malattia renale e raddoppiamento della concentrazione di creatinina sostenuta per almeno 1 mese. Dopo un follow-up mediano di circa 32 mesi, il processo è stato interrotto presto per mancanza di efficacia. Un maggiore rischio di ipotensione e iperkalemia renale è stato osservato in aliskiren rispetto ai pazienti trattati con placebo, come mostrato nella Tabella 1.

Tabella 1: incidenza di eventi avversi selezionati durante la fase di trattamento in altitudine

Aliskiren
N = 4272
Placebo
N = 4285
Eventi avversi gravi* (%) Eventi avversi (%) Eventi avversi gravi* (%) Eventi avversi (%)
Compromissione renale 5.7 14.5 4.3 12.4
Ipotensione † Perché 2.3 19.9 1.9 16.3
Iperkalemia † Perché† 1.0 38.9 0.5 28.8
insufficienza renale insufficienza renale insufficienza renale acuta cognizione renale cronica
† Perché vertigini vertigini ipotensione posturale ipotensione ortostatica sincope presincope
† Perché† Dati i livelli variabili di potassio basali di pazienti con insufficienza renale sulla terapia a doppia RAAS, la segnalazione di un evento avverso di iperkaliemia era a discrezione dell'investigatore.
* Un evento avverso grave (SAE) è definito come un evento che è fatale o pericoloso per la vita a risultati in disabilità/incapacità persistente o significativa costituisce un'anomalia congenita/difetto della nascita richiede un ricovero ospedaliero o prolungamento del ricovero esistente in precedenza.

Il rischio di ictus (NULL,4% aliskiren contro 2,7% placebo) e morte (NULL,4% aliskiren contro placebo dell'8,0%) erano anche numericamente più alti nei pazienti trattati con aliskiren.

Informazioni sul paziente per tekamlo

Tekamlo™
(Tek’-am-lo)
compresse (aliskiren e amlodipina)

Leggi le informazioni sul paziente fornite con Tekamlo prima di iniziare a prenderlo e ogni volta che ottieni una ricarica. Potrebbero esserci nuove informazioni. Queste informazioni non prendono il posto di parlare con il medico delle condizioni e del trattamento. In caso di domande su Tekamlo, chiedi al medico o al farmacista.

Quali sono le informazioni più importanti che dovrei sapere su Tekamlo?

Tekamlo can cause harm or death to an unborn baby. Talk to your doctor about other ways to lower your blood pressure if you plan to become pregnant. If you get pregnant while taking Tekamlo tell your doctor right away.

Cos'è Tekamlo?

Tekamlo is a prescription medicine that may be used:

  • Come il primo medicinale ad abbassare la pressione alta se il medico decide che è probabile che tu abbia bisogno di più di 1 medicinale.
  • Per curare la pressione alta quando 1 medicinale per abbassare la pressione alta non ha funzionato abbastanza bene.
  • Se stai già assumendo le medicine aliskiren e amlodipina per curare la pressione alta.

Tekamlo contains:

  • Aliskiren Un inibitore della renina diretta (DRI)
  • Amlodipina Un bloccante del canale di calcio (CCB)

Il medico può prescrivere altri medicinali da prendere insieme a Tekamlo per curare la pressione alta.

Non è noto se Tekamlo è sicuro e funziona in bambini di età inferiore ai 18 anni.

Cos'è l'ipertensione (ipertensione)?

La pressione sanguigna è la forza del sangue nei vasi sanguigni quando il tuo cuore batte e quando il tuo cuore poggia. Hai la pressione alta quando la forza è troppo.

L'ipertensione rende il cuore di più difficile per pompare il sangue attraverso il corpo e provoca danni ai vasi sanguigni. Tekamlo può aiutare i vasi sanguigni a rilassarsi in modo che la pressione sanguigna sia più bassa. Le medicine che abbassano la pressione sanguigna possono ridurre la possibilità di avere un ictus o attacco di cuore .

Chi non dovrebbe prendere Tekamlo?

Non prendere tekamlo se:

  • rimani incinta. Smettila di prendere Tekamlo e chiama subito il medico. Se hai intenzione di rimanere in gravidanza, parla con il medico di altre opzioni di trattamento per la pressione alta.
  • Hai il diabete e stai prendendo una sorta di medicina chiamata bloccante del recettore dell'angiotensina (ARB) o inibitore degli enzimi di conversione dell'angiotensina (ACEI).
  • Sei allergico (ipersensibile) all'amlodipina aliskiren o ad altre diidropiridine (bloccanti del calcio un gruppo di medicinali per ridurre la pressione sanguigna a cui appartiene l'amlodipina) o uno qualsiasi degli altri ingredienti di Tekamlo elencato alla fine di questo volantino.
  • Tekamlo has not been studied in children under 18 years of age.

Cosa dovrei dire al mio medico prima di prendere Tekamlo?

Prima di prendere Tekamlo dillo al tuo medico se tu:

  • avere problemi ai reni
  • avere problemi epatici
  • hanno mai avuto una reazione allergica a un'altra medicina della pressione sanguigna. I sintomi possono includere: gonfiore delle labbra del viso braccia e gambe della gola della lingua e difficoltà a respirare (angioedema).
  • soffrire di disturbi cardiaci o se hai sperimentato un infarto
  • avere altri problemi medici
  • sono incinta o pianificano di rimanere incinta. Guarda quali sono le informazioni più importanti che dovrei sapere su Tekamlo?
  • sono allattamento al seno. Non è noto se Tekamlo passa nel latte materno e se può danneggiare il tuo bambino. Tu e il tuo medico dovreste decidere se prendi Tekamlo o l'allattamento al seno. Non dovresti fare entrambe le cose.

Racconta al tuo medico di tutte le medicine che prendi tra cui medicinali di prescrizione e non prescrizione vitamine e integratori a base di erbe. Tekamlo e alcuni altri medicinali possono influenzare reciprocamente e causare effetti collaterali.

Soprattutto dillo al tuo medico se prendi:

  • Una sorta di medicina per controllare la pressione sanguigna chiamata bloccante del recettore dell'angiotensina (ARB) o inibitore degli enzimi di conversione dell'angiotensina (ACEI)
  • medicinali usati per abbassare le pillole d'acqua della pressione sanguigna (anche chiamate diuretici) in particolare diuretici di scarsità di potassio
  • medicinali per il trattamento di funghi o infezioni fungine (come itraconazolo o ketoconazole)
  • Ciclosporina (Gengraf ® Sandimmune neoral) Una medicina usata per sopprimere il sistema immunitario
  • potassio-containing medicines potassio supplements or salt substitutes containing potassio
  • Simvastatin (Zocor ® ) o atorvastatina (lipitor ® ) medicinali usati per trattare il colesterolo alto
  • farmaci antinfiammatori non steroidei (FANS) (come ibuprofene o naprossene) inclusi inibitori selettivi della cicloossigenasi-2 (inibitori della COX-2)
  • medicinali usati per curare gli aiuti o infezioni da HIV (come Ritonavir indinavir)

Chiedi al tuo medico se non sei sicuro di prendere uno dei medicinali sopra elencati. Conosci le medicine che prendi. Tienilo un elenco per mostrare il tuo medico o il farmacista quando ottieni un nuovo medicinale. Il medico o il farmacista sapranno quali medicinali sono sicuri da prendere insieme.

Come dovrei prendere tekamlo?

  • Prendi Tekamlo esattamente come prescritto dal medico. È importante prendere tekamlo ogni giorno per controllare la pressione sanguigna.
  • Prendi Tekamlo 1 volta al giorno all'incirca allo stesso tempo ogni giorno.
  • Prendi Tekamlo allo stesso modo ogni giorno con o senza un pasto.
  • Il medico può cambiare la dose di tekamlo, se necessario. Non cambiare la quantità di Tekamlo che prendi senza parlare con il tuo medico.
  • Se ti perdi una dose di Tekamlo, prendilo non appena ricordi. Se è vicino alla tua prossima dose, non prendere la dose persa. Prendi la dose successiva al momento normale.
  • Se prendi troppo tekamlo chiama il tuo medico o un centro di controllo del veleno o vai al pronto soccorso dell'ospedale più vicino.

Quali sono i possibili effetti collaterali di Tekamlo?

Tekamlo may cause serious side effects:

  • Danneggiare un bambino non ancora nato causando lesioni o morte. Guarda quali sono le informazioni più importanti che dovrei sapere su Tekamlo?
  • Reazioni allergiche gravi e angioedema (ipersensibilità). Aliskiren one of the medicines in Tekamlo can cause Difficoltà a respirare or swallowing tightness of the chest orticaria general rash swelling itching vertigini vomiting or abdominal pain (signs of a severe allergic reaction called anaphylactic reaction). Aliskiren can also cause swelling of your face lips tongue throat arms E legs or the whole body (signs of angioedema). Stop taking Tekamlo E get medical help right away. Tell your doctor if you get any one or more of these symptoms. Angioedema can happen at any time while you are taking Tekamlo.
  • Bassa pressione sanguigna (ipotensione). La pressione sanguigna potrebbe diventare troppo bassa se anche le pillole d'acqua hanno una dieta a basso contenuto di sale, ricevono problemi di dialisi hanno problemi cardiaci o si ammalano di vomito o diarrea. Sdraiati se ti senti svenuto o ti capisci. Chiama subito il tuo medico.
  • Possibile aumento del dolore toracico o rischio di infarto. Quando inizi a prendere Tekamlo o aumenta la dose, potresti avere un infarto o l'angina potrebbe peggiorare. Se ciò accade, chiama subito il medico o vai direttamente al pronto soccorso dell'ospedale.
  • Compromissione renale or failure. Aliskiren one of the medicines in Tekamlo may cause renal disorder with symptoms such as severely decreased urine output or decreased urine output (signs of renal impairment or failure).

Gli effetti collaterali più comuni di Tekamlo includono:

  • Gonfiore delle gambe inferiori

Gli effetti collaterali comuni di Tekamlo includono:

  • diarrea
  • tosse
  • vertigini
  • sintomi simili all'influenza
  • stanchezza
  • Alti livelli di potassio nel sangue (iperkaliemia)

Less common side effects include rash severe skin reactions (signs may include severe blistering of the lips eyes or mouth rash with fever and skin peeling) liver disorder (signs may include nausea loss of appetite dark colored urine or yellowing of skin and eyes) stomach pain nausea flushing (hot or warm feeling in your face) arrhythmia (irregular heartbeat) heart palpitations (very fast heartbeat) and low level of sodium in blood.

Di 'al medico se hai qualche effetto collaterale che ti disturba o che non scompare.

Questi non sono tutti i possibili effetti collaterali di Tekamlo. Per ulteriori informazioni chiedi al medico o al farmacista.

Chiama il medico per consigli medici sugli effetti collaterali. È possibile segnalare gli effetti collaterali alla FDA al 1800-FDA-1088.

Come conservo tekamlo?

  • Conservare le compresse di tekamlo a temperatura ambiente compresa tra 59 ° F e 86 ° F (da 15 ° C a 30 ° C).
  • Mantieni la bottiglia di prescrizione originale e conserva in un luogo asciutto.
  • Proteggi Tekamlo dal calore e dall'umidità.

Mantieni Tekamlo e tutti i medicinali fuori dalla portata dei bambini.

Informazioni generali su Tekamlo

Le medicine sono talvolta prescritte per le condizioni non elencate nel volantino delle informazioni del paziente. Non prendere Tekamlo per una condizione per la quale non è stato prescritto. Non dare Tekamlo ad altre persone anche se hanno le stesse condizioni o sintomi che hai. Potrebbe danneggiare loro.

Questo volantino riassume le informazioni più importanti su Tekamlo. Se hai domande su Tekamlo, parlare con il tuo medico o farmacista. Puoi chiedere al tuo medico o al farmacista informazioni scritte per gli operatori sanitari.

Per ulteriori informazioni su Tekamlo, visitare www.tekamlo.com o chiamare il numero 1-888now-nova (1-888-669-6682).

Quali sono gli ingredienti di Tekamlo?

Ingredienti attivi: aliskiren emifumarato e amlodipina

Ingredienti inattivi: biossido di silicio colloidale crospovidone ipromellosio ossido di ferro rosso ossido di magnesio giallo stearato stearato microcristallino cellulosa polietilenglicole povidone talco e dioossido di titanio.