Le Informazioni Presenti Sul Sito Non Costituiscono Consulenza Medica. Non Vendiamo Nulla. L'Accuratezza Della Traduzione Non È Garantita. Disclaimer
Agenti sclerosi
Sclera
Riepilogo della droga
Cos'è ASCLERA?
Asclera (iniezione di polidocanolo) è un agente sclerosante usato per trattare piccole vene di ragno non complicate e vene varicose nelle gambe. Asclera non tratterà vene varicose più grandi di 3 millimetri (circa un ottavo di pollice) di diametro. Asclera non è una cura per le vene varicose e gli effetti di questo farmaco potrebbero non essere permanenti.
Quali sono gli effetti collaterali di Asclera?
Sclera
- orticaria
- Difficoltà a respirare
- gonfiore della lingua o della gola
- starnuti
- rinorrea
- grave dolore che brucia o altra irritazione nella gamba
- Scolorimento o cambiamenti della pelle sono stati dati un'iniezione
- improvviso grave mal di testa
- confusione
- Problemi con il discorso o l'equilibrio della visione
- calore o rossore gonfiore del dolore in una o entrambe le gambe
- grave intorpidimento
- difficoltà a respirare
- battiti cardiaci delimitati
- svolazzando nel petto
- confusione e
- Accendino
Ottieni subito assistenza medica se hai uno qualsiasi dei sintomi sopra elencati.
Gli effetti collaterali comuni di Asclera includono:
- lieve intorpidimento o formicolio
- mal di testa
- vertigini
- aumento della crescita dei capelli sulla gamba trattata o
- Reazioni del sito di iniezione (calore del dolore gonfiore prurito scolorimento e coagulazione dei lividi)
Cerca cure mediche o chiama il 911 contemporaneamente se hai i seguenti gravi effetti collaterali:
- Sintomi di occhiali gravi come la perdita di visione improvvisa del tunnel della visione sfocata Dolore alla visione o gonfiore o vedere aloni attorno alle luci;
- Sintomi cardiaci gravi come battiti cardiaci irregolari o martellanti veloci; svolazzando nel petto; fiato corto; e improvviso vertigini giuria o svenuta;
- Grave mal di testa confusione Il braccio del linguaggio bloccato o la debolezza delle gambe problemi perdite perdita di coordinamento sentendoti instabili muscoli molto rigidi ad alta febbre abbondante sudorazione o tremori.
Questo documento non contiene tutti i possibili effetti collaterali e altri possono verificarsi. Verificare con il tuo medico ulteriori informazioni sugli effetti collaterali.
Dosaggio per asclera
La dose di ASCLERA per le vene del ragno (vene varicose ≤ 1 mM di diametro) è dello 0,5%. Per le vene reticolari (vene varicose di diametro da 1 a 3 mm), l'utilizzo dell'1%. Utilizzare da 0,1 a 0,3 ml per iniezione e non più di 10 ml per sessione.
Quali sostanze o integratori di farmaci interagiscono con Asclera?
Asclera durante la gravidanza e l'allattamento
Asclera può interagire con altri farmaci. Dì al medico tutti i farmaci e gli integratori che usi. Durante la gravidanza Asclera dovrebbe essere utilizzata solo se prescritta. Non è noto se questo farmaco passi nel latte materno. Consulta il medico prima dell'allattamento al seno.
Metoprolol ER 100 mg Effetti collaterali
Ulteriori informazioni
Il nostro centro farmacologico ASCLERA (iniezione di polidocanolo) fornisce una visione completa delle informazioni disponibili sui farmaci sui potenziali effetti collaterali durante l'assunzione di questo farmaco.
Informazioni sui farmaci FDA
- Descrizione del farmaco
- Indicazioni
- Effetti collaterali
- Avvertimenti
- Overdose
- Farmacologia clinica
- Guida ai farmaci
Descrizione per asclera
Asclera è una soluzione sterile non pilrogenica e incolore a debolmente giallo verdastra di polidocanolo per uso endovenoso come agente sclerosante.
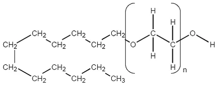
Il polidocanolo del principio attivo è un detergente non ionico costituito da due componenti una catena polare idrofila (alcol dodecile) e una catena idrofobica apolare (ossido di polietilene). Il polidocanolo ha la seguente formula strutturale:
|
C 12 H 25 (E 2 Cap 2 ) Noh polietilenglicole monododecile etere estensione media della polimerizzazione (N): circa 9 peso molecolare medio: circa 600
Ogni ml contiene 5 mg (NULL,5%) o 10 mg (NULL,0%) polidocanolo in acqua per iniezione con etanolo al 5%(v/v) a pH 6,5-8,0; Disodium idrogeno fosfato diidrato di potassio diidrogeno fosfato per la regolazione del pH.
Usi per asclera
Sclera ® (polidocanolo) è indicato a vene di ragno non complicate sclerose (vene varicose di diametro mm di diametro) e vene reticolari non complicate (vene varicose di diametro) nell'estremità inferiore. Asclera non è stata studiata in vene varicose di diametro di oltre 3 mm.
Dosaggio per asclera
Solo per uso endovenoso. I prodotti farmaceutici parenterali devono essere ispezionati visivamente per il particolato e lo scolorimento prima della somministrazione ogni volta che la soluzione e il permesso del contenitore. Non utilizzare se si vede il particolato o se il contenuto della fiala è scolorita o se la fiala è danneggiata in alcun modo.
Per le vene del ragno (vene varicose ≤1 mm di diametro) usano Asclera 0,5%. Per le vene reticolari (vene varicose di diametro da 1 a 3 mm), l'utilizzo dell'1%. Utilizzare da 0,1 a 0,3 ml per iniezione e non più di 10 ml per sessione.
Utilizzare una siringa (vetro o plastica) con un ago sottile (in genere 26 o 30 calibri). Inserire l'ago tangenzialmente nella vena e iniettare lentamente la soluzione mentre l'ago è ancora nella vena. Applicare solo una pressione delicata durante l'iniezione per prevenire la rottura delle vene. Dopo che l'ago è stato rimosso e il sito di iniezione è stato coperto applicare la compressione sotto forma di una calza o una benda. Dopo la sessione di trattamento incoraggiare il paziente a camminare per 15-20 minuti. Mantenere il paziente sotto osservazione per rilevare qualsiasi reazione anafilattica o allergica [vedi Avvertimenti e precauzioni ].
Maintain compression for 2 to 3 days after treatment of spider veins and for 5 to 7 days for reticular veins. For extensive varicosities longer compression treatment with compression bandages or a gradient compression stocking of a higher compression class is recommended. Post-treatment compression is necessary to reduce the risk of deep vein thrombosis.
Potrebbero essere necessari trattamenti ripetuti se l'estensione delle vene varicose richiede più di 10 ml. Questi trattamenti dovrebbero essere separati da 1 a 2 settimane.
Piccoli trombi intravaricosi che si sviluppano possono essere rimossi mediante microtrombectomia.
Come fornito
Forme di dosaggio e punti di forza
Sclera is available as a 0.5% and 1% solution in 2 mL glass ampules.
Archiviazione e maneggevolezza
Sclera è fornito in ampole senza conservanti monouso nei seguenti pacchetti:
Ndc 67850-140-05 cinque ampule 0,5% (2 ml)
Ndc 67850-141-05 cinque ampule 1,0% (2 ml)
Ogni ampola è destinata all'uso immediato in un singolo paziente. Ogni ampola non aperta è stabile fino a tre anni.
Conservare a 15-30 ° C; (59-86 ° F).
Distribuito da: Methapharm Inc. Coral Springs FL 33065. Tel: 1-833-766-8346. www.asclera.com. Prodotto da: Chemische Fabrik Kreussler
Effetti collaterali per ASCLERA
Esperienza di studio clinico
Poiché gli studi clinici sono condotti in condizioni di reazione avverse ampiamente variabili osservate negli studi clinici di un farmaco non possono essere paragonati direttamente ai tassi negli studi clinici di un altro farmaco e potrebbero non riflettere i tassi osservati nella pratica.
In 5 studi clinici randomizzati controllati ASCLERA è stato somministrato a 401 pazienti con vene varicose piccole o molto piccole (vene reticolari e di ragno) e confrontate con un altro agente sclerosante e con placebo. I pazienti avevano dai 18 ai 70 anni. La popolazione di pazienti era prevalentemente femminile e consisteva in pazienti caucasici e asiatici.
Cosa fa il petrolio di origano
La tabella 1 mostra eventi avversi più comuni con ASCLERA o sodio tetradecil solfato (STS) 1% rispetto al placebo di almeno il 3% nello studio EASI di Placebocontrod [vedi Studi clinici ]. All of these were injection site reactions and most were mild.
Tabella 1: reazioni avverse in Eas-Study
| Asclera (180 pazienti) | STS 1% (105 pazienti) | Placebo (53 pazienti) | |
| Ematoma del sito di iniezione | 42% | 65% | 19% |
| Irritazione del sito di iniezione | 41% | 73% | 30% |
| Scolorimento del sito di iniezione | 38% | 74% | 4% |
| Dolore del sito di iniezione | 24% | 31% | 9% |
| Prurito del sito di iniezione | 19% | 27% | 4% |
| Calore del sito di iniezione | 16% | 21% | 6% |
| Neovascolarizzazione | 8% | 20% | 4% |
| Trombosi del sito di iniezione | 6% | 1% | 0% |
Gli esami ecografici a una settimana (± 3 giorni) e 12 settimane (± 2 settimane) dopo il trattamento non hanno rivelato trombosi vena profonda in nessun gruppo di trattamento.
Esperienza di sicurezza post-marketing
Le seguenti reazioni avverse sono state riportate durante l'uso del polidocanolo nell'esperienza mondiale. Poiché queste reazioni sono riportate volontariamente da una popolazione di dimensioni incerte e senza un gruppo di controllo non è possibile stimare la loro frequenza in modo affidabile o stabilire una relazione causale con l'esposizione ai farmaci.
Disturbi del sistema immunitario: Angilattico shock angioedema orticaria generalizzato asma
Disturbi del sistema nervoso: Emicrania cerebrovascolare Emicrania Parestesia (locale) Perdita di coscienza Stato confusionali vertigini
Disturbi cardiaci: Palpitazioni di arresto cardiaco
Disturbi vascolari: Trombosi vena profonda Embolia polmonare sincope Vasculite circolatoria vasovagale
Disturbi toracici e mediastinali respiratori: Dispnea
Disturbi della pelle e dei tessuti sottocutanei: Iperpigmentazione cutanea dermatite ipertricosi allergica (nell'area della scleroterapia)
Disturbi generali e condizioni del sito di iniezione: Sito di iniezione Necrosi Pyrexia Hotbll
Avvelenamento da infortunio e complicanze procedurali: Lesione nervosa
Interazioni farmacologiche per asclera
Non sono state studiate interazioni farmaco-farmaco con ASCLERA.
Avvertimenti per Asclera
Incluso come parte del 'PRECAUZIONI' Sezione
Precauzioni per Asclera
Anafilassi
Sono state riportate gravi reazioni allergiche a seguito di uso del polidocanolo, comprese le reazioni anafilattiche alcune di esse fatali. Le reazioni gravi sono più frequenti con l'uso di volumi più grandi (> 3 mL). Ridurre al minimo la dose di polidocanolo. Preparati a trattare l'anafilassi in modo appropriato.
Effetti locali avversi gravi, compresa la necrosi tissutale, possono verificarsi dopo l'estrasolazione; Pertanto, fai attenzione al posizionamento dell'ago per via endovenosa e usa il volume più piccolo efficace ad ogni iniezione.
Dopo aver completato la sessione di iniezione, applica la compressione con una calza o una benda e fai camminare per il paziente per 15-20 minuti. Mantieni il paziente sotto supervisione durante questo periodo per trattare qualsiasi reazione anafilattica o allergica [vedi Dosaggio e amministrazione ].
Trombosi venosa ed embolia polmonare
Sclera can cause venous thrombosis and subsequent pulmonary embolism or other thrombotic events. Follow administration instructions closely and monitor for signs of venous thrombosis after treatment. Patients with reduced mobility history of deep vein thrombosis or pulmonary embolism or recent (within 3 months) major surgery prolonged hospitalization or pregnancy are at increased risk for developing thrombosis.
Embolia arteriosa
Attacco transitorio ictus Infarto miocardico e funzionalità cardiaca compromessa sono stati riportati in stretta relazione temporale con la somministrazione di polidocanolo. Questi eventi possono essere causati dall'embolia d'aria quando si utilizza il prodotto schiumato con aria ambiente (alta concentrazione di azoto) o tromboembolia. La sicurezza e l'efficacia del polidocanolo schiumato con aria della stanza non è stata stabilita e il suo uso dovrebbe essere evitato.
Ischemia tissutale e necrosi
L'iniezione intra-arteriosa o la stravaso di polidocanolo possono causare gravi ischemia o cancrena di necrosi. Abbi cura di un posizionamento dell'ago per via endovenosa e utilizzare il volume più piccolo efficace in ciascun sito di iniezione. Dopo aver completato la sessione di iniezione, applica la compressione con una calza o una benda e far camminare i pazienti per 15-20 minuti. Se si verifica l'iniezione intra-arteriosa di polidocanolo consultare immediatamente un chirurgo vascolare.
Tossicologia non clinica
Mutagenesi della carcinogenesi compromissione della fertilità
Studi a lungo termine per valutare il potenziale cancerogeno non sono stati condotti con polidocanolo. Il polidocanolo era negativo nei test di mutazione inversa batterica in Salmonella e E. coli e in un test di micronucleo condotto nei topi. Il polidocanolo ha indotto aberrazioni cromosomiche numeriche nei fibroblasti polmonari cinesi di criceto cinese in coltura in assenza di attivazione metabolica.
Il polidocanolo non ha influenzato le prestazioni riproduttive (fertilità) dei ratti quando somministrato in modo intermittente a dosaggi fino a 10 mg/kg (approssimativamente uguale alla dose umana massima sulla base della superficie corporea).
Utilizzare in popolazioni specifiche
Gravidanza
Riepilogo del rischio
I dati disponibili dai casi clinici sull'uso di prodotti contenenti polidocanolo, tra cui ASCLERA nelle donne in gravidanza, non hanno identificato alcun rischio drogato per i gravi difetti alla nascita o risultati avversi ma materni o fetali. Sebbene nessuno di questi rischi sia stato identificato, vi è minimo beneficio nel trattamento delle vene del ragno non complicate e delle vene reticolari negli arti inferiori durante la gravidanza e le varicosità degli arti inferiori che si sviluppano durante la gravidanza in quanto possono regredire spontaneamente il postpartum. Gli studi sulla riproduzione degli animali sono stati condotti in modo da ottenere un'esposizione sistemica mentre l'uso clinico previsto è l'esposizione locale nel sito di iniezione con un'esposizione minima o nessuna sistemica; Pertanto questi dati non sono rilevanti per l'uso clinico previsto (vedi Dati ).
Il rischio di background stimato di principali difetti alla nascita e aborto spontaneo per la popolazione indicata non è noto. Tutte le gravidanze hanno un rischio di fondo di perdita di difetti alla nascita o altri risultati avversi. Nella popolazione generale degli Stati Uniti il rischio di background stimato di gravi difetti alla nascita e aborto in gravidanza clinicamente riconosciuta è rispettivamente dal 2 al 4% e dal 15 al 20%.
Dati
Dati sugli animali
I test di tossicità riproduttiva dello sviluppo sono stati eseguiti in ratti e conigli con somministrazione endovenosa. Il polidocanolo ha indotto la tossicità materna e fetale nei conigli, tra cui una ridotta peso fetale medio e una ridotta sopravvivenza fetale quando somministrata durante i giorni di gestazione 6-20 a dosi di 4 e 10 mg/kg, ma non ha causato anomalie scheletriche o viscerali. Non sono stati osservati effetti materni o fetali avversi nei conigli alla dose di 2 mg/kg. Non è stata osservata alcuna evidenza di teratogenicità o tossicità fetale nei ratti dosati durante i giorni di gestazione 6-17 con dosi fino a 10 mg/kg. Il polidocanolo non ha influito sulla capacità dei ratti di consegnare e posteriori cuccioli quando somministrato a intermittenza mediante iniezione endovenosa dal giorno di gestazione 17 al giorno dopo il partum a dosi fino a 10 mg/kg.
Questi studi sono stati condotti in modo da ottenere un'esposizione sistemica mentre l'uso clinico previsto è l'esposizione locale nel sito di iniezione con un'esposizione sistemica minima o nessuna; Pertanto questi dati non sono rilevanti per l'uso clinico previsto.
Lattazione
Riepilogo del rischio
Non ci sono dati sulla presenza di polidocanolo nel latte umano Gli effetti sul bambino allattato al seno o sugli effetti sulla produzione di latte. Una donna in allattamento può prendere in considerazione l'interruzione dell'allattamento al seno e del pompaggio e scartare il latte materno fino a 8 ore dopo la somministrazione di Asclera al fine di ridurre al minimo l'esposizione a un bambino allattato al seno.
Uso pediatrico
La sicurezza e l'efficacia di ASCLERA nei pazienti pediatrici non sono state stabilite.
Uso geriatrico
Studi clinici su Asclera non includevano un numero sufficiente di soggetti di età pari o superiore a 65 anni per determinare se rispondono in modo diverso dai soggetti più giovani.
Informazioni per overdose per asclera
Il sovradosaggio può comportare una maggiore incidenza di reazioni localizzate come la necrosi.
Controindicazioni per asclera
Sclera is contraindicated for patients with known allergy to polidocanol and patients with acute thromboembolic diseases.
Farmacologia clinica for Sclera
Meccanismo d'azione
Il principio attivo di Asclera è il polidocanolo.
Il polidocanolo è un agente sclerosante che danneggia localmente l'endotelio dei vasi sanguigni. Quando iniettato endovenoso polidocanolo induce un danno endoteliale. Le piastrine si aggregano quindi nel sito di danni e si attaccano alla parete venosa. Alla fine una densa rete di detriti cellulari e fibrina occlude il vaso. Infine, la vena occlusa viene sostituita con tessuto fibroso connettivo.
Farmacodinamica
Il polidocanolo ha un effetto dannoso dipendente dalla concentrazione e dal volume sull'endotelio dei vasi sanguigni.
Farmacocinetica
Durante il principale studio di efficacia (EASI-Trial), i campioni di sangue programmati sono stati prelevati da un sottogruppo di 22 pazienti per misurare i livelli plasmatici di polidocanolo dopo il trattamento con ragno e vene reticolari. In alcuni pazienti sono stati osservati bassi livelli ematici sistemici di polidocanolo.
La media t 1/2 di polidocanolo in 4 pazienti con dati valutabili che ricevevano 4,5-18,0 mg erano 1,5 ore.
Studi clinici
Sclera was evaluated in a multicenter randomized double-blind placebo- and comparator-controlled trial (EASI-study) in patients with spider or reticular varicose veins. A total of 338 patients were treated with Sclera [0.5% for spider veins (n=94) 1% for reticular veins (n=86)] sodium tetradecyl sulfate (STS) 1% (n=105) or placebo (0.9% isotonic saline solution) (n=53) for either spider or reticular veins. Patients were predominately female ranging in age from 19 to 70 years. All of them received an intravenous injection in the first treatment session; repeat injections were given three and six weeks later if the previous injection was evaluated as unsuccessful (defined as 1 2 or 3 on a 5-point scale see below). Patients returned at 12 and 26 weeks after the last injection for final assessments.
L'endpoint di efficacia primaria era il miglioramento delle vene giudicate da una giuria in cieco. Le immagini digitali dell'area di trattamento selezionata sono state scattate prima dell'iniezione rispetto a quelle prese a 12 settimane dopo il trattamento e valutate su una scala a 5 punti (1 = peggiore di prima di 2 = uguale a 3 = miglioramento moderato 4 = buon miglioramento 5 = successo del trattamento completo); I risultati sono mostrati nella Tabella 2.
Struttura di fenitoina
Tabella 2: miglioramento delle vene nelle fotografie digitali dopo 12 settimane e 26 settimane
| Gruppo di trattamento | Polidocanolo (n = 155) | STS (n = 105) | Placebo (n = 53) |
| Punteggi fotografici digitali a 12 settimane | |||
| Media ± SD | 4,5* ± 0,7 | 4,5* ± 0,7 | 2,2 ± 0,7 |
| Punteggi fotografici digitali a 26 settimane | |||
| Media ± SD | 4,5* ± 0,7 | 4,5* ± 0,8 | 2,2 ± 0,7 |
| *P <0.0001 compared to placebo (Wilcoxon-Mann-Whitney test) |
Il criterio di efficacia secondaria è stato il tasso di successo del trattamento predefinito come punteggio di 4 o 5 con i pazienti che hanno segnato 1 2 o 3 considerati guasti al trattamento; I risultati sono mostrati nella Tabella 3.
Tabella 3: tassi di successo del trattamento a 12 settimane e 26 settimane
| Successo del trattamento* | Polidocanolo (n = 155) | STS (n = 105) | Placebo (n = 53) |
| A 12 settimane (visita 4) | |||
| SÌ | 95% † | 92% † | 8% |
| NO | 5% | 8% | 92% |
| Mancante | 0,6% | 0% | 0% |
| A 26 settimane (visita 5) | |||
| SÌ | 95% † | 91% † | 6% |
| NO | 5% | 9% | 94% |
| *Successo del trattamento: sì = grado da 4 a 5 No = grado 1 a 3; derivato dalla mediana della valutazione; † p <0.0001 compared to placebo. |
A 12 e 26 settimane il giudizio dei pazienti sui risultati è stato valutato mostrando loro le immagini digitali della loro area di trattamento scattate al basale e chiedendo loro di valutare la loro soddisfazione con il loro trattamento usando una scala di valutazione verbale (1 = molto insoddisfatta; 2 = un po 'insoddisfatta; 3 = leggermente soddisfatto; 4 = soddisfatto e 5 = molto soddisfatto); I risultati sono mostrati nella Tabella 4.
Tabella 4: soddisfazione del paziente dopo 12 settimane e 26 settimane
| Polidocanolo (n = 155) | STS (n = 105) | Placebo (n = 53) | |
| Soddisfazione del paziente per il trattamento dopo 12 settimane (visita 4) | |||
| Soddisfatto o molto soddisfatto | 87%* | 64% | 14% |
| Soddisfazione del paziente per il trattamento dopo 26 settimane (visita 5) | |||
| Soddisfatto o molto soddisfatto | 84%* | 63% | 16% |
| *P <0.0001 compared to STS and placebo |
Informazioni sul paziente per asclera
Consiglia al paziente di indossare calze di compressione o di supporto del tubo sulle gambe trattate continuamente per 2-3 giorni e per 2-3 settimane durante il giorno. Le calze a compressione o il tubo di supporto devono essere alti cosce o al ginocchio a seconda dell'area trattata al fine di fornire una copertura adeguata.
Consiglia al paziente di camminare per 15-20 minuti immediatamente dopo la procedura e ogni giorno per i prossimi giorni.
Per due o tre giorni dopo il trattamento consiglia al paziente di evitare un pesante esercizio fisico voli in aereo lunghi e bagni caldi o sauna.