Le Informazioni Presenti Sul Sito Non Costituiscono Consulenza Medica. Non Vendiamo Nulla. L'Accuratezza Della Traduzione Non È Garantita. Disclaimer
Antibiotici, linosamide
Crema vaginale Cleocin
Riepilogo della droga
Cos'è la crema vaginale Cleocin?
La crema vaginale della cleocina (clindamicina fosfato) è un antibiotico usato nel trattamento della vaginosi batterica (precedentemente denominata vaginite emofilo gardnella vaginite non specifica vaginite corynebacterio vaginite o vaginosi anaerobica). Cleocin Vaginal Cream è disponibile in forma generica.
Quali sono gli effetti collaterali della crema vaginale Cleocin?
Gli effetti collaterali comuni della crema vaginale Cleocin includono:
Effetti collaterali del topiramato 200 mg
- infezione da lievito
- infezione vaginale
- prurito
- irritazione
- Dolore vaginale
- disagio o dolore quando urina
- infiammazione
- patch bianchi in bocca
- Scarico vaginale spesso/bianco
- bruciare e gonfiore della vagina
- stipsi
- nausea
- mal di testa e
- mal di schiena
Cerca cure mediche o chiama il 911 contemporaneamente se hai i seguenti gravi effetti collaterali:
- Sintomi di occhiali gravi come la perdita di visione improvvisa del tunnel della visione sfocata Dolore alla visione o gonfiore o vedere aloni attorno alle luci;
- Sintomi cardiaci gravi come battiti cardiaci irregolari o martellanti veloci; svolazzando nel petto; fiato corto; e improvviso vertigini giuria o svenuta;
- Grave mal di testa confusione Il braccio del linguaggio bloccato o la debolezza delle gambe problemi perdite perdita di coordinamento sentendoti instabili muscoli molto rigidi ad alta febbre abbondante sudorazione o tremori.
Questo documento non contiene tutti i possibili effetti collaterali e altri possono verificarsi. Verificare con il tuo medico ulteriori informazioni sugli effetti collaterali.
Dosaggio per crema vaginale Cleocin
La dose raccomandata è un applicatore della crema vaginale della cleocina 2% (5 grammi contenenti circa 100 mg di clindamicina fosfato) preferibilmente preferibilmente prima di coricarsi per 3 o 7 giorni consecutivi in pazienti non in gravidanza e per 7 giorni consecutivi in pazienti in gravidanza.
Quali sostanze o integratori di farmaci interagiscono con la crema vaginale di cleocina?
La crema vaginale di cleocina può interagire con altri agenti bloccanti neuromuscolari. Dì al medico tutti i farmaci e gli integratori che usi.
Crema vaginale cleocina durante la gravidanza e l'allattamento al seno
Durante la gravidanza la crema vaginale di cleocina può essere utilizzata durante il primo trimestre. Consulta il medico prima di utilizzare la crema vaginale Cleocin se si è al secondo o terzo trimestre della gravidanza. Questo farmaco passa nel latte materno se assunto in forma orale. Non è noto se passa nel latte materno se usato per via intravaginale. Consulta il medico prima dell'allattamento al seno.
Ulteriori informazioni
Il nostro centro farmacologico cleocina (clindamicina fosfato) Vaginal Cream Effects Center fornisce una visione completa delle informazioni disponibili sui farmaci sui potenziali effetti collaterali durante l'assunzione di questo farmaco.
Informazioni sui farmaci FDA
- Descrizione del farmaco
- Indicazioni
- Effetti collaterali
- Avvertimenti
- Precauzioni
- Overdose
- Farmacologia clinica
- Guida ai farmaci
Solo per uso intravaginale
Non per uso dermico o orale oftalmico
Descrizione per la crema vaginale Cleocin
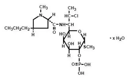
La clindamicina fosfato è un estere solubile in acqua dell'antibiotico semi-sintetico prodotto da una sostituzione cloro 7 (s) del gruppo 7 (R)-idrossile del genitore antibiotico di linomina antibiotica. Il nome chimico per la clindamicina fosfato è metil 7-cloro-678trideoxy- 6- (1-metil- trans -4-propil-l-2-pirrolidinecarboxamido) -1-THIO-L- direzione -a.D Galacto - Octopyranoside 2- (diidrogeno fosfato). Ha un peso molecolare di 504,96 e la formula molecolare è C 18 H 34 Cln 2 O 8 Ps. La formula strutturale è rappresentata di seguito:
|
La crema vaginale di cleocina il 2% è una crema bianca semi-solida che contiene il 2% di clindamicina fosfato USP a una concentrazione equivalente a 20 mg di clindamicina per grammo. Il pH della crema è compreso tra 3.0 e 6.0. La crema contiene anche alcol benzilico cetostearilico esteri di acidi grassi misti di olio minerale polisorbato 60 propilenico glicole soluta -monostaicato e acido stearico.
Ogni applicatore di 5 grammi di crema vaginale contiene circa 100 mg di fosfato di clindamicina.
Usi per la crema vaginale Cleocin
La crema vaginale cleocina il 2% è indicato nel trattamento della vaginosi batterica (precedentemente indicata come Emofilo vaginite Gardnella vaginite nonspecific vaginite Corynebacterium vaginite or anaerobic vaginosis). Crema vaginale Cleocin 2% can be used to treat non-pregnant women E pregnant women during the second E third trimester. (See Studi clinici .
NOTA: Ai fini di questa indicazione, una diagnosi clinica di vaginosi batterica è generalmente definita dalla presenza di una scarica vaginale omogenea che (a) ha un pH maggiore di 4,5 (b) emette un odore di ammina 'pesce' se miscelato con una soluzione KOH al 10% e (C) contiene cellule di indizio sull'esame microscopico. I risultati della macchia di Gram coerenti con una diagnosi di vaginosi batterica includono (a) marcatamente ridotto o assente Lactobacillus morfologia (b) predominanza di Gardnella Morfotipo e (c) assenti o pochi globuli bianchi. Altri agenti patogeni comunemente associati alla vulvovaginite, ad esempio Trichomonas Vaginale Chlamydia trachomatis N. gonorreae Candida albicans E Herpes simplex Il virus dovrebbe essere escluso.
Dosaggio per crema vaginale Cleocin
La dose raccomandata è un applicatore di crema vaginale di clindamicina fosfato 2% (5 grammi contenenti circa 100 mg di clindamicina fosfato) preferibilmente preferibilmente prima di coricarsi per 3 o 7 giorni consecutivi in pazienti non graduali e per 7 giorni consecutivi nei pazienti in gravidanza. (Vedere Studi clinici .
Come fornito
Crema vaginale cleocina 2% (crema vaginale di clindamicina fosfato) viene fornito come segue:
40 g di tubo (con 7 applicatori usa e getta) Ndc 0009-3448-01
Conservare a temperatura ambiente controllata da 20 ° a 25 ° C (da 68 ° a 77 ° F) [vedi USP]. Proteggere dal congelamento.
Distribuito da: Pfizer Pharmacia
Effetti collaterali per la crema vaginale Cleocin
Studi clinici
Donne non in gravidanza
Negli studi clinici che coinvolgono donne non in gravidanza l'1,8% di 600 pazienti che hanno ricevuto cure con crema vaginale della cleocina 2% per 3 giorni e 2,7% di 1325 pazienti che hanno ricevuto un trattamento per 7 giorni interrotti a causa di eventi avversi legati al farmaco. Gli eventi medici giudicati come correlati probabilmente correlati forse correlati o di relazione sconosciuta con la crema vaginale di clininamicina somministrata vaginalmente sono stati segnalati per il 20,7% dei pazienti che hanno ricevuto cure per 3 giorni e il 21,3% dei pazienti che hanno ricevuto cure per 7 giorni. Gli eventi che si verificano in ≥1% dei pazienti sottoposti a crema vaginale di clindamicina fosfato 2% sono mostrati nella Tabella 1.
Il nome generico per la ritalin è metilfenidato
Tabella 1-Eventi che si verificano in ≥1% dei pazienti non in gravidanza che hanno ricevuto crema vaginale di clindamicina fosfato 2%
| Evento | Crema vaginale Cleocin | |
| 3 giorni n = 600 | 7 giorni n = 1325 | |
| Urogenitale | ||
| 7.7 | 10.4 | |
| 6.0 | 4.4 | |
| 3.2 | 5.3 | |
| 0 | 1.3 | |
| Corpo nel suo insieme | ||
| 1.3 | 0.2 |
Altri eventi che si verificano in <1% of the clindamycin vaginal cream 2% groups include:
Urogenitale system: Metrorragia di scarico vaginale Infezione del tratto urinario endometriosi Disturbo mestruale vaginite/infezione vaginale e dolore vaginale.
Corpo nel suo insieme: Dolore addominale localizzato Generalizzato Generalizzato Crampi addominali Crampi di alitosi Infezione batterica Infezione batterica Reazione allergica e infezione fungina.
Sistema digestivo: nausea vomiting stipsi dyspepsia flatulence diarrhea E gastrointestinal disorder.
Sistema endocrino: ipertiroidismo.
Sistema nervoso centrale: vertigini e vertigini.
Sistema respiratorio: epistassi.
Pelle: prurito (sito di non applicazione) moniliasi erita eritema eritema maculopapolare e orticaria.
Sensi speciali: gusto perversione.
Donne incinte
In una sperimentazione clinica che coinvolge donne in gravidanza durante il secondo trimestre l'1,7% di 180 pazienti che hanno ricevuto cure per 7 giorni di terapia interrotta a causa di eventi avversi legati alla droga. Gli eventi medici giudicati come correlati probabilmente correlati probabilmente o di una relazione sconosciuta con la crema vaginale di clininamina di clinfato somministrata vaginalmente sono stati segnalati per il 22,8% dei pazienti in gravidanza. Gli eventi che si verificano in ≥1% dei pazienti sottoposti a crema vaginale di clindamicina fosfato 2% o placebo sono mostrati nella Tabella 2.
Tabella 2 -Eventi che si verificano in ≥1% dei pazienti in gravidanza che hanno ricevuto crema vaginale di clindamicina fosfato 2% o placebo
| Evento | Crema vaginale Cleocin | Placebo |
| 7 giorni n = 180 | 7 giorni n = 184 | |
| Urogenitale | ||
| 13.3 | 7.1 | |
| 6.7 | 7.1 | |
| 1.1 | 0.5 | |
| Corpo nel suo insieme | ||
| 1.7 | 0 | |
| Pelle | ||
| 1.1 | 0 |
Altri eventi che si verificano in <1% of the clindamycin vaginal cream 2% group include:
Urogenitale system: Disuria metrorragia Dolore vaginale e vaginite tricomonale.
Corpo nel suo insieme: Infezione respiratoria superiore.
Pelle: prurito (sito di applicazione topica) ed eritema.
Esperienza post-marketing
Poiché queste reazioni sono riportate volontariamente da una popolazione di dimensioni incerte, non è sempre possibile stimare in modo affidabile la loro frequenza o stabilire una relazione causale con l'esposizione ai farmaci.
Nel periodo post-marketing ci sono stati casi di colite pseudomembrane con l'uso della crema vaginale fosfato di clindamicina.
Altre formulazioni di clindamicina
La crema vaginale di clindamicina offre livelli sierici di picco minimi e esposizione sistemica (AUCS) di clindamicina rispetto al dosaggio di clindamicina orale da 100 mg. Sebbene questi livelli più bassi di esposizione abbiano meno probabilità di produrre le reazioni comuni osservate con la clindamicina orale, la possibilità di queste e altre reazioni non può essere esclusa attualmente. I dati di studi ben controllati che confrontano direttamente la clindamicina somministrati per via orale alla clindamicina somministrati vaginalmente non sono disponibili.
Le seguenti reazioni avverse e test di laboratorio alterati sono stati riportati con il orale o parenterale Uso della clindamicina:
benefici per la salute della terra diatomacea per gli esseri umani
Gastrointestinale
Dolore addominale Esofagite nausea Diarrea e colite pseudomembrane. (Vedere Avvertimenti .
Ematopoietico
Sono stati segnalati neutropenia transitoria (leucopenia) eosinofilia agranulocitosi e trombocitopenia. Non potrebbe essere fatta alcuna relazione eziologica diretta con la terapia concorrente di clindamicina in nessuno di questi rapporti.
Reazioni di ipersensibilità
Durante la terapia farmacologica sono state osservate eruzioni maculopapolari e orticaria. Le eruzioni cutanei da lieve a moderata generalizzate a morbilliforme sono le più frequentemente riportate di tutte le reazioni avverse. I rari casi di Eritema Multiforme Alcuni somigliati alla sindrome di Stevens-Johnson sono stati associati alla clindamicina. Sono stati riportati alcuni casi di reazioni anafilattoidi. Se si verifica una reazione di ipersensibilità, il farmaco dovrebbe essere sospeso.
Fegato
L'ittero e le anomalie nei test di funzionalità epatica sono stati osservati durante la terapia con clindamicina.
Muscoloscheletrico
Sono stati riportati rari casi di poliartrosi.
Renale
Sebbene non sia stata osservata alcuna relazione diretta di clindamicina e danno renale, come evidenziato dall'azotemia oliguria e/o dalla proteinuria.
Interazioni farmacologiche per crema vaginale cleocina
È stato dimostrato che la clindamicina sistemica ha proprietà di blocco neuromuscolare che possono migliorare l'azione di altri agenti bloccanti neuromuscolari. Pertanto dovrebbe essere usato con cautela nei pazienti che ricevono tali agenti.
Avvertimenti for Cleocin Vaginal Cream
La colite pseudomembrana è stata segnalata con quasi tutti gli agenti antibatterici tra cui la clindamicina e può variare in gravità da lieve a quella pericolosa per la vita. La clindamicina somministrata per via orale e parentale è stata associata a colite grave che può finire fatalmente. Diarrea diarrea sanguinolenta e colite (compresa la colite pseudomembrana) sono stati riportati con l'uso di clindamicina per orale e parentele e con formulazioni topiche (dermiche e vaginali) di clindamicina. Pertanto, è importante considerare questa diagnosi nei pazienti che presentano la diarrea successiva alla somministrazione di clindamicina anche se somministrata dalla via vaginale perché circa il 5% della dose di clindamicina viene sistematicamente assorbito dalla vagina.
Il trattamento con agenti antibatterici altera la flora normale del colon e può consentire una crescita eccessiva di Clostridia. Gli studi indicano che una tossina prodotta da Clostridium difficile è una causa primaria di colite associata agli antibiotici.
Dopo che la diagnosi di colite pseudomembrane è stata stabilita misure terapeutiche. I casi lievi di colite pseudomembrana di solito rispondono alla sospensione del solo farmaco. In casi da moderati a gravi, si dovrebbe prendere in considerazione la gestione con fluidi ed elettroliti integrazione e trattamento delle proteine con un farmaco antibatterico clinicamente efficace contro Clostridium difficile Colite.
L'inizio dei sintomi pseudomembrani di colite possono verificarsi durante o dopo il trattamento antimicrobico.
Precauzioni for Cleocin Vaginal Cream
Generale
Crema vaginale Cleocin 2% contains ingredients that will cause burning E irritazione of the eye. In the event of accidental contact with the eye rinse the eye with copious amounts of cool tap water.
L'uso della crema vaginale della cleocina il 2% può provocare la crescita eccessiva di organismi non sensibili nella vagina. In studi clinici che coinvolgono 600 donne non in gravidanza che hanno ricevuto cure per 3 giorni Candida albicans è stato rilevato sintomaticamente o per coltura nell'8,8% dei pazienti. Nel 9% dei pazienti è stata registrata la vaginite. In studi clinici che coinvolgono 1325 donne non in gravidanza che hanno ricevuto cure per 7 giorni Candida albicans è stato rilevato sintomaticamente o per coltura nel 10,5% dei pazienti. La vaginite è stata registrata nel 10,7% dei pazienti. In 180 donne in gravidanza che hanno ricevuto cure per 7 giorni Candida albicans è stato rilevato sintomaticamente o per coltura nel 13,3% dei pazienti. Nel 7,2% dei pazienti è stata registrata la vaginite. Candida albicans Come riportato qui include i termini: moniliasi vaginale e moniliasi (corpo nel suo insieme). La vaginite comprende i termini: disturbo vulvovaginale vulvovaginite Scarica vaginale vaginite tricomonale e vaginite.
Informazioni per il paziente
Il paziente dovrebbe essere istruito a non impegnarsi in rapporti vaginali o di utilizzare altri prodotti vaginali (come tamponi o douches) durante il trattamento con questo prodotto.
Il paziente dovrebbe anche essere informato che questa crema contiene olio minerale che può indebolire i prodotti in lattice o in gomma come preservativi o diaframmi contraccettivi vaginali. Pertanto, non è raccomandato l'uso di tali prodotti entro 72 ore dopo il trattamento con crema vaginale cleocina il 2%.
Mutagenesi della carcinogenesi compromissione della fertilità
Studi a lungo termine sugli animali non sono stati condotti con clindamicina per valutare il potenziale cancerogeno. I test di genotossicità eseguiti includevano un test di micronucleo di ratto e un test AMES. Entrambi i test erano negativi. Studi sulla fertilità nei ratti trattati per via orale con fino a 300 mg/kg/giorno (31 volte l'esposizione umana basata su Mg/m 2 ) non ha rivelato effetti sulla fertilità o sull'abilità di accoppiamento.
Gravidanza
Effetti teratogeni
Negli studi clinici con donne in gravidanza la somministrazione sistemica di clindamicina durante il secondo e il terzo trimestre non è stata associata ad una maggiore frequenza di anomalie congenite.
La crema vaginale di clindamicina dovrebbe essere utilizzata durante il primo trimestre di gravidanza solo se chiaramente necessario e i benefici superano i rischi. Non ci sono studi adeguati e ben controllati nelle donne in gravidanza durante il primo trimestre di gravidanza.
Crema vaginale Cleocin 2% has been studied in pregnant women during the second trimester. In women treated for seven days abnormal labor was reported in 1.1% of patients who received clindamycin vaginal cream 2% compared with 0.5% of patients who received placebo.
Studi di riproduzione sono stati condotti in ratti e topi usando dosi orali e parenterali di clindamicina fino a 600 mg/kg/die (62 e 25 volte rispettivamente la massima esposizione umana basata sulla superficie corporea) e non hanno rivelato alcuna evidenza di danni al feto a causa della clindamicina. Sono stati osservati palatosi in feti da una deformazione del topo trattata per via intraperitoneale con clindamicina a 200 mg/kg/giorno (circa 10 volte la dose raccomandata in base alle conversioni della superficie corporea). Poiché questo effetto non è stato osservato in altri ceppi di topo o in altre specie l'effetto può essere specifico per la deformazione.
Madri infermieristiche
Dati pubblicati limitati basati sui rapporti sul campionamento del latte materno che la clindamicina appare nel latte materno umano nell'intervallo da meno di 0,5 a 3,8 mcg/mL a dosaggi da 150 mg per via orale a 600 mg per via endovenosa. Non è noto se la clindamicina è escreta nel latte materno umano in seguito all'uso di clindamicina fosfato somministrato vaginale.
La clindamicina ha il potenziale per causare effetti avversi sulla flora gastrointestinale del bambino allattato al seno. Se la clindamicina è richiesta da una madre infermieristica, non è un motivo per interrompere l'allattamento ma si può preferire un farmaco alternativo. Monitorare il bambino allattato al seno per possibili effetti avversi sulla flora gastrointestinale come la diarrea candidosi (eruzione cutanea per pannolini di mughetto) o raramente il sangue nelle feci che indica possibili colite associata agli antibiotici.
Il modo migliore per prendere Garcinia Cambogia
I benefici per lo sviluppo e la salute dell'allattamento dovrebbero essere considerati insieme alla necessità clinica della madre di clindamicina e a potenziali effetti avversi sul bambino allattato al seno dalla clindamicina o dalla condizione materna sottostante.
Uso pediatrico
La sicurezza ed efficacia nei pazienti pediatrici non è stata stabilita.
Uso geriatrico
Studi clinici per la crema vaginale della cleocina il 2% non includeva un numero sufficiente di soggetti di età pari o superiore a 65 anni per determinare se rispondono in modo diverso dai soggetti più giovani. Altra esperienza clinica segnalata non ha identificato differenze nelle risposte tra i pazienti anziani e più giovani.
Informazioni per overdose per la crema vaginale Cleocin
La crema vaginale della clininale di clinfato applicata vaginalmente il 2% potrebbe essere assorbita in quantità sufficienti per produrre effetti sistemici. (Vedere Avvertimenti .
Controindicazioni per Cleocin Vaginal Cream
Crema vaginale Cleocin 2% is contraindicated in individuals with a history of hypersensitivity to clindamycin lincomycin or any of the components of this vaginal cream. Crema vaginale Cleocin 2% is also contraindicated in individuals with a history of regional enteritis ulcerative colitis or a history of 'antibiotic-associated' Colite.
Farmacologia clinica for Cleocin Vaginal Cream
Meccanismo d'azione
La clindamicina è un farmaco antibatterico (vedi Microbiologia ).
Farmacocinetica
A seguito di una dose intravaginale una volta al giorno di 100 mg di crema vaginale di clindamicina fosfato il 2% somministrato a 6 volontari di donne sane per 7 giorni circa il 5% (intervallo da 0,6% all'11%) della dose somministrata è stato assorbito sistematicamente. La concentrazione di clindamicina sierica di picco osservata il primo giorno era in media 18 ng/mL (intervallo da 4 a 47 ng/mL) e il giorno 7 ha una media di 25 ng/ml (intervallo da 6 a 61 ng/mL). Queste concentrazioni di picco sono state raggiunte circa 10 ore dopo la dosaggio (intervallo 4-24 ore).
Dopo una dose intravaginale una volta al giorno di 100 mg di crema vaginale di clindamicina fosfato il 2% somministrato per 7 giorni consecutivi a 5 donne con assorbimento della vaginosi batterica era più lento e meno variabile di quello osservato nelle femmine sane. Circa il 5% (intervallo dal 2% all'8%) della dose è stato assorbito sistematicamente. La concentrazione di clindamicina sierica di picco osservata nel primo giorno era in media 13 ng/mL (intervallo da 6 a 34 ng/mL) e il giorno 7 ha una media di 16 ng/ml (intervallo da 7 a 26 ng/mL). Queste concentrazioni di picco sono state raggiunte circa 14 ore dopo la dosaggio (intervallo 4-24 ore).
C'era poco o nessun accumulo sistemico di clindamicina dopo ripetuti dosaggio vaginale di crema vaginale di clindamicina fosfato 2%. L'emivita sistemica era da 1,5 a 2,6 ore.
Microbiologia
Meccanismo d'azione
La clindamicina inibisce la sintesi della proteina batterica legandosi all'RNA 23S della subunità anni '50 del ribosoma. La clindamicina è prevalentemente batteriostatica. Sebbene la clindamicina fosfato sia inattiva in vitro rapido in vivo L'idrolisi lo converte in clindamicina attiva.
i migliori ostelli a San Diego
Resistenza
Resistenza to clindamycin is most often caused by modification of the target site on the ribosome usually by chemical modification of RNA bases by point mutations in RNA or occasionally in proteins. Cross resistance has been demonstrated between lincosamides macrolides E streptogramins B in some organisms. Cross resistance has been demonstrated between clindamycin E lincomycin.
Attività antibatterica
I test di coltura e sensibilità dei batteri non vengono regolarmente eseguiti per stabilire la diagnosi di vaginosi batterica (vedi Indicazioni ); Metodologia standard per il test di suscettibilità dei potenziali patogeni batterici Gardnella vaginalis Mobiluncus spp. O Mycoplasma Man non è stato definito.
Quanto segue in vitro Sono disponibili dati ma il loro significato clinico è sconosciuto. La clindamicina è attiva in vitro Contro la maggior parte degli isolati dei seguenti organismi segnalati per essere associati alla vaginosi batterica:
- Bacteroides spp.
- Gardnella vaginalis
- Mobiluncus spp.
- Mycoplasma Man
- Peptostreptococcus spp.
Studi clinici
In due studi clinici che coinvolgono 674 donne non in gravidanza valutabili con vaginosi batterica che confrontano la crema vaginale della cleocina 2% per 3 o 7 giorni i tassi di guarigione clinica determinati a 1 mese post-terapia variavano dal 72% all'81% per il trattamento di 3 giorni e dall'84% all'86% per il trattamento di 7 giorni.
| Cleocin 3 giorni | Cleocin 7 giorni | |||
| Studia negli Stati Uniti | 94/131 | 72% | 110/128 | 86% |
| Studio europeo | 161/199 | 81% | 181/216 | 84% |
In uno studio clinico che ha coinvolto 249 pazienti in gravidanza valutabili nel secondo e terzo trimestre sono stati trattati per 7 giorni il tasso di guarigione clinica determinata a 1 mese dopo la terapia era del 60% (77/129) nel braccio di clindamicina e 9% (11/120) per il braccio del veicolo. La determinazione della cura clinica si basava sull'assenza di un odore di ammina di pesce quando la scarica vaginale è stata miscelata con una soluzione KOH al 10% e sull'assenza di cellule indizi sull'esame microscopico.
Informazioni sul paziente per la crema vaginale Cleocin
Il paziente dovrebbe essere istruito a non impegnarsi in rapporti vaginali o di utilizzare altri prodotti vaginali (come tamponi o douches) durante il trattamento con questo prodotto.
Il paziente dovrebbe anche essere informato che questa crema contiene olio minerale che può indebolire i prodotti in lattice o in gomma come preservativi o diaframmi contraccettivi vaginali. Pertanto, non è raccomandato l'uso di tali prodotti entro 72 ore dopo il trattamento con crema vaginale cleocina il 2%.
Indicazioni per l'uso
Gli applicatori in plastica usa e getta sono dotati di questo pacchetto. Sono progettati per consentire una adeguata somministrazione vaginale della crema.
Rimuovere il tappo dal tubo crema. Avvitare un applicatore di plastica sull'estremità filettata del tubo.
Il tubo di rotolamento dal fondo spremere delicatamente e forzare il farmaco nell'applicatore. L'applicatore viene riempito quando lo stantuffo raggiunge il suo punto di arresto predeterminato.
Svitare l'applicatore dal tubo e sostituire il cappuccio.
|
Mentre giace sulla schiena afferrare saldamente la canna dell'applicatore e inserire la vagina il più possibile senza causare disagio.
Spingere lentamente lo stantuffo fino a quando non si ferma.
Prelevare attentamente l'applicatore dalla vagina e scartare l'applicatore.
|
Ricorda di applicare un applicatore ogni notte prima di coricarsi o come prescritto dal medico.