Le Informazioni Presenti Sul Sito Non Costituiscono Consulenza Medica. Non Vendiamo Nulla. L'Accuratezza Della Traduzione Non È Garantita. Disclaimer
Blocker del recettore dell'angiotensina (ARBS)
Benicar Hct
Riepilogo della droga
Cos'è Benicar HCT?
Benicar L'HCT (Olmesartan medoxomil-idroclorotiazide) è una combinazione di un antagonista del recettore dell'angiotensina II e un diuretico tiazidico (pillola d'acqua) usata per trattare la pressione alta (ipertensione).
Quali sono gli effetti collaterali di Benicar HCT?
Benicar HCT may cause serious side effects including:
- Dolore muscolare
- tenerezza o debolezza
- febbre
- stanchezza insolita
- urina di colore scuro
- Dolore agli occhi
- Problemi di visione
- Accendino
- Ingialcare la pelle o gli occhi (ittero)
- Facile lividi
- sanguinamento insolito
- poca o nessuna minzione
- minzione dolorosa o difficile
- gonfiore ai piedi o alle caviglie
- stanchezza
- fiato corto
- mal di testa
- confusione
- discorso confuso
- grave debolezza
- vomito
- perdita di coordinamento
- sentirsi instabile
- nausea
- frequenza cardiaca lenta o insolita
- perdita di movimento
- Crampi alla gamba
- stipsi
- battiti cardiaci irregolari
- svolazzando nel petto
- sete aumentata o minzione e
- intorpidimento o formicolio
Ottieni subito assistenza medica se hai uno qualsiasi dei sintomi sopra elencati.
Gli effetti collaterali comuni di Benicar HCT includono vertigini o vertigini mentre il tuo corpo si adatta al farmaco. Altri effetti collaterali di Benicar HCT includono:
cloruro di trospium da 20 mg di effetti collaterali
- dolori di stomaco
- bruciore di stomaco
- diarrea
- Dolore articolare
- sensazione di rotazione
- mal di testa or
- tosse secca.
Di 'al medico se hai gravi effetti collaterali di Benicar HCT incluso:
- svenimento
- diminuzione della visione
- Dolore agli occhi
- Sintomi di un livello ematico di potassio elevato (come la debolezza muscolare lenta o irregolare.
- cambiamento insolito nella quantità di urina (escluso il normale aumento delle urine quando inizi questo farmaco) o
- Diarrea grave o persistente.
Cerca cure mediche o chiama il 911 contemporaneamente se hai i seguenti gravi effetti collaterali:
- Sintomi di occhiali gravi come la perdita di visione improvvisa del tunnel della visione sfocata Dolore alla visione o gonfiore o vedere aloni attorno alle luci;
- Sintomi cardiaci gravi come battiti cardiaci irregolari o martellanti veloci; svolazzando nel petto; fiato corto; e improvvise vertigini spensieratezza o svenuta;
- Grave mal di testa confusione Il braccio del linguaggio bloccato o la debolezza delle gambe problemi perdite perdita di coordinamento sentendoti instabili muscoli molto rigidi ad alta febbre abbondante sudorazione o tremori.
Questo documento non contiene tutti i possibili effetti collaterali e altri possono verificarsi. Verificare con il tuo medico ulteriori informazioni sugli effetti collaterali.
Dosaggio per Benicar HCT
La solita dose di partenza raccomandata di Benicar è di 20 mg una volta al giorno. Per i pazienti che richiedono un'ulteriore riduzione della pressione sanguigna dopo 2 settimane di dose può essere aumentata a 40 mg.
Quali sostanze o integratori di farmaci interagiscono con Benicar HCT?
Benicar HCT may interact with:
- Altri farmaci per la pressione sanguigna
- steroidi
- litio
- colestiramina o colestipolo
- medicina del diabete di insulina o orale
- barbiturici
- Altri diuretici
- aspirina o altri FANS (farmaci antinfiammatori non steroidei)
- rilassanti muscolari o
- Narcotici
Di 'al medico tutti i farmaci che usi.
Benicar HCT E Gravidanza
Benicar HCT is not recommended for use during pregnancy due to the risk for harm to a fetus. It is unknown if olmesartan passes into breast milk. Idroclorotiazide passes into breast milk but is unlikely to harm a nursing infant. Consult your doctor before breastfeeding.
Ulteriori informazioni
Il nostro centro farmacologico Benicar HCT (Olmesartan Medoxomil-idroclorotiazide) fornisce una visione completa delle informazioni disponibili sui farmaci sui potenziali effetti collaterali quando si assume questo farmaco.
Informazioni sui farmaci FDA
- Descrizione del farmaco
- Indicazioni
- Dosaggio
- Effetti collaterali
- Interazioni farmacologiche
- Avvertimenti
- Overdose
- Farmacologia clinica
- Guida ai farmaci
AVVERTIMENTO
Tossicità fetale
- Quando la gravidanza viene rilevata, interrompere il Benicar HCT il prima possibile [vedi avvertimenti e PRECAUZIONI ].
- I farmaci che agiscono direttamente sulle renin-angiotens nel sistema possono causare lesioni e morte al feto in via di sviluppo [vedi avvertimenti e PRECAUZIONI ].
Descrizione per Benicar HCT
Benicar HCT (Olmesartan Medoxomil e Hydroclolorotiazide) è una combinazione di un antagonista del recettore dell'angiotensina II (AT 1 sottotipo) olmesartan medoxomil e un idroclorotiazide diuretico tiazidico (HCTZ).
Olmesartan Medoxomil è 23-diidrossi-2-butenyl 4- (1-idrossi-1-metiletil) -2-propil-1- [p- (O-1htetrazol-5-ilfenil) benzil] imidazolo-5-carbossilato 23-carbonfiato ciclico.
La sua formula empirica è C 29 H 30 N 6 O 6 E la sua formula strutturale è:
|
Olmesartan Medoxomil è una polvere bianca bianca bianca a luce o polvere cristallina con un peso molecolare di 558,6. È praticamente insolubile in acqua e con parsimonia solubile in metanolo.
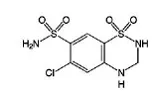
L'idroclorotiazide è 6-cloro-34-diidro-2H-124-benzo-tiadiazina-7-solfonamide 11-diossido. La sua formula empirica è C 7 H 8 Cln 3 O 4 S 2 E la sua formula strutturale è:
|
L'idroclorotiazide è una polvere cristallina bianca o praticamente bianca con un peso molecolare di 297,7. L'idroclorotiazide è leggermente solubile in acqua ma liberamente solubile in soluzione di idrossido di sodio.
Benicar HCT è disponibile per la somministrazione orale in compresse contenenti 20 mg o 40 mg di medoxomil olmesartan combinato con 12,5 mg di idroclorotiazide o 40 mg di medoxomil olmesartan combinato con 25 mg di idroclorotiazide. Gli ingredienti inattivi includono: idrossipropilcellulosa ipromellosio lattosio monoidrato monoidrato a basso contenuto di idrossipropilcellulosa magnesio stearato stearato microcristallino cellulosa di ossido di ferro da tanico di biossido di titanio e ossido di ferro giallo.
Usi per Benicar HCT
Benicar HCT (Olmesartan Medoxomil e Hydroclolorotiazide) è indicato per il trattamento dell'ipertensione alla minore pressione sanguigna. Benicar HCT non è indicato per la terapia iniziale dell'ipertensione [vedi Dosaggio e amministrazione ].
Lowering blood pressure reduces the risk of fatal and nonfatal cardiovascular events primarily strokes and myocardial infarctions. These benefits have been seen in controlled trials of antihypertensive drugs from a wide variety of pharmacologic classes including the class to which this drug principally belongs. There are no controlled trials demonstrating risk reduction with BENICAR HCT.
Il controllo dell'ipertensione dovrebbe far parte della gestione completa del rischio cardiovascolare, compresa l'adeguata gestione del diabete dei lipidi per la terapia antitrombotica per la cessazione del fumo e l'assunzione limitata di sodio. Molti pazienti richiederanno più di un farmaco per raggiungere gli obiettivi della pressione sanguigna. Per consigli specifici su obiettivi e management, consultare linee guida pubblicate come quelle del Comitato nazionale congiunto del Programma nazionale per la rilevazione della prevenzione e il trattamento della pressione alta (JNC).
Numerosi farmaci antiipertensivi provenienti da una varietà di classi farmacologiche e con diversi meccanismi d'azione sono stati dimostrati in studi randomizzati controllati per ridurre la prodotti cardiovascolare e la mortalità e si può concludere che si tratta di riduzione della pressione sanguigna e non in alcune altre proprietà farmacologiche dei farmaci che sono molto responsabili per questi benefici. Il beneficio di risultato cardiovascolare più grande e coerente è stata una riduzione del rischio di ictus, ma sono state osservate regolarmente riduzioni dell'infarto miocardico e della mortalità cardiovascolare.
L'elevata pressione sistolica o diastolica provoca un aumento del rischio cardiovascolare e l'aumento del rischio assoluto per MMHG è maggiore a pressioni ematiche più elevate in modo che anche una modesta riduzione dell'ipertensione grave possa fornire benefici sostanziali. La riduzione del rischio relativo dalla riduzione della pressione sanguigna è simile tra le popolazioni con un rischio assoluto variabile, quindi il beneficio assoluto è maggiore nei pazienti che sono a rischio più elevato indipendentemente dalla loro ipertensione (ad esempio i pazienti con diabete o iperlipidemia) e che tali pazienti trarranno beneficio da un trattamento più aggressivo a un obiettivo di pressione sanguigna inferiore.
Alcuni farmaci antiipertensivi hanno effetti di pressione arteriosa più piccoli (come monoterapia) nei pazienti neri e molti farmaci antiipertensivi hanno ulteriori indicazioni ed effetti approvati (ad esempio sull'insufficienza cardiaca dell'angina o sulla malattia renale diabetica). Queste considerazioni possono guidare la selezione della terapia. Le sezioni o le sottosezioni omesse dalle informazioni di prescrizione completa non sono elencate.
Benicar HCT può essere usato da solo o in combinazione con altri farmaci antiipertensivi.
Dosaggio per Benicar HCT
La dose iniziale raccomandata di Benicar HCT è 40/12,5 mg una volta al giorno nei pazienti la cui pressione sanguigna non è adeguatamente controllata con la monoterapia olmesartan. La dose può essere titolata fino a 40 /25 mg, se necessario.
La dose iniziale raccomandata di Benicar HCT è di 20/12,5 mg una volta al giorno nei pazienti la cui pressione sanguigna non è adeguatamente controllata con la monoterapia HCT o che sperimentano reazioni avverse a dose con idroclorotiazide. La dose può essere titolata fino a 40 /25 mg, se necessario.
I pazienti titolati ai singoli componenti (olmesartan e idroclorotiazide) possono invece ricevere la dose corrispondente di Benicar HCT.
Come fornito
Dosaggio Forms And Strengths
Benicar HCT (olmesartan / idroclorotiazide) è fornito come compresse non punteggiate con rivestimento film:
- 20 mg/12,5 mg circolare rossastro debossato con Sankyo da un lato e C22 dall'altra parte
- 40 mg/12,5 mg ovale rossastro-giallod con Sankyo da un lato e C23 dall'altra parte
- 40 mg/25 mg di ovale rosa debossato con Sankyo da un lato e C25 dall'altra parte
Archiviazione e maneggevolezza
Benicar HCT è fornito come segue:
| Olm/hctz | Forma | Colore | Debossing | |
| Lato 1 | Lato 2 | |||
| 20/12,5 mg | Girare | Reddish-Yellow | Sankyo | C22 |
| 40/12,5 mg | Ovale | Reddish-Yellow | Sankyo | C23 |
| 40/25 mg | Ovale | Rosa | Sankyo | C25 |
I tablet sono confezionati come segue:
| NDC 65597-XXX-XX | |||
| 20/12,5 mg | 40/12,5 mg | 40/25 mg | |
| Bottiglia di 30 compresse | 105-30 | 106-30 | 107-30 |
| Bottiglia di 90 compresse | 105-90 | 106-90 | 107-90 |
| Bottiglia di 1000 compresse | 105-11 | 106-11 | 107-11 |
Magazzinaggio
Conservare a 20-25 ° C (68-77 ° F) [vedi A temperatura ambiente controllata da USP ].
Prodotto per Daiichi Sankyo Inc. Parsippany New Jersey 07054. Revisionato: febbraio 2016
Effetti collaterali for Benicar HCT
Le seguenti reazioni avverse con Benicar HCT sono descritte altrove:
- Ipotensione in pazienti con impoverita di volume o sale [vedi AVVERTIMENTOS AND PRECAUZIONI ]
- Funzione renale alterata [vedi AVVERTIMENTOS AND PRECAUZIONI ]
- Reazioni di ipersensibilità [vedi AVVERTIMENTOS AND PRECAUZIONI ]
- Squilibri elettroliti e metabolici [vedi AVVERTIMENTOS AND PRECAUZIONI ]
- Miopia acuta e glaucoma secondario-angolo chiusura [vedi AVVERTIMENTOS AND PRECAUZIONI ]
- Lupus eritematoso sistemico [vedi AVVERTIMENTOS AND PRECAUZIONI ]
- Enteropatia simile a un canale di canna [vedi AVVERTIMENTOS AND PRECAUZIONI ]
Esperienza di studi clinici
Poiché gli studi clinici sono condotti in condizioni di reazione avverse ampiamente variabili osservate negli studi clinici di un farmaco non possono essere confrontati direttamente ai tassi negli studi clinici di un altro farmaco e non possono riflettere i tassi osservati nella pratica.
Olmesartan Medoxomil e idroclorotiazide
L'uso concomitante di olmesartan medoxomil e idroclorotiazide è stato valutato per la sicurezza in 1243 pazienti ipertesi. Il trattamento con olmesartan medoxomil e idroclorotiazide è stato ben tollerato con un'incidenza di eventi avversi simili a quelli del placebo. Le reazioni avverse erano generalmente lieve transitorie e non dipendenti dalla dose di medoxomil olmesartan e idroclorotiazide.
Il tasso di prelievi per eventi avversi in tutti gli studi di pazienti ipertesi è stato del 2,0% (25/1243) su Olmesartan Medoxomil più idroclorotiazide e 2,0% (7/342) su placebo.
In uno studio clinico fattoriale controllato con placebo di Olmesartan Medoxomil (da 2,5 mg a 40 mg) e idroclorotiazide (da 12,5 mg a 25 mg) le seguenti reazioni avverse riportate nella Tabella 1 si sono verificate in> 2% dei pazienti e più spesso sul medoxomil oloxomil e idroclorotiazide di Olmesartan.
Tabella 1: reazioni avverse in uno studio fattoriale di pazienti con ipertensione
| Olmesartan/ hctz (N = 247) (%) | Olmesartan (N = 125) (%) | Hctz (N = 88) (%) | Placebo (N = 42) (%) | |
| Nausea | 3 | 2 | 1 | 0 |
| Iperuricemia | 4 | 0 | 2 | 2 |
| Vertigini | 9 | 1 | 8 | 2 |
| Infezione respiratoria superiore | 7 | 6 | 7 | 0 |
Altre reazioni avverse che sono state riportate con un'incidenza superiore all'1,0%, indipendentemente dal fatto che sia attribuito al trattamento negli oltre 1200 pazienti ipertensivi trattati con medoxomil olmesartan e idroclorotiazide negli studi controllati o in apertura.
Corpo nel suo insieme: Dolore al torace Dolore edema periferico
Sistema nervoso centrale e periferico: vertigine
Gastrointestinale: Dispepsia del dolore addominale Gastroenterite diarrea
Sistema epatico e biliare: SGOT ha aumentato GGT aumentato ALT è aumentato
Come prendi Garcinia Cambogia
Metabolico e nutrizionale: La creatina fosfokinasi è aumentata
Muscoloscheletrico: Artrite Artralgia Myalgia
Sistema respiratorio: tosse
Disturbi della pelle e delle appendici: eruzione cutanea
Sistema urinario: Ematuria
L'edema facciale è stato riportato in 2/1243 pazienti che hanno ricevuto olmesartan medoxomil e idroclorotiazide. L'angioedema è stato riportato con antagonisti del recettore dell'angiotensina II, incluso Benicar HCT.
Idroclorotiazide
Altre reazioni avverse che sono state riportate con idroclorotiazide sono elencate di seguito:
Corpo nel suo insieme: debolezza
Digestivo: Ittero di pancreatite (ittero colestatico intraepatico) Sialadenite Crampi di irritazione gastrica
Ematologico: anemia aplastica agranulocitosi leucopenia anemia emolitica trombocitopenia
Ipersensibilità: Purpura fotosensibilità orticaria angiite necrotizzante (vasculite e vasculite cutanea) disagio respiratorio della febbre compresa la polmonite e le reazioni anafilattiche dell'edema polmonare
Metabolico: glicosuria iperuricemia
Muscoloscheletrico: spasmo muscolare
Sistema nervoso/psichiatrico: irrequietezza
Renale: nefrite interstiziale disfunzione renale
Pelle: Eritema multiforme inclusa la dermatite esfoliativa sindrome di Stevens-Johnson inclusa la necrolisi epidermica tossica
Sensi speciali: Visione sfocata transitoria Xanthopsia
Risultati dei test di laboratorio clinico
Azoto di creatinina/urea nel sangue (BENE): Piccoli aumenti della creatinina e del BUN si sono verificati rispettivamente nell'1,7% e nel 2,5% dei pazienti che hanno assunto Benicar HCT e 0% e 0% rispettivamente somministrati placebo in studi clinici controllati.
Esperienza post -marketing
Le seguenti reazioni avverse sono state identificate durante l'uso post-approvazione di Benicar HCT. Poiché queste reazioni sono riportate volontariamente da una popolazione di dimensioni incerte, non è sempre possibile stimare in modo affidabile la loro frequenza o stabilire una relazione causale con l'esposizione ai farmaci:
Corpo nel suo insieme: Astenia
Gastrointestinale: Vomito
Metabolico: Iperkalemia
Muscoloscheletrico: Rabdomiolisi
Skin e appendici: Alopecia
I dati di uno studio controllato e uno studio epidemiologico hanno suggerito che l'olmesartan ad alte dosi può aumentare il rischio cardiovascolare (CV) nei pazienti diabetici, ma i dati complessivi non sono conclusivi. Lo studio di roadmap in doppio cieco controllato con placebo randomizzato (studio di prevenzione di microalbuminuria di microalbuminuria di microalbuminuria randomizzato N = 4447) ha esaminato l'uso di olmesartan 40 mg giornaliero contro il placebo in pazienti con diabete di tipo 2 mellito-noreoalbuminuria e almeno un fattore di rischio aggiuntivo per la malattia di cv. Lo studio ha incontrato il suo endpoint primario ritardato di microalbuminuria, ma Olmesartan non ha avuto alcun effetto benefico sul declino del tasso di filtrazione glomerulare (GFR). C'è stata una scoperta dell'aumento della mortalità CV (giudicata improvvisa morte cardiaca improvvisa infarto miocardico di rivascolarizzazione fatale di rivascolarizzazione) nel gruppo olmesartano rispetto al gruppo placebo (15 olmesartan vs. 3 Placebo HR 4,9 95% di confidenza [CI] 1,4 17) ma il rischio di infarto non fatale era inferiore con Olmesarta (HR 0,64 95% 1.18).
Lo studio epidemiologico includeva pazienti di età pari o superiore a 65 anni con esposizione complessiva di> 300000 anni. Nel sottogruppo di pazienti diabetici che hanno ricevuto olmesartan ad alte dosi (40 mg/d) per> 6 mesi sembrava esserci un aumentato rischio di morte (HR 2,0 IC 95% 1,1 3,8) rispetto a pazienti simili che assumono altri bloccanti dei recettori dell'angiotensina. Al contrario, l'uso di olmesartan ad alte dosi nei pazienti non diabetici sembrava essere associato a un riduzione del rischio di morte (HR 0,46 IC 95% 0,24 0,86) rispetto a pazienti simili che assumono altri bloccanti del recettore dell'angiotensina. Non sono state osservate differenze tra i gruppi che ricevono dosi più basse di olmesartan rispetto ad altri bloccanti dell'angiotensina o quelli che ricevono terapia per <6 months.
Nel complesso, questi dati aumentano la preoccupazione di un possibile aumento del rischio di CV associato all'uso di olmesartan ad alto dosaggio nei pazienti diabetici. Vi sono tuttavia preoccupazioni per la credibilità della scoperta di un aumento del rischio CV, in particolare l'osservazione nel grande studio epidemiologico per un beneficio di sopravvivenza nei non diabetici di una grandezza simile alla scoperta avversa nei diabetici.
Interazioni farmacologiche for Benicar HCT
Agenti che aumentano di potassio sierico
La somministrazione di co -somministrazione di Benicar HCT con altri farmaci che aumentano i livelli sierici di potassio può provocare iperkaliemia. Monitorare il potassio sierico in tali pazienti.
Litio
Sono stati riportati aumenti delle concentrazioni sieriche di litio e tossicità al litio durante la somministrazione concomitante di litio con antagonisti del recettore dell'angiotensina II o idroclorotiazide. Monitorare i livelli sierici di litio durante l'uso concomitante.
Agenti antinfiammatori non steroidei inclusi inibitori selettivi di cicloossigenasi-2 (inibitori della COX-2)
Olmesartan Medoxomil
Nei pazienti che sono anziani impoveriti di volume (compresi quelli in terapia diuretica) o con compromesso la co-somministrazione della funzionalità renale di FANS tra cui inibitori selettivi di COX-2 con antagonisti del recettore dell'angiotensina II (compresa la medoxomil olmesartan) può provocare un deterioramento della funzione renale, compresa la possibile insufficienza renale acica acuta. Questi effetti sono generalmente reversibili. Monitorare periodicamente la funzione renale nei pazienti che ricevono terapia Olmesartan Medoxomil e FANS.
L'effetto antiipertensivo degli antagonisti del recettore dell'angiotensina II tra cui Olmesartan Medoxomil può essere attenuato da FANS tra cui inibitori selettivi della COX-2.
Idroclorotiazide
In alcuni pazienti la somministrazione di un FANS può ridurre gli effetti natriuretici e antiipertensivi diuretici dei diuretici tiazidici. Quindi monitorare da vicino la pressione sanguigna.
Doppio blocco delle renin Angiotens nel sistema
Il doppio blocco della RAS con bloccanti del recettore dell'angiotensina ACE inibitori o aliskiren è associato ad un aumento dei rischi di iperkaliemia ipotensione e cambiamenti nella funzione renale (compresa l'insufficienza renale acuta) rispetto alla monoterapia. La maggior parte dei pazienti che ricevono la combinazione di due inibitori della RAS non ottengono ulteriori benefici rispetto alla monoterapia. In generale evitare l'uso combinato di inibitori RAS. Monitorare da vicino la funzione renale della pressione arteriosa e gli elettroliti nei pazienti su Benicar HCT e altri agenti che colpiscono la RAS.
Non somministrare il co-somministrazione aliskiren con Benicar HCT in pazienti con diabete [vedi Controindicazioni ]. Avoid use of aliskiren with BENICAR HCT in patients with renal impairment (GFR <60 ml/min).
Colesevelam cloridrato
La somministrazione concomitante dell'agente di sequestro di acido biliare Colesevelam cloridrato riduce l'esposizione sistemica e la concentrazione plasmatica di picco di olmesartan. La somministrazione di olmesartan almeno 4 ore prima dell'idrocloruro di Colesevem ha ridotto l'effetto di interazione farmacologica. Prendi in considerazione la somministrazione di Olmesartan almeno 4 ore prima della dose di cloridrato di Colesevelam [vedi Farmacologia clinica ].
Uso dell'idroclorotiazide con altri farmaci
Quando somministrati contemporaneamente, i seguenti farmaci possono interagire con i diuretici tiazidici:
Farmaci antidiabetici (agenti orali e insulina): Dosaggio adjustment of the antidiabetic drug may be required.
Resine di scambio ionico: Sconcertante il dosaggio di resine di idroclorotiazide e scambio di ioni (ad es. Colestiramina Colestipolo) in modo tale che l'idroclorotiazide venga somministrato almeno 4 ore prima o 4 - 6 ore dopo la somministrazione di resine potenzialmente minimizzare l'interazione [vedi Farmacologia clinica ].
Corticosteroidi ACTH: Deplezione di elettroliti intensificati in particolare l'iperokalemia.
Avvertimenti per Benicar HCT
Incluso come parte del PRECAUZIONI sezione.
Precauzioni per Benicar HCT
Tossicità fetale
Categoria di gravidanza d
L'uso di farmaci che agiscono sul sistema renina-angiotensina durante il secondo e il terzo trimestre di gravidanza riduce la funzione renale fetale e aumenta la morbilità e la morte fetale e neonatale. La risultante oligoidramnios può essere associata all'ipoplasia polmonare fetale e alle deformazioni scheletriche. I potenziali effetti avversi neonatali includono ipoplasia del cranio anuria ipotensione insufficienza renale e morte. Quando viene rilevata la gravidanza, interrompere il Benicar HCT il prima possibile [vedi Utilizzare in popolazioni specifiche ].
I tiazidi attraversano la barriera placentare e appaiono nel sangue cordonale. Le reazioni avverse includono l'ittero fetale o neonatale e la trombocitopenia [vedi Utilizzare in popolazioni specifiche ].
Ipotensione in volume o pazienti con impoverita
Nei pazienti con un sistema di renina-angiotensina attivato come pazienti con impoverita di volume o sale (ad esempio quelli che vengono trattati con alte dosi di diuretici) possono verificarsi ipotensione sintomatica dopo l'inizio del trattamento con Benicar HCT. Se si verifica ipotensione, il paziente deve essere collocato in posizione supina e, se necessario, data un'infusione endovenosa di soluzione salina normale. Quando gli squilibri di elettroliti e fluidi sono stati corretti Benicar HCT di solito può essere continuata senza difficoltà. Una risposta ipotensiva transitoria non è una controindicazione per un ulteriore trattamento.
Funzione renale alterata
I cambiamenti nella funzione renale, incluso l'insufficienza renale acuta, possono essere causati da farmaci che inibiscono il sistema di renanansciotensina e dai diuretici. I pazienti la cui funzione renale può dipendere in parte dall'attività del sistema renina-angiotensina (ad es. I pazienti con stenosi renale della stenosi renale renale grave insufficienza cardiaca congestizia o l'esaurimento del volume) possono essere a rischio particolare di sviluppare insufficienza renale acuta sull'HCT di Benicar. Monitorare periodicamente la funzione renale in questi pazienti. Considera la trattenuta o l'interruzione della terapia in pazienti che sviluppano una riduzione clinicamente significativa della funzione renale su Benicar HCT [vedi Interazioni farmacologiche ].
Reazioni di ipersensibilità
Le reazioni di ipersensibilità all'idroclorotiazide possono verificarsi in pazienti con o senza una storia di allergia o asma bronchiale ma sono più probabili nei pazienti con tale storia.
Squilibri di elettroliti e metabolici
Benicar HCT contiene idroclorotiazide che può causare iponokalemia e iponatriemia. L'ipomagnesemia può provocare l'iponokalemia che può essere difficile da trattare nonostante la remozione di potassio. Benicar HCT contiene anche Olmesartan un farmaco che inibisce il sistema renina-angiotensina (RAS). I farmaci che inibiscono gli RA possono causare iperkaliemia. Monitorare periodicamente gli elettroliti sierici. L'idroclorotiazide può alterare la tolleranza al glucosio e aumentare i livelli sierici di colesterolo e trigliceridi.
Iperuricemia may occur or frank gout may be precipitated in patients receiving thiazide therapy.
Idroclorotiazide decreases urinary calcium excretion E may cause elevations of serum calcium. Monitor calcium levels.
Miopia acuta e glaucoma angolo secondario
Idroclorotiazide a sulfonamide can cause an idiosyncratic reaction resulting in acute transient myopia E acute angle-closure glaucoma. Symptoms include acute onset of decreased visual acuity or ocular pain E typically occur within hours to weeks of drug initiation. Untreated acute angle-closure glaucoma can lead to permanent vision loss. The primary treatment is to discontinue hydrochlorothiazide as rapidly as possible. Prompt medical or surgical treatments may need to be considered if the intraocular pressure remains uncontrolled. Risk factors for developing acute angleclosure glaucoma may include a history of sulfonamide or penicillin allergy.
biglietto aereo per il giro del mondo
Lupus eritematoso sistemico
È stato riportato che i diuretici tiazidici causano esacerbazione o attivazione del lupus eritematoso sistemico.
Enteopatia simile a un canale di canna
Una grave diarrea cronica con sostanziale perdita di peso è stata riportata nei pazienti che hanno assunto mesi o anni dopo l'inizio del farmaco. Le biopsie intestinali dei pazienti hanno spesso dimostrato atrofia villosa. Se un paziente sviluppa questi sintomi durante il trattamento con olmesartan esclude altre eziologie. Prendi in considerazione l'interruzione di Benicar HCT nei casi in cui non viene identificata altre eziologia.
Tossicologia non clinica
Mutagenesi della carcinogenesi compromissione della fertilità
Olmesartan Medoxomil e idroclorotiazide
Non sono stati condotti studi di cancerogenicità con olmesartan medoxomil e idroclorotiazide.
Olmesartan medoxomil E hydrochlorothiazide in a ratio of 20:12.5 were negative in the Salmonella-escherichia coli /Test di mutazione inversa del microsoma dei mammiferi fino alla massima concentrazione di piastra raccomandata per i test standard. Olmesartan Medoxomil e idroclorotiazide sono stati testati individualmente e in rapporti di combinazione di 40: 12,5 20: 12,5 e 10: 12,5 per l'attività clastogenica in in vitro Saggio di aberrazione cromosomica del polmone di criceto cinese (CHL). È stata osservata una risposta positiva per ciascun rapporto componente e combinazione. Tuttavia, non è stato rilevato alcun sinergismo nell'attività clastogenica tra olmesartan medoxomil e idroclorotiazide a qualsiasi rapporto di combinazione. Olmesartan Medoxomil e idroclorotiazide in un rapporto di 20: 12,5 somministrato per via orale negativo nel in vivo saggio di micronucleo di eritrociti di midollo osseo di topo a dosi somministrate fino a 3144 mg/kg.
Non sono stati condotti studi sulla compromissione della fertilità con olmesartan medoxomil e idroclorotiazide.
Olmesartan Medoxomil
Olmesartan medoxomil was not carcinogenic when administered by dietary administration to rats for up to 2 years. The highest dose tested (2000 mg/kg/day) was on a mg/m basis about 480 times the maximum recommended human dose (MRHD) of 40 mg/day. Two carcinogenicity studies conducted in mice a 6-month gavage study in the p53 knockout mouse E a 6-month dietary administration study in the Hras2 transgenic mouse at doses of up to 1000 mg/kg/day (about 120 times the MRHD) revealed no evidence of a carcinogenic effect of olmesartan medoxomil.
Sia Olmesartan Medoxomil che Olmesartan hanno testato negativo nel in vitro Saggio di trasformazione delle cellule dell'embrione del criceto siriano e non ha mostrato alcuna evidenza di tossicità genetica nel test AMES (mutagenicità batterica). Tuttavia, entrambi sono stati dimostrati di indurre aberrazioni cromosomiche nelle cellule in coltura in vitro (polmone di criceto cinese) ed entrambe sono risultate positive per le mutazioni della timidina chinasi nel in vitro Tosaggio del linfoma del topo. Olmesartan Medoxomil testato negativo in vivo Per le mutazioni nell'intestino e nei reni della mutamouse e per la clastogenicità nel midollo osseo di topo (test di micronucleo) a dosi orali fino a 2000 mg/kg (olmesartan non testato).
La fertilità dei ratti non è stata influenzata dalla somministrazione di medoxomil olmesartan a livelli di dose fino a 1000 mg/kg/giorno (240 volte il MRHD) in uno studio in cui il dosaggio è stato iniziato 2 (femmine) o 9 settimane (maschi) prima dell'accoppiamento.
Idroclorotiazide
Studi di alimentazione a due anni su topi e ratti condotti nell'ambito degli auspici del National Toxicology Program (NTP) non hanno scoperto alcuna prova di un potenziale cancerogeno di idroclorotiazide nei topi femmine (a dosi fino a circa 600 mg/kg/giorno) o nei ratti maschi e femmine (a dosi di circa 100 mg/giorni). L'NTP ha tuttavia trovato prove equivoci di epatocarcinogenicità nei topi maschi.
Idroclorotiazide was not genotoxic in vitro Nel test di mutagenicità di Ames di Salmonella typhimurium ceppi TA 98 TA 100 TA 1535 TA 1537 e TA 1538 o nell'ovaio del criceto cinese (CHO) per le aberrazioni cromosomiche. Inoltre non era genotossico in vivo in test usando cromosomi di midollo osseo cinese di croniche cinesi di topo o il Drosophila Gene tratto letale recessivo legata al sesso. Risultati dei test positivi sono stati ottenuti in in vitro Cho Sister Chromatid Exchange (Clastogenicity) Saggio Il test del linfoma del linfoma di topo (mutagenicità) e il Aspergillus Nidulans Test non disjunzione.
Idroclorotiazide had no adverse effects on the fertility of mice E rats of either sex in studies wherein these species were exposed via their diet to doses of up to 100 E 4 mg/kg respectively prior to mating E throughout gestation.
Utilizzare in popolazioni specifiche
Gravidanza
Categoria di gravidanza d
L'uso di farmaci che agiscono sul sistema renina-angiotensina durante il secondo e il terzo trimestre di gravidanza riduce la funzione renale fetale e aumenta la morbilità e la morte fetale e neonatale. La risultante oligoidramnios può essere associata all'ipoplasia polmonare fetale e alle deformazioni scheletriche. I potenziali effetti avversi neonatali includono ipoplasia del cranio anuria ipotensione insufficienza renale e morte. Quando viene rilevata la gravidanza, interrompere il Benicar HCT il prima possibile. Questi risultati avversi sono generalmente associati all'uso di questi farmaci nel secondo e terzo trimestre di gravidanza. La maggior parte degli studi epidemiologici che esaminano le anomalie fetali dopo l'esposizione all'uso antiipertensivo nel primo trimestre non hanno distinto i farmaci che colpiscono il sistema renina-angiotensina da altri agenti antiipertensivi. Una gestione adeguata dell'ipertensione materna durante la gravidanza è importante per ottimizzare i risultati sia per la madre che per il feto.
Nel caso insolito che non vi è alcuna alternativa appropriata alla terapia con farmaci che colpiscono il sistema di renanansciotensina per un determinato paziente, informano la madre del potenziale rischio per il feto. Eseguire esami ecografici seriali per valutare l'ambiente intraamniotico. Se si osserva che Oligohydramnios interromperà Benicar HCT a meno che non sia considerato salvavita per la madre. I test fetali possono essere appropriati in base alla settimana della gravidanza. I pazienti e i medici dovrebbero essere consapevoli che gli oligoidramnios potrebbero non apparire fino a quando il feto ha subito lesioni irreversibili. Osservare da vicino i bambini con storie di esposizione utera a Benicar HCT per oliguria e iperkalemia ipotensione [vedi Utilizzare in popolazioni specifiche ].
Madri infermieristiche
Non è noto se l'olmesartan sia escreto nel latte umano ma l'olmesartan è secreto a bassa concentrazione nel latte dei ratti in allattamento. I tiazidi appaiono nel latte umano. A causa del potenziale di effetti avversi sul bambino infermieristico, dovrebbe essere presa una decisione se interrompere l'assistenza infermieristica o interrompere Benicar HCT tenendo conto dell'importanza del farmaco per la madre.
Uso pediatrico
Neonati con una storia di esposizione in utero a Benicar HCT:
Se l'oliguria o l'ipotensione si verificano attenzione diretta verso il supporto della pressione sanguigna e della perfusione renale. Le trasfusioni di scambio o la dialisi possono essere richieste come mezzo per invertire ipotensione e sostituire la funzione renale disordinata.
Non sono state stabilite sicurezza ed efficacia di Benicar HCT nei pazienti pediatrici.
Uso geriatrico
Gli studi clinici di Benicar HCT non includevano un numero sufficiente di soggetti di età pari o superiore a 65 anni per determinare se rispondono in modo diverso dai soggetti più giovani. Altra esperienza clinica segnalata non ha identificato differenze nelle risposte tra i pazienti anziani e più giovani. In generale, la selezione della dose per un paziente anziano dovrebbe essere cauta di solito a partire dalla fascia bassa dell'intervallo di dosaggio che riflette la maggiore frequenza della ridotta funzione renale e cardiaca epatica e di malattie concomitanti o altre terapia farmacologica.
Olmesartan E hydrochlorothiazide are substantially excreted by the kidney E the risk of toxic reactions to BENICAR HCT may be greater in patients with impaired renal function.
Compromissione renale
Non sono state stabilite sicurezza ed efficacia dell'HCT Benicar nei pazienti con grave compromissione renale (CRCL ≤ 30 mL/min). Non è richiesto alcun aggiustamento della dose in pazienti con compromissione renale lieve (CRCL 60-90 ml/min) o moderata (CRCL 30-60).
Compromissione epatica
Olmesartan medoxomil
Non è necessario un aggiustamento della dose per i pazienti con malattia epatica da lieve a grave.
Idroclorotiazide
Le alterazioni minori dell'equilibrio fluido e degli elettroliti possono precipitare il coma epatico in pazienti con funzionalità epatica alterata o malattia epatica progressiva.
Informazioni per overdose per Benicar HCT
Olmesartan Medoxomil
Sono disponibili dati limitati relativi al sovradosaggio di Olmesartan Medoxomil nell'uomo. Le manifestazioni più probabili di sovradosaggio sarebbero ipotensione e tachicardia; La bradicardia si potrebbe incontrare se si verifica una stimolazione parasimpatica (vagale). Se si deve verificare un trattamento di supporto sintomatico. La dializzabilità di Olmesartan è sconosciuta.
Non è stata osservata alcuna letalità negli studi di tossicità acuta in topi e ratti somministrati dosi orali fino a 2000 mg/kg di medoxomil olmesartan. La dose orale letale minima di medoxomil olmesartan nei cani era maggiore di 1500 mg/kg.
Idroclorotiazide
I segni e i sintomi più comuni del sovradosaggio di idroclorotiazide osservato nell'uomo sono quelli causati dall'esaurimento dell'elettroliti (ipochelemia ipocloremia iponatriemia) e disidratazione risultante da un'eccessiva diuresi. Se Digitalis è stata anche somministrata l'iponokalemia può accentuare le aritmie cardiache. Non è stato stabilito il grado in cui l'idroclorotiazide viene rimosso dall'emodialisi. La LD50 orale di idroclorotiazide è maggiore di 10 g/kg sia nei topi che nei ratti.
Controindicazioni per Benicar HCT
Benicar HCT è controindicato:
- Nei pazienti con ipersensibilità a qualsiasi componente di Benicar HCT [vedi Reazioni avverse ]
- Nei pazienti con Anuria [vedi AVVERTIMENTOS AND PRECAUZIONI E Reazioni avverse ]
- Per la somministrazione di co -somministrazione con aliskiren in pazienti con diabete [vedi Interazioni farmacologiche ].
Farmacologia clinica for Benicar HCT
Meccanismo d'azione
Olmesartan Medoxomil
L'angiotensina II è formata dall'angiotensina I in una reazione catalizzata dall'enzima di conversione dell'angiotensina (Ace chininasi II). L'angiotensina II è il principale agente di pressione del sistema renina-angiotensina con effetti che includono la stimolazione della vasocostrizione della sintesi e il rilascio della stimolazione cardiaca di aldosterone e il riassorbimento renale del sodio. Olmesartan blocca gli effetti vasocostrittori dell'angiotensina II bloccando selettivamente il legame dell'angiotensina II con AT 1 recettore nella muscolatura liscia vascolare. La sua azione è quindi indipendente dai percorsi per la sintesi dell'angiotensina II.
Un at 2 Il recettore si trova anche in molti tessuti, ma questo recettore non è noto per essere associato all'omeostasi cardiovascolare. Olmesartan ha più di una maggiore affinità di 12500 volte per l'AT 2 recettore che per l'at 2 recettore.
Il blocco del recettore dell'angiotensina II inibisce il feedback regolare negativo dell'angiotensina II sulla secrezione di renina, ma il conseguente aumento dell'attività della renina plasmatica e i livelli circolanti dell'angiotensina II non superano l'effetto dell'olmesartano sulla pressione sanguigna.
Idroclorotiazide
Idroclorotiazide is a thiazide diuretic. Thiazides affect the renal tubular mechanisms of electrolyte reabsorption directly increasing excretion of sodium E chloride in approximately equivalent amounts. Indirectly the diuretic action of hydrochlorothiazide reduces plasma volume with consequent increases in plasma renin activity increases in aldosterone secretion increases in urinary potassium loss E decreases in serum potassium. The renin-aldosterone link is mediated by angiotensin II so coadministration of an angiotensin II receptor antagonist tends to reverse the potassium loss associated with these diuretics. The mechanism of the antihypertensive effect of thiazides is not fully understood.
Farmacodinamica
Olmesartan Medoxomil
Le dosi di olmesartan medoxomil di 2,5 a 40 mg inibiscono gli effetti del pressale dell'infusione di angiotensina I. La durata dell'effetto inibitorio era correlata alla dose con dosi di medoxomil olmesartan> 40 mg che dà l'inibizione> 90% a 24 ore.
Le concentrazioni plasmatiche di angiotensina I e angiotensina II e attività di renina plasmatica (PRA) aumentano dopo la somministrazione singola e ripetuta di medoxomil olmesartan a soggetti sani e pazienti ipertesi. La somministrazione ripetuta fino a 80 mg di Medoxomil Olmesartan ha avuto una minima influenza sui livelli di aldosterone e nessun effetto sul potassio sierico.
Idroclorotiazide
Dopo la somministrazione orale della diuresi di idroclorotiazide inizia entro 2 ore picchi in circa 4 ore e dura circa 6-12 ore.
Interazioni farmacologiche
Idroclorotiazide
Alcol barbiturici o narcotici : Può verificarsi potenziamento dell'ipotensione ortostatica.
Muscolo scheletrico rilassante non depolarizzante (ad es. Tubocurarina) : Può verificarsi una maggiore reattività al rilassante muscolare.
Digitalis Glycosides : L'iponotiemia o l'ipomagnesemia indotta da tiazide può predisporre alla tossicità della digossina.
Farmacocinetica
Assorbimento
Olmesartan : Olmesartan medoxomil is completely bioactivated by ester hydrolysis to olmesartan during absorption from the gastrointestinal tract. The absolute bioavailability of olmesartan is approximately 26%. After oral administration the peak plasma concentration (Cmax) of olmesartan is reached after 1 to 2 hours. Food does not affect the bioavailability of olmesartan.
Olmesartan shows linear pharmacokinetics following single oral doses of up to 320 mg E multiple oral doses of up to 80 mg. Steady-state levels of olmesartan are achieved within 3 to 5 days E no accumulation in plasma occurs with once-daily dosing.
Idroclorotiazide : La biodisponibilità assoluta stimata dell'idroclorotiazide dopo la somministrazione orale è di circa il 70%. Le concentrazioni di picco del plasma idroclorotiazide (CMAX) sono raggiunte entro 2-5 ore dalla somministrazione orale. Non vi è alcun effetto clinicamente significativo del cibo sulla biodisponibilità dell'idroclorotiazide.
La farmacocinetica dell'idroclorotiazide è proporzionale nell'intervallo da 12,5 a 75 mg.
pillola ovale bianca m357 un lato
Distribuzione
Olmesartan : Il volume di distribuzione di olmesartan è di circa 17 L. olmesartan è altamente legato alle proteine plasmatiche (99%) e non penetra nei globuli rossi. Il legame proteico è costante alle concentrazioni plasmatiche di olmesartano ben al di sopra della gamma ottenuta con dosi raccomandate.
Nei ratti olmesartan attraversò male la barriera emato-encefalica, se non del tutto. Olmesartan attraversò la barriera placentare nei ratti e fu distribuito al feto. Olmesartan è stato distribuito al latte a bassi livelli nei ratti.
Idroclorotiazide : Idroclorotiazide binds to albumin (40 to 70%) E distributes into erythrocytes. Following oral administration plasma hydrochlorothiazide concentrations decline biexponentially with a mean distribution half-life of about 2 hours E an elimination half-life of about 10 hours.
Idroclorotiazide crosses the placental but not the blood-brain barrier E is excreted in breast milk.
Metabolismo
Olmesartan : Olmesartan does not undergo further metabolism.
Idroclorotiazide : Idroclorotiazide is not metabolized.
Eliminazione
Olmesartan : Olmesartan appears to be eliminated in a biphasic manner with a terminal elimination halflife of approximately 13 hours. Total plasma clearance of olmesartan is 1.3 L/h with a renal clearance of 0.6 L/h. Approximately 35% to 50% of the absorbed dose is recovered in urine while the remainder is eliminated in feces via the bile .
Idroclorotiazide : Circa il 70% di una dose somministrata per via orale di idroclorotiazide viene eliminato nelle urine come farmaco invariato.
Popolazioni specifiche
Olmesartan Medoxomil
Pediatrico : La farmacocinetica di Olmesartan è stata studiata in pazienti ipertesi pediatrici di età compresa tra 1 e 16 anni. La clearance di Olmesartan nei pazienti pediatrici era simile a quella nei pazienti adulti se regolata dal peso corporeo. La farmacocinetica olmesartan non è stata studiata in pazienti pediatrici di età inferiore a 1 anno di età.
Geriatrico : I farmacocinetici di Olmesartan sono stati studiati negli anziani (≥ 65 anni). Le concentrazioni plasmatiche massime complessiva di olmesartan erano simili nei giovani adulti e negli anziani. È stato osservato un modesto accumulo di olmesartan negli anziani con dosaggio ripetuto; AUCSSτ era superiore del 33% nei pazienti anziani corrispondenti a una riduzione approssimativa del 30% del CLR.
Qual è il più alto mg di ossicodone
Genere : Sono state osservate differenze minori nella farmacocinetica dell'olmesartan nelle donne rispetto agli uomini. AUC e CMAX erano più alti del 10-15% nelle donne rispetto agli uomini.
Insufficienza renale : Nei pazienti con concentrazioni sieriche di insufficienza renale di olmesartan sono state elevate rispetto ai soggetti con normale funzione renale. Dopo aver ripetuto il dosaggio, l'AUC è stato approssimativamente triplicato in pazienti con grave compromissione renale (clearance della creatinina <20 mL/min). The pharmacokinetics of olmesartan in patients undergoing hemodialysis has not been studied.
Insufficienza epatica : Gli aumenti di AUC e C per Olmesartan sono stati osservati in pazienti con moderata compromissione epatica rispetto a quelli nei controlli abbinati con un aumento dell'AUC di circa il 60%.
Idroclorotiazide
Insufficienza renale : In uno studio su soggetti con funzionalità renale alterata l'emivita di eliminazione media di idroclorotiazide raddoppiata in soggetti con compromissione renale lieve/moderata (30
Interazioni farmacologiche
Olmesartan
Non sono state riportate interazioni farmacologiche significative negli studi in cui Olmesartan Medoxomil è stato somministrato con la digossina o il warfarin in volontari sani.
La biodisponibilità del Medoxomil olmesartan non è stata significativamente modificata dalla co-somministrazione di antiacidi [AL (OH) 3 /Mg (oh) 2 ].
Olmesartan medoxomil is not metabolized by the cytochrome P450 system E has no effects on P450 enzymes; thus interactions with drugs that inhibit induce or are metabolized by those enzymes are not expected.
Agente di sequestro di acido biliare colesevelam
La somministrazione concomitante di 40 mg di Olmesartan Medoxomil e 3750 mg di cloridrato colesevelam in soggetti sani ha comportato una riduzione del 28% di CMAX e una riduzione del 39% dell'AUC di Olmesartan. Effetti minori sono stati osservati rispettivamente effetti del 4% e del 15% in CMAX e AUC quando Olmesartan Medoxomil è stato somministrato 4 ore prima dell'idrocloruro di Colesevelam [vedi Interazioni farmacologiche ].
Idroclorotiazide
Farmaci che alterano la motilità gastrointestinale : La biodisponibilità dei diuretici di tipo tiazidico può essere aumentata da agenti anticolinergici (ad esempio atropina biperiden) a causa di una diminuzione della motilità gastrointestinale e della velocità di svuotamento dello stomaco. Al contrario, i farmaci pro-chinetici possono ridurre la biodisponibilità dei diuretici tiazidici.
Colestyramina : In una somministrazione di studio di interazione farmacologica dedicata di colestiramina 2 ore prima dell'idroclorotiazide ha comportato una riduzione del 70% dell'esposizione all'idroclorotiazide. Un'ulteriore somministrazione di idroclorotiazide 2 ore prima della colestiramina ha comportato una riduzione del 35% dell'esposizione all'idroclorotiazide.
Litio : Gli agenti diuretici riducono la clearance renale del litio e aumentano il rischio di tossicità del litio [vedi Interazioni farmacologiche ].
Agenti antineoplastici (ad es. Metotrexato di ciclofosfamide) : L'uso concomitante di diuretici tiazidici può ridurre l'escrezione renale degli agenti citotossici e migliorare i loro effetti mielosoppressivi.
Tossicità dello sviluppo
Olmesartan Medoxomil e idroclorotiazide
Non sono stati osservati effetti teratogeni quando sono state somministrate combinazioni 1.6: 1 di olmesartan medoxomil e idroclorotiazide a topi in gravidanza a dosi orali fino a 1625 mg/kg/giorno (122 volte la dose umana massima raccomandata [MRHD] su una base mg/m²) o ratti in gravidanza a dosici oriali fino a 1625 mg/giorno MRHD su base mg/m²). Nei ratti tuttavia i pesi corporei fetali a 1625 mg/kg/die (una dose tossica a volte letale nelle dighe) erano significativamente inferiori al controllo. La dose di effetto NO osservata per la tossicità dello sviluppo nei ratti 162,5 mg/kg/giorno è circa 28 volte su base mg/m² L'MRHD di Benicar HCT (40 mg di Olmesartan Medoxomil/25 mg di idroclorotiazide/giorno).
Studi clinici
Olmesartan Medoxomil e idroclorotiazide
Negli studi clinici 1230 pazienti sono stati esposti alla combinazione di medoxomil olmesartan (da 2,5 mg a 40 mg) e idroclorotiazide (da 12,5 mg a 25 mg). Questi studi includevano uno studio fattoriale controllato con placebo in pazienti ipertesi lievi-moderati (n = 502) con combinazioni di medoxomil olmesartan (10 mg 20 mg 40 mg o placebo) e idroclorotiazide (NULL,5 mg 25 mg o placebo). L'effetto antiipertensivo della combinazione sulla pressione arteriosa della depressione era correlato alla dose di ciascun componente (vedere la Tabella 2).
Dosaggio una volta al giorno con 20 mg di olmesartan Medoxomil e 12,5 mg di idroclorotiazide 40 mg olmesartan Medossomil e 12,5 mg di idroclorotiazide o 40 mg di olmesartan Medossomile e 25 mg di idroclorotiazide prodotto nella media del placebo-aderente a tre ore (24 ore dopo il dosaggio di 17/14 e 25 mg di idroclorotiazide prodotto nella media del placebo-aderente mm hg.
Tabella 2: Riduzioni adeguate al placebo nella pressione arteriosa sistolica/diastolica (MMHG)
| Hctz | Olmesartan Medoxomil | |||
| 0 mg | 10 mg | 20 mg | 40 mg | |
| 0 mg | - | 7/5 | 12/5 | 13/7 |
| 12,5 mg | 5/1 | 17/8 | 17/8 | 16/10 |
| 25 mg | 14/5 | 19/11 | 22/11 | 24/14 |
L'effetto antiipertensivo aveva inizio entro 1 settimana ed era quasi massimo a 4 settimane. L'effetto antiipertensivo era indipendente dal genere, ma c'erano troppo pochi soggetti per identificare le differenze di risposta in base alla razza o all'età superiore o inferiore a 65 anni. Non sono stati osservati cambiamenti apprezzabili nella frequenza cardiaca della depressione con la terapia di combinazione.
Non ci sono studi su Benicar HCT che dimostrano riduzioni del rischio cardiovascolare nei pazienti con ipertensione, ma almeno un farmaco farmacologicamente simile a Olmesartan Medoxomil ha dimostrato tali benefici e idroclorotiazide ha dimostrato una riduzione del rischio cardiovascolare nei pazienti con ipertensione.
Olmesartan Medoxomil
Gli effetti antiipertensivi del medoxomil olmesartan sono stati dimostrati in sette studi di posti -bocontrollati a dosi che vanno da 2,5 a 80 mg per 6-12 settimane ciascuno mostrando riduzioni statisticamente significative del picco e della pressione arteriosa. Sono stati studiati 2693 pazienti (2145 Olmesartan Medoxomil; 548 placebo) con ipertensione essenziale. Olmesartan Medoxomil una volta al giorno (QD) ha abbassato la pressione diastolica e sistolica. La risposta è stata correlata alla dose. Una dose di medoxomil di Olmesartan di 20 mg al giorno ha prodotto una riduzione della BP di bp di depressione su placebo di circa 10/6 mm Hg e una dose di 40 mg al giorno ha prodotto una riduzione della BP in seduta su placebo di circa 12/7 mm Hg. Le dosi di medoxomil di Olmesartan superiori a 40 mg hanno avuto un effetto aggiuntivo. L'inizio dell'effetto antiipertensivo si è verificato entro 1 settimana e si è manifestato in gran parte dopo 2 settimane.
L'effetto di abbassamento della pressione sanguigna è stato mantenuto per tutto il periodo di 24 ore con medoxomil olmesartan una volta al giorno con rapporti depressione a picco per la risposta sistolica e diastolica tra il 60 e l'80%.
L'effetto di abbassamento della pressione sanguigna del medoxomil olmesartan con e senza idroclorotiazide è stato mantenuto in pazienti trattati fino a 1 anno. Non ci sono state prove di tachifilassi durante il trattamento a lungo termine con medoxomil olmesartan o effetto di rimbalzo a seguito di un brusco ritiro di medoxomil olmesartan dopo 1 anno di trattamento.
L'effetto antiipertensivo del medoxomil olmesartan era simile negli uomini e nelle donne e nei pazienti più vecchi e giovani di 65 anni. L'effetto era più piccolo nei pazienti neri (di solito una popolazione a bassa renina), come è stato osservato con gli altri ACE-inibitori di bloccanti del recettore dell'angiotensina e betablockers. Olmesartan Medoxomil ha avuto un ulteriore effetto di abbassamento della pressione sanguigna quando aggiunto all'idroclorotiazide.
Informazioni sul paziente per Benicar HCT
Gravidanza
Consiglia a pazienti di sesso fertile in merito alle conseguenze dell'esposizione a Benicar HCT durante la gravidanza. Discutere le opzioni terapeutiche con le donne che prevedono di rimanere incinta. Di 'ai pazienti di denunciare le gravidanze ai loro medici il più presto possibile [vedi Utilizzare in popolazioni specifiche ].
Ipotensione sintomatica e sincope
Consiglio ai pazienti che la vertebrale può verificarsi soprattutto durante i primi giorni di terapia e di segnalare questo sintomo a un operatore sanitario. Informare i pazienti che la disidratazione da un'assunzione di fluido inadeguata vomito o diarrea eccessiva può portare a una caduta eccessiva della pressione sanguigna. Se si verifica la sincope, consiglia ai pazienti di contattare il proprio fornitore di assistenza sanitaria.
Integratori di potassio
Consiglia ai pazienti di non utilizzare integratori di potassio o sostituti di sale contenenti potassio senza consultare il proprio operatore sanitario.
Miopia acuta e glaucoma angolo secondario
Consiglia ai pazienti di interrompere Benicar HCT e di consultare immediatamente un medico se presentano sintomi di miopia acuta o glaucoma di angleclosità secondaria [vedi AVVERTIMENTOS AND PRECAUZIONI ].