Le Informazioni Presenti Sul Sito Non Costituiscono Consulenza Medica. Non Vendiamo Nulla. L'Accuratezza Della Traduzione Non È Garantita. Disclaimer



Aerospan HFA

Riepilogo della droga

Cos'è Aerospan HFA?

L'aerosol di inalazione di aerospan (flunisolide HFA 80 mcg) è un corticosteroide usato per il trattamento di mantenimento dell'asma come terapia profilattica nei pazienti adulti e pediatrici di età pari o superiore a 6 anni.

Quali sono gli effetti collaterali di Aerospan HFA?

Aerospan HFA



  • orticaria
  • Difficoltà a respirare
  • gonfiore della lingua o della gola
  • gravi nascite in corso
  • irritazione che prude piaghe o macchie bianche nella bocca del naso o nella gola
  • Crust intorno alle tue narici
  • Qualsiasi ferita che non guarirà
  • febbre
  • brividi e
  • sintomi dell'influenza

Ottieni subito assistenza medica se hai uno qualsiasi dei sintomi sopra elencati.



Gli effetti collaterali comuni dell'HFA aerospan includono reazioni allergiche al mal di testa che vomito lo stomaco mal di gola congestione nasale Infezione del seno (sinusite) Infezione da lievito o mughetto o dolore muscolare o dolore.

Cerca cure mediche o chiama il 911 contemporaneamente se hai i seguenti gravi effetti collaterali:



  • Sintomi di occhiali gravi come la perdita di visione improvvisa del tunnel della visione sfocata Dolore alla visione o gonfiore o vedere aloni attorno alle luci;
  • Sintomi cardiaci gravi come battiti cardiaci irregolari o martellanti veloci; svolazzando nel petto; fiato corto; e improvviso vertigini giuria o svenuta;
  • Grave mal di testa confusione Il braccio del linguaggio bloccato o la debolezza delle gambe problemi perdite perdita di coordinamento sentendoti instabili muscoli molto rigidi ad alta febbre abbondante sudorazione o tremori.

Questo documento non contiene tutti i possibili effetti collaterali e altri possono verificarsi. Verificare con il tuo medico ulteriori informazioni sugli effetti collaterali.

Dosaggio per Aerospan HFA

La dose iniziale raccomandata di Aerospan per adulti e adolescenti di età pari o superiore a 160 mcg due volte al giorno con una dose massima di 320 mcg due volte al giorno. La dose iniziale raccomandata di Aerospan per bambini di età compresa tra 6 e 11 anni è di 80 mcg due volte al giorno con una dose massima di 160 mcg due volte al giorno.

Quali sostanze o integratori di farmaci interagiscono con Aerospan HFA?

Aerospan può interagire con altri farmaci. Dì al medico tutti i farmaci e gli integratori che usi.

Aerospan HFA durante la gravidanza o l'allattamento

Durante la gravidanza l'aerospan dovrebbe essere usato solo se prescritto. Non è noto se questo farmaco passi nel latte materno. Perché altri corticosteroidi vengono escreti nelle donne che infermieristici del latte umano dovrebbero prestare attenzione se si utilizzano aerospan. Consulta il medico prima dell'allattamento al seno.

Ulteriori informazioni

Il nostro centro farmacologico aerosol aerosol di aerosol aerosol aerospan (flunisolide HFA offre una visione completa delle informazioni disponibili sui farmaci sui potenziali effetti collaterali quando si assume questo farmaco.

Informazioni sui farmaci FDA

Descrizione per Aerospan HFA

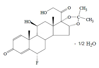
Flunisolide Il componente attivo di Aerospan ™ (flunisolide) Aerosol è un corticosteroide con il nome chimico 6α-fluoro-11β 16α 17 21-tetraidrossilpregna-1 4diene-3 20-dione ciclico-16 17-acetale con emiidratate acetone e la seguente struttura chimica:

Flunisolide

Flunisolide is a white to creamy white crystalline powder with a molecular weight of 443.51 and an empirical formula of C 24 H 31 Di • ½ h 2 O. È solubile in alcol etil acetone e HFA-134A e praticamente insolubile in acqua.

L'inalazione di aerospan aerosol è un'unità inalatore a dosi misurata pressurizzata destinata solo all'inalazione orale. L'unità dell'inalatore è costituita da un contenitore in metallo un attuatore viola e un distanziatore grigio incorporato. Ogni unità contiene una soluzione 0,24 % p/p di flunisolide in 10:90 p/w etanolo: 1112Tetrafluoroethane (HFA 134A). Dopo aver innescato ogni attuazione fornisce 139 mcg di flunisolide in 58 mg di soluzione dalla valvola ascendata e 80 mcg di flunisolide (equivalente a 78 mcg di flunisolide anidro) dal distanziatore a una portata di 30 l/min per 4 secondi.

Usando un in vitro method at a fixed volume of 2 L each actuation at the beginning of canister content delivers from the spacer 76 mcg (95% of the label claim) at a flow rate of 30 L/min 61 mcg (76% of the label claim) at a flow rate of 20 L/min 85 mcg (106% of the label claim) at a flow rate of 40 L/min and 96 mcg (120% of the label claim) at a flow rate of 60 L/min. La quantità effettiva di farmaco consegnato al polmone può dipendere da fattori del paziente come tempi e coordinamento tra l'attuazione e l'ispirazione e la forza e la durata dell'ispirazione. I dati mostrano che entrambe le dosi di una e due attivazioni sono esaurite del 75% o più dopo aver atteso un secondo tra l'attivazione e l'inalazione.

Il contenitore a peso netto da 5,1 g fornisce a 60 attuazioni a misurazione e il contenitore a peso netto da 8,9 g fornisce 120 attuazioni a misurazione.

L'inalazione di aerospan L'aerosol dovrebbe essere innescato prima di usare per la prima volta rilasciando 2 spray di prova nell'aria lontano dal viso. Nei casi in cui l'inalatore non è stato usato per più di 2 settimane, l'inalatore dovrebbe essere di nuovo innescato rilasciando 2 spray di test nell'aria lontano dal viso.

Questo prodotto contiene un distanziatore integrato. Non utilizzare con dispositivi distanziali esterni.

Usi per Aerospan HFA

L'inalazione di aerospan aerosol è indicato per il trattamento di mantenimento dell'asma come terapia profilattica nei pazienti adulti e pediatrici di età pari o superiore a 6 anni. L'aerosol di inalazione aerospan è anche indicato per i pazienti con asma che richiedono terapia corticosteroidi orale in cui l'aggiunta di aerosol di inalazione di aerospan può ridurre o eliminare la necessità di corticosteroidi orali.

Importanti limiti di utilizzo

L'aerosol per inalazione aerospan non è indicato per il sollievo del broncospasmo acuto.

L'aerosol per inalazione aerospan non è indicato nei bambini di età inferiore ai 6 anni.

Dosaggio per Aerospan HFA

L'aerosol di inalazione aerospan deve essere somministrato dalla via per via orale in pazienti asmatici di età pari o superiore a 6 anni. Questo prodotto contiene un distanziatore integrato. Non utilizzare con alcun distanziale esterno o dispositivi da camera di tenuta. Chiedere ai pazienti di preparare l'inalatore per l'uso tirando fuori l'attuatore viola incorporato dal distanziatore grigio e scattando in una forma L prima dell'uso. I pazienti pediatrici devono somministrare questo prodotto sotto supervisione degli adulti.

L'inizio e il grado di sollievo dai sintomi con corticosteroidi per via orale sono generalmente evidenti entro 2-4 settimane dopo l'inizio del trattamento e varia con i singoli pazienti. Il tempo di miglioramento del controllo dell'asma non è stato valutato in studi clinici con aerosol per inalazione di aerospan. Per i pazienti che non rispondono adeguatamente alla dose iniziale dopo 3-4 settimane di terapia dosi più elevate possono fornire un ulteriore controllo dell'asma. La sicurezza e l'efficacia dell'aerosol per inalazione di aerospan quando somministrate oltre le dosi raccomandate non sono state stabilite.

Il dosaggio di partenza raccomandato e il dosaggio più alto consigliato dell'aerosol di inalazione di aerospan sono elencati nella Tabella 1.

Tabella 1: dosi consigliate di aerosol per inalazione aerospan
Nota: in tutti i pazienti è desiderabile titolare alla dose più bassa una volta raggiunta la stabilità dell'asma.

Gruppo di età Dose iniziale consigliata Dose più alta raccomandata
Adulti e adolescenti di età pari o superiore a 12 anni † 160 mcg due volte al giorno 320 mg due volte al giorno*
Bambini da 6 a 11 anni † 80 mcg due volte al giorno 160 mcg due volte al giorno*
* Non sono state studiate dosi più elevate.
† Per i pazienti che attualmente ricevono terapia corticosteroide orale cronica: Studi clinici con aerosol per inalazione di aerospan non hanno valutato i pazienti sui corticosteroidi orali. Tuttavia, gli studi clinici con dosi terapeutiche di aerosol di inalazione di CFC flunisolide hanno mostrato efficacia nella gestione degli asmatici dipendenti o mantenuti su corticosteroidi sistemici. Ridurre la dose di prednisone non più veloce di 2,5 mg/giorno su base settimanale a partire da almeno 1 settimana di terapia con Aerospan. Monitorare attentamente i pazienti per segni di instabilità dell'asma, comprese le misure oggettive seriali del flusso d'aria e per segni di insufficienza surrenale durante il rastremazione degli steroidi e dopo l'interruzione della terapia corticosteroide orale [vedi Avvertimenti e PRECAUZIONI ].

Come fornito

Forme di dosaggio e punti di forza

Aeropsan è un aerosol per inalazione in un inalatore a dose misurata pressurizzata con un distanziale incorporato che offre 60 o 120 dosi da 80 mcg a misura.

Archiviazione e maneggevolezza

Aerosol per inalazione aerospan viene fornito come contenitore in alluminio foderato in pressione in scatole di uno. Ogni contenitore viene fornito con un attuatore viola di plastica in due pezzi e un gruppo distanziatore grigio e istruzioni del paziente con strappo, tra cui informazioni sul paziente e un illustrato. Istruzioni per l'utilizzo dell'aerosol per inalazione aerospan.

Sono disponibili le seguenti dimensioni del contenitore: 8,9 g di peso netto che fornisce 120 attuazioni a misura (dimensioni commerciali Ndc 75989-550-12); 5,1 g Peso netto che fornisce 60 attuazioni a misurazione (dimensioni dell'ospedale Ndc 75989-550-63); 5,1 g Peso netto che fornisce a 60 attuazioni a misurazione (campione professionale Ndc 75989-550-06).

Primano l'inalatore rilasciando due spray di test nell'aria lontano dal viso prima del primo uso dell'aerosol di inalazione di aerospan e quando l'inalatore non è stato usato per più di 2 settimane.

Chiedere ai pazienti di preparare l'inalatore per l'uso tirando fuori l'attuatore viola incorporato dal distanziatore grigio e scattando in una forma L prima dell'uso.

L'aspetto di un anello bianco sull'orifizio dell'attuatore e all'interno del distanziatore è normale. Le prestazioni dell'aerosol per inalazione di aerospan non sono influenzate da questo residuo. Non è richiesta alcuna pulizia.

Quando non in uso, mantieni l'aerosol per inalazione aerospan fuori dalla portata dei bambini. I pazienti pediatrici devono somministrare solo aerosol per inalazione di aerospan sotto la supervisione degli adulti.

L'attuatore viola di plastica e il gruppo distanziatore grigio fornito nell'ambito dell'aerosol per inalazione aerospan non devono essere utilizzati con altri contenitori del prodotto; e l'attuatore di altri prodotti non dovrebbe essere utilizzato con un contenitore aerosol per inalazione aerospan. Non separare l'attuatore viola dal distanziatore grigio. Non utilizzare questo prodotto con un distanziatore esterno o dispositivi da camera di detenzione.

La quantità etichettata di farmaci in ogni attuazione (80 mcg di flunisolide) non può essere garantita dopo 120 attuazioni a misura (o 60 attuazioni a misura in ospedale e contenitori per dimensioni del campione) anche se il contenitore non è completamente vuoto e continuerà a funzionare. L'inalatore (attuatore di contenitori più) dovrebbe essere scartato quando è stato utilizzato il numero etichettato di attuazioni.

Evita di spruzzare gli occhi.

Contenuto sotto pressione: non foratura. Non utilizzare o conservare vicino al calore o alla fiamma aperta. Proteggi dalle temperature di congelamento e dall'esposizione prolungata alla luce solare. L'esposizione a temperature superiori a 120 ° F (49 ° C) può causare scoppio. Non gettare mai in fuoco o inceneritore.

Conservare a 25 ° C (77 ° F); Escursioni consentite a 15-30 ° C (da 59 a 86 ° F) [vedi A temperatura ambiente controllata da USP ]. For best results the canister should be at room temperature before use.

Prodotto da: sistemi di rilascio di farmaci 3M. Northridge CA 91324. Per: Acton Pharmaceuticals Inc. Marlborough MA 01752. Revisionato: ago 2013.

Effetti collaterali per Aerospan HFA

L'uso di corticosteroidi sistemici e locali può comportare le seguenti:

  • Candida albicans infezione [vedi Avvertimenti e PRECAUZIONI ]
  • Immunosoppressione ha aumentato il rischio di infezioni [vedi Avvertimenti e PRECAUZIONI ]
  • Ipercorticismo e soppressione surrenale [vedi Avvertimenti e PRECAUZIONI ]
  • Riduzione della densità minerale ossea [vedi Avvertimenti e PRECAUZIONI ]
  • Effetti sulla crescita [vedi Avvertimenti e PRECAUZIONI ]
  • Il glaucoma ha aumentato la pressione intraoculare e la cataratta [vedi Avvertimenti e PRECAUZIONI ]
  • Bronchospasm [vedi Avvertimenti e PRECAUZIONI ]

Esperienza di studi clinici

Poiché gli studi clinici sono condotti in condizioni di reazione avverse ampiamente variabili osservate negli studi clinici di un farmaco non possono essere paragonati direttamente ai tassi negli studi clinici di un altro farmaco e potrebbero non riflettere i tassi osservati nella pratica.

La tabella seguente mostra le reazioni avverse che sono state riportate in pazienti in precedenza che hanno ricevuto broncodilatatori e/o corticosteroidi per via orale per via orale in due studi clinici statunitensi controllati con placebo in doppio cieco sono stati trattati con i 519 pazienti per adulti e pediatrici a 320 anni per 12 anni) per 12 anni o 12 mcg per 12 mcg per 12 anni) per 12 anni o 12 mcg per 12 mcg per 12 settimane) per 12 settimane o 12 anni. La durata media dell'esposizione è stata di 76,7 78,2 80,5 e 69,4 giorni per l'inalazione di aerosol aerosol 80 mcg 160 mcg 320 mcg e il placebo tutti dosati due volte al giorno. La tabella include tutte le reazioni che si sono verificate ad una velocità> 3% in qualsiasi gruppo di aerosol di inalazione di aerospan. Nel considerare questi dati è necessario prendere in considerazione l'aumento della durata media dell'esposizione per l'inalazione di aerospan rispetto ai pazienti trattati con placebo.

Reazioni avverse con incidenza> 3% riportate in studi clinici controllati con aerosol per inalazione di aerospan (% dei pazienti)

Reazione avversa PLACEBO
(n = 220)
Aerosol per inalazione aerospan
80 mcg
(n = 189)
160 mcg
(n = 217)
320 mcg
(n = 113)
Corpo come a TOTALE
12.7 9.0 13.8 8.8
2.3 4.2 4.6 4.4
0.9 3.7 0.9 0.9
DIGESTIVO SISTEMA
4.1 4.2 4.6 0.0
1.4 2.1 3.2 3.5
Respiratorio SISTEMA
13.2 17.5 16.6 16.8
10.0 9.0 15.7 3.5
7.7 8.5 5.5 1.8
5.5 7.4 4.1 8.8
0.9 3.2 0.9 0.0
Urogenitale SISTEMA
0.5 1.1 0.9 3.5

Le seguenti altre reazioni avverse si sono verificate nei pazienti in questi studi clinici usando aerosol per inalazione di aerospan con un'incidenza dell'1 al 3% ed erano più comuni nell'aerosol di inalazione di aerospan rispetto al gruppo placebo.

Corpo nel suo insieme: Dolore al petto del dolore addominale Dolore al collo

Sistema digestivo: Diareenterite diarrea Nausea moniliasi orale

Disturbi metabolici e nutrizionali: edema

Sistema muscoloscheletrico: mialgia

Sistema nervoso: Emicrania dell'insonnia di vertigini

Sistema respiratorio: Alterazione della voce di laringite bronchite

Skin e appendici: Eritema multiforme

Sensi speciali: congiuntivite per il dolore all'orecchio del gusto perversione

Sistema urogenitale: Vaginite da dismenorrrea

Studi clinici a lungo termine

Sono stati condotti due studi di sicurezza a etichetta aperta di 52 settimane sull'inalazione di aerospan in 162 pazienti di asma da 12 a 60 anni e in 152 pazienti di asma da 4 a 11 anni. Il profilo di reazione avversa mostrata in questi studi era simile a quello visto nei due studi di 12 settimane.

Reazioni avverse da altre fonti

Le seguenti reazioni avverse aggiuntive sono state derivate da studi clinici condotti con aerosol per inalazione di CFC flunisolide con una frequenza di ≥ 1% e non descritta sopra:

Corpo nel suo insieme: L'influenza ha ridotto i brividi dell'appetito aumentano l'aumento dell'appetito malessere edema periferico sudorazione di debolezza

Sistema gastrointestinale: mal di stomaco di stomaco di stomaco di costipazione del gas addominale pienezza

Sistema cardiovascolare: Palpitazioni Ipertensione Tachicardia

Sistema nervoso: Irritabilità del mal di testa agitazione ansia depressione depressione fatica iperattività ipoattività umore intorpidimento vertigini

Sistema respiratorio: Sintomi del freddo Congestione nasale congregazione del tratto respiratorio superiore congestione torace congestezza del naso che cola congestione sinusale drenaggio del seno infezione da s stazo di espettorato che si basava la tenda del torace broncospasmo dispnea testa di soffocamento nasale irritazione nasale pleurisy pneumonia sinus disord

Skin e appendici: Eczema pruritus acne orticaria

Sensi speciali: Perdita di odore perdita di infezione all'orecchio dell'orecchio Blurred Vision Eye Dismono Infection

Hemic e Linfa: Fragilità capillare I linfonodi ingranditi

Bocca e gola: mal di gola glossite secca glossite irritazione della bocca Phlegm gola irritazione

Interazioni farmacologiche per Aerospan HFA

Nessuna informazione fornita.

Avvertenze per Aerospan HFA

Incluso come parte del PRECAUZIONI sezione.

Precauzioni per Aerospan HFA

Infezioni locali

Negli studi clinici con infezioni localizzate da flunisolide con Candida albicans o Aspergillus Niger si sono verificati in bocca e faringe e occasionalmente nella laringe. Se la candidosi orofaringea si sviluppa con un trattamento con un'adeguata terapia antifungina locale (cioè orale), pur continuando con la terapia di aerosol per inalazione di aerospan, ma a volte la terapia con aerosol di inalazione di aerospan potrebbe essere temporaneamente interrotta sotto una stretta supervisione medica. Si consiglia il risciacquo della bocca dopo l'inalazione. [Vedere Reazione avversaS ].

Episodi di asma acuto

Aerosol per inalazione aerospan is not a bronchodilator and is not indicated for rapid relief of bronchospasm. Instruct patients to contact their physician immediately when episodes of asthma that are not responsive to bronchodilators occur during the course of treatment with Aerosol per inalazione aerospan. During such episodes patients may require therapy with systemic corticosteroids.

Immunosoppressione

I pazienti che usano farmaci che sopprimono il sistema immunitario sono più sensibili alle infezioni rispetto agli individui sani. La variccia e il morbillo, ad esempio, possono avere un percorso più grave o addirittura fatale nei bambini o negli adulti non immuni sui corticosteroidi. In tali bambini o adulti che non hanno avuto queste malattie o sono state adeguatamente immunizzate cure particolari per evitare l'esposizione. Non è noto il modo in cui la via della dose e la durata della somministrazione di corticosteroidi influiscono sul rischio di sviluppare un'infezione diffusa. Non è noto anche il contributo della malattia sottostante e il precedente trattamento corticosteroide al rischio. Se un paziente è esposto alla profilassi della varicella con immunoglobulina varicella-zoster (VZIG). Se un paziente è esposto alla profilassi del morbillo con immunoglobulina intramuscolare raggruppata (IG). (Vedere I rispettivi inserti del pacchetto per le informazioni complete di prescrizione di VZIG e IG .) Se la varicella sviluppa il trattamento con agenti antivirali.

A causa del potenziale per il peggioramento delle infezioni usa i corticosteroidi inalati con cautela se non nei pazienti con infezione da tubercolosi attiva o quiescente non trattata del tratto respiratorio; Infezioni batteriche fungine sistemiche non trattate; o herpes simplex oculare.

Trasferimento da corticosteroidi sistemici

Sono necessarie cure particolari nei pazienti che vengono trasferiti da corticosteroidi sistematicamente attivi a aerosol per inalazione di aerospan perché i decessi dovuti all'insufficienza surrenale si sono verificati nei pazienti asmatici durante e dopo il trasferimento da corticosteroidi sistemici a corticosteroidi inalati meno sistematicamente disponibili. Dopo il ritiro dai corticosteroidi sistemici sono necessari diversi mesi per il recupero della funzione ipotalamica-ipofisi-surrene (HPA).

I pazienti che sono stati precedentemente mantenuti su 20 mg o più al giorno di prednisone (o suo equivalente) possono essere più suscettibili in particolare quando i loro corticosteroidi sistemici sono stati quasi completamente ritirati. Durante questo periodo di soppressione dell'HPA, i pazienti con soppressione possono presentare segni e sintomi di insufficienza surrenale se esposti a chirurgia del trauma o infezioni (in particolare gastroenterite) o altre condizioni associate a gravi perdita di elettroliti. Sebbene l'aerosol di inalazione di aerospan possa fornire il controllo dei sintomi asmatici durante questi episodi nelle dosi raccomandate, fornisce meno delle quantità fisiologiche di glucocorticoide (cortisolo) sistematicamente e non fornisce l'attività mineralocorticoide necessaria per far fronte a queste emergenze.

Durante i periodi di stress o un grave attacco asmatico che sono stati ritirati da corticosteroidi sistemici devono essere istruiti a riprendere immediatamente gli steroidi sistemici e di contattare il proprio medico per ulteriori istruzioni. Indiicare a questi pazienti di trasportare una scheda di avvertimento che indica che potrebbero aver bisogno di steroidi sistemici supplementari durante i periodi di stress o un grave attacco di asma.

Pazienti di svezzamento che richiedono corticosteroidi orali lentamente dall'uso sistemico di corticosteroidi dopo il trasferimento in aerosol per inalazione di aerospan. La riduzione del prednisone può essere eseguita riducendo la dose giornaliera di prednisone di 2,5 mg/giorno su base settimanale [vedi Dosaggio e amministrazione . Funzione polmonare (volume espiratorio forzato in un secondo [FEV 1 ] o la portata espiratoria del picco mattutino [AM PEF]) l'uso del beta-agonista e i sintomi dell'asma devono essere attentamente monitorati durante il ritiro dei corticosteroidi orali. Oltre al monitoraggio dei segni e dei sintomi dell'asma osservano i pazienti per segni e sintomi di insufficienza surrenale come la debolezza della mortalità affaticamento nausea e vomito e ipotensione.

Il trasferimento di pazienti dalla terapia corticosteroide sistemica all'inalazione di aerospan aerosol può smascherare le condizioni allergiche precedentemente soppresse dalla terapia corticosteroide sistemica, ad es. rinite congiuntivite artrite da eczema e condizioni eosinofile.

Durante il ritiro dai corticosteroidi orali, alcuni pazienti possono verificare sintomi di ritiro di corticosteroidi sistematicamente attivo, ad es. Il dolore articolare o muscolare è nonostante il mantenimento o persino il miglioramento della funzione respiratoria.

Ipercorticismo e soppressione surrenale

Nei pazienti reattivi il flunisolide può consentire il controllo dei sintomi asmatici con una minore soppressione della funzione dell'asse HPA rispetto alle dosi orali terapeuticamente equivalenti di prednisone. Poiché il flunisolide viene assorbito dalla circolazione e può essere sistematicamente attiva gli effetti benefici dell'aerosol di inalazione di aerospan nel ridurre al minimo o prevenire la disfunzione dell'asse HPA può essere previsto solo quando i dosaggi raccomandati non vengono superati e i singoli pazienti sono titolati alla dose più bassa. Poiché esiste una sensibilità individuale agli effetti sulla produzione di cortisolo, i medici dovrebbero considerare queste informazioni durante la prescrizione di aerosol per inalazione di aerospan.

A causa della possibilità di assorbimento sistemico di corticosteroidi inalati osservano attentamente i pazienti trattati con aerosol per inalazione di aerospan per qualsiasi evidenza di effetti di corticosteroidi sistemici. Dovrebbero essere prese particolare attenzione all'osservazione dei pazienti dopo l'operazione o durante i periodi di stress per prove di una risposta surrenale inadeguata.

È possibile che effetti di corticosteroidi sistemici come ipercorticismo e soppressione surrenale possano apparire in un piccolo numero di pazienti in particolare a dosi più elevate. Se tali cambiamenti si verificano ridurre la dose di aerosol di inalazione aerospan lentamente coerente con le procedure accettate per la gestione dei sintomi dell'asma e per la riduzione dei corticosteroidi sistemici.

Riduzione della densità minerale ossea

Sono state osservate diminuzioni della densità minerale ossea (BMD) con la somministrazione a lungo termine di prodotti contenenti corticosteroidi inalati tra cui flunisolide. Il significato clinico dei piccoli cambiamenti nella BMD per quanto riguarda i risultati a lungo termine non è noto. Monitorare i pazienti con importanti fattori di rischio per una riduzione del contenuto di minerali ossei come la storia familiare di immobilizzazione prolungata di osteoporosi postmenopausale sullo stato del tabacco per l'età avanzata cattiva nutrizione o l'uso cronico di farmaci che possono ridurre la massa ossea (ad esempio anticonvulsant e corticosteroidi) e tratta con gli standard stabiliti.

Effetti sulla crescita

I corticosteroidi per via orale per via orale, incluso il flunisolide, possono causare una riduzione della velocità di crescita quando somministrati a pazienti pediatrici [vedi Utilizzare in popolazioni specifiche ]. Monitor the growth of children and adolescents receiving Aerosol per inalazione aerospan. To minimize the systemic effects of orally inhaled corticosteroids including Aerosol per inalazione aerospan each titrate each patient to his/her lowest effective dose [see Dosaggio e amministrazione ].

Glaucoma e cataratta

Il glaucoma ha aumentato la pressione intraoculare e sono stati riportati in pazienti in pazienti a seguito della somministrazione a lungo termine di corticosteroidi inalati tra cui il flunisolide. Monitorare attentamente i pazienti in particolare i pazienti con un cambiamento nella visione o con una storia di aumento del glaucoma o della cataratta di pressione intraoculare.

Broncospasmo paradossale

Come con altri farmaci per l'asma inalato, il broncospasmo può verificarsi con un aumento immediato del respiro sibilante dopo il dosaggio. Se il broncospasmo si verifica a seguito del dosaggio con inalazione di aerospan, l'aerosol tratta immediatamente con un broncodilatatore inalato ad azione rapida. Interrompere immediatamente il trattamento con inalazione di aerospan e istituire una terapia alternativa.

Informazioni sulla consulenza del paziente

Vedere Approvato FDA Etichettatura del paziente (Informazioni sul paziente e istruzioni per l'uso).

Candidiasi orale

Consiglia i pazienti che si sono verificate infezioni fungine localizzate in bocca e faringe in alcuni pazienti. Se la candidosi orofaringea si sviluppa con un trattamento con un'adeguata terapia antifungina locale (cioè orale), pur continuando con la terapia di aerosol per inalazione di aerospan, ma a volte la terapia con aerosol di inalazione di aerospan potrebbe essere temporaneamente interrotta sotto una stretta supervisione medica. Si consiglia il risciacquo della bocca dopo l'inalazione.

Stato asmatico e sintomi di asma acuto

Consiglia ai pazienti che l'aerosol per inalazione di aerospan non è un broncodilatatore e non è destinato ad essere usato per trattare l'asmatico di stato o per alleviare i sintomi dell'asma acuto. Tratta i sintomi dell'asma acuto con un agonista beta-2 a breve durata inalato come l'albuterolo. Chiedere ai pazienti di contattare immediatamente i loro medici in caso di deterioramento del loro asma.

Immunosoppressione

Avvertire i pazienti che sono su dosi immunosoppressori dell'aerosol per inalazione di aerospan per evitare l'esposizione a varicella o morbillo e se esposti a consultare il proprio medico senza indugio. Informare i pazienti del potenziale peggioramento delle infezioni virali batteriche o parassitarie batteriche di tubercolosi esistenti o herpes simplex oculare.

Ipercorticismo e soppressione surrenale

Consiglia ai pazienti che l'aerosol per inalazione di aerospan può causare effetti corticosteroidi sistemici dell'ipercorticismo e della soppressione surrenale. Inoltre, istruire i pazienti che i decessi dovuti all'insufficienza surrenale si sono verificati durante e dopo il trasferimento da corticosteroidi sistemici. Pazienti conici lentamente da corticosteroidi sistemici se si trasferiscono all'aerosol per inalazione di aerospan.

Riduzione della densità minerale ossea

Consiglia ai pazienti che hanno un rischio maggiore di riduzione della BMD che l'uso di corticosteroidi può comportare un rischio aggiuntivo. Monitorare i pazienti e laddove appropriato per questa condizione.

Velocità di crescita ridotta

Informare i pazienti che i corticosteroidi per via orale, incluso l'aerosol per inalazione di aerospan, possono causare una riduzione della velocità di crescita quando somministrato a pazienti pediatrici. I medici dovrebbero seguire da vicino la crescita di bambini e adolescenti che prendono corticosteroidi per qualsiasi percorso.

Effetti oculari

L'uso a lungo termine di corticosteroidi inalati tra cui l'aerosol per inalazione di aerospan può aumentare il rischio di alcuni problemi oculari (cataratta o glaucoma); Prendi in considerazione gli esami oculistici regolari.

Usa quotidianamente per il miglior effetto

Consiglia ai pazienti di utilizzare l'aerosol per inalazione di Aerospan a intervalli regolari come indicato poiché la sua efficacia dipende dall'uso regolare. I singoli pazienti sperimenteranno un tempo variabile per l'insorgenza e il grado di sollievo dai sintomi e il pieno beneficio non può essere raggiunto fino a quando il trattamento non sarà somministrato per 2-4 settimane. Se i sintomi non migliorano in quel lasso di tempo o se la condizione peggiora i pazienti non devono aumentare il dosaggio ma devono contattare immediatamente il medico.

Consiglia ai pazienti di non fermare l'aerosol per inalazione di Aerospan o di cambiare la dose senza parlare con un operatore sanitario. Consiglia ai pazienti che se perdono una dose per assumere la successiva dose programmata quando è dovuta.

Istruzioni per l'uso

Aerosol per inalazione aerospan contiene un distanziatore incorporato. Non utilizzare con alcun distanziale esterno o dispositivi da camera di tenuta. Chiedere ai pazienti di preparare l'inalatore per l'uso tirando fuori l'attuatore viola incorporato dal distanziatore grigio e scattando in una forma L prima dell'uso. Con l'uso dell'aspetto di un anello bianco sull'orifizio dell'attuatore e all'interno del distanziatore è normale. Le prestazioni dell'aerosol per inalazione di aerospan non sono influenzate da questo residuo. Non è richiesta alcuna pulizia.

Tossicologia non clinica

Mutagenesi della carcinogenesi compromissione della fertilità

In uno studio di 22 mesi su topi svizzeri flunisolide a dosi orali fino a 500 mcg/kg/die (circa 3 e 4 volte la dose di inalazione giornaliera raccomandata massima [MRDID] negli adulti e nei bambini su base mg/m²) non ha dimostrato alcun effetto cancerogeno.

In uno studio di due anni su Sprague Dawley Rats Administration di flunisolide nella dieta alla dose di 2,5 mcg/kg/giorno (meno di MRDID negli adulti o nei bambini su base mg/m²) ha provocato una maggiore incidenza di adenomi di ghiandola mammaria e adenomi delle isole nelle femmine. Il significato di questi risultati per gli umani è sconosciuto. Non ci sono stati aumenti significativi nell'incidenza di alcun tipo di tumore nei ratti femmine alla dose di 1,0 mcg/kg/giorno (meno di MRDID negli adulti o nei bambini su base mg/m²) o nei ratti maschi a una dose di 2,5 mcg/kg/giorno (meno di MRDID negli adulti o sui bambini in base a mg/m²).

Flunisolide showed no mutagenic activity when tested in in vitro bacterial assay systems (Ames Assay and the Rec-assay) and no clastogenic activity when tested in the in vitro Saggio di aberrazione cromosomica che utilizza cellule CHL di criceto cinese e nel test di aberrazione cromosomica del midollo osseo in vivo.

Studi sugli effetti del flunisolide sulla fertilità nei ratti femmine hanno mostrato che il flunisolide a una dose orale di 200 mcg/kg/giorno (circa 3 volte MRDID su base mg/m²) ha compromesso la fertilità ma priva di tali effetti a dosi fino a 40 mcg/kg/giorno (meno di MrDid su base mg/m²).

Utilizzare in popolazioni specifiche

Gravidanza

Gravidanza Category C

Non ci sono studi adeguati e ben controllati sul flunisolide nelle donne in gravidanza. L'inalazione di aerospan aerosol dovrebbe essere utilizzato durante la gravidanza solo se il potenziale beneficio giustifica il rischio potenziale per il feto.

Come con altri corticosteroidi, il flunisolide ha dimostrato di essere teratogenico e fetossico in conigli e ratti a circa 1 e 3 volte la dose di inalazione giornaliera consigliata massima rispettivamente su base mg/m² (rispettivamente dosi di 40 e 200 mcg/kg/giorno).

L'esperienza con corticosteroidi orali dalla loro introduzione nella farmacologica rispetto alle dosi fisiologiche suggerisce che i roditori sono più inclini agli effetti teratogeni da corticosteroidi che da esseri umani.

Effetti nonteratogeni

L'ipoaderrenismo può verificarsi nei neonati nati da madri che ricevono corticosteroidi durante la gravidanza. Tali neonati dovrebbero essere attentamente monitorati.

Madri infermieristiche

Non è noto se il flunisolide sia escreto nel latte umano. Poiché altri corticosteroidi sono escreti nella cautela del latte umano dovrebbe essere esercitato quando l'aerosol per inalazione di aerospan viene somministrato alle donne infermieristiche.

Uso pediatrico

La sicurezza e l'efficacia dell'aerosol per inalazione di aerospan sono state studiate nei bambini di età compresa tra 4 e 17 anni. Negli studi clinici l'efficacia dell'aerosol di inalazione di aerospan non è stata stabilita nei bambini di età compresa tra 4 e 5 anni, sebbene il profilo di reazione avversa osservata nei pazienti esposti all'aerosol di inalazione di aerospan era simile tra la fascia di età di 4-5 anni (n = 21) la fascia di età di 6-11 anni (n = 210) la fascia d'età di 12-17 anni (n = 30) e quei pazienti (18 anni (n = 258). La sicurezza e l'efficacia dell'aerosol per inalazione di aerospan non sono state studiate in pazienti di età inferiore a 4 anni.

Effetti sulla crescita

Studi clinici controllati hanno dimostrato che i corticosteroidi per via orale possono causare una riduzione della velocità di crescita nei pazienti pediatrici. In questi studi la riduzione media della velocità di crescita era di circa un cm all'anno (intervallo da 0,3 a 1,8 cm all'anno) e sembra dipendere dalla dose e dalla durata dell'esposizione. Questo effetto è stato osservato in assenza di prove di laboratorio di soppressione dell'Asse ipotalamo-ipofisi-surrenale (HPA) che suggerisce che la velocità di crescita è un indicatore più sensibile dell'esposizione sistemica corticosteroidi in pazienti pediatrici rispetto ad alcuni test comunemente usati sulla funzione dell'asse HPA. Gli effetti a lungo termine di questa riduzione della velocità di crescita associati ai corticosteroidi per via orale, incluso l'impatto sull'altezza finale degli adulti, sono sconosciuti. Il potenziale per raggiungere la crescita a seguito di l'interruzione del trattamento con corticosteroidi per via orale non è stato adeguatamente studiato. La crescita di pazienti pediatrici che ricevono corticosteroidi per via orale per via orale, tra cui l'aerosol per inalazione di aerospan, dovrebbe essere monitorata di routine (ad esempio tramite stadiometria). I potenziali effetti di crescita del trattamento prolungato dovrebbero essere valutati rispetto ai benefici clinici ottenuti e ai rischi/benefici delle alternative di trattamento. Per ridurre al minimo gli effetti sistemici dei corticosteroidi per via orale per via orale, incluso l'aerosol di inalazione di aerospan, ogni paziente dovrebbe essere titolato alla dose più bassa che controlla efficacemente i suoi sintomi.

Il potenziale effetto dell'aerospan sui tassi di crescita nei bambini è stato valutato in uno studio controllato con placebo randomizzato di 52 settimane condotto in 242 bambini prepubescenti di età compresa tra 4 e 9,5 anni (145 maschi 97 femmine) con lieve asma persistente. I gruppi di trattamento erano aerospan 160 mcg due volte al giorno e placebo. La velocità di crescita è stata stimata per ciascun paziente usando la pendenza della regressione lineare di altezza nel tempo utilizzando i dati osservati nell'intenzione di trattare la popolazione che aveva almeno 3 misurazioni di altezza. Le velocità di crescita media erano 6,19 cm/anno nel gruppo placebo e 6,01 cm/anno nel gruppo trattato aerospan (differenza da placebo -0,17 cm/anno; IC 95%: -0,58 0,24).

Uso geriatrico

Studi clinici sull'inalazione di aerospan aerosol includevano 21 pazienti da 65 a 78 anni esposti all'aerosol per inalazione di aerospan. Questi studi non includevano un numero sufficiente di pazienti di età pari o superiore a 65 anni per determinare se rispondono in modo diverso dai pazienti più giovani. In generale, la selezione della dose per un paziente anziano dovrebbe essere cauta di solito a partire dalla fascia bassa dell'intervallo di dosaggio che riflette la maggiore frequenza della ridotta funzione renale e cardiaca epatica e di malattia concomitante o altra terapia farmacologica.

Informazioni per overdose per Aerospan HFA

In uno studio in doppio cieco controllato con placebo, 18 mg di flunisolide sono stati somministrati attraverso la formulazione CFC per un periodo di tre ore (nove volte la dose giornaliera etichettata massima) in 94 pazienti con asma acuto e non sono stati osservati effetti clinicamente deleterosi.

Controindicazioni per Aerospan HFA

Aerosol per inalazione aerospan is contraindicated in the following conditions:

Trattamento primario dello stato asmatico o altri episodi acuti di asma in cui sono richieste misure intensive.

Farmacologia clinica for Aerospan HFA

Meccanismo d'azione

Flunisolide has demonstrated marked anti-inflammatory activity in classical test systems. It is a corticosteroid that is several hundred times more potent than cortisol in animal anti-inflammatory assays and several hundred times more potent than dexamethasone in anti-inflammatory effect as determined by the McKenzie skin blanching test. The clinical significance of these findings is unknown.

Il meccanismo preciso dell'azione corticosteroidi è sconosciuto. L'infiammazione delle vie aeree è un componente importante nella patogenesi dell'asma. È stato dimostrato che i corticosteroidi hanno una vasta gamma di effetti antinfiammatori che inibiscono entrambe le cellule infiammatorie (ad esempio i mastociti eosinofili neutrofili macrofagi e linfociti) e il rilascio di infiammazioni infiammatori (ad aliucotrio di istamina eicosanoidi. Queste azioni antinfiammatorie dei corticosteroidi possono contribuire alla loro efficacia nell'asma.

Farmacodinamica

La ricerca della dose per l'aerosol per inalazione di aerospan si basava sulla comparabilità dell'esposizione sistemica all'aerosol per inalazione di CFC del flunisolide. L'effetto dell'inalazione di flunisolide CFC aerosol e dell'aerosol di inalazione di aerospan sulla farmacocinetica e sui livelli di cortisolo plasmatico di 12 ore è stato studiato in due studi. In entrambi gli studi il CMAX e l'AUC del flunisolide 6β-OH flunisolide e le misurazioni del cortisolo plasmatico di 12 ore erano comparabili per 1000 mcg di aerosol di inalazione di CFC flunisolide e 320 mcg di aerosol di inalazione di aerospan. Il primo è stato uno studio parallelo al braccio in 31 soggetti. I livelli di farmacocinetica e cortisolo plasmatico sono stati determinati dopo dosi singoli e multiple di inalazione di CFC aerosol 1000 μg e aerosol aerospan aerosol 160 μg o 320 μg somministrati due volte al giorno per 13,5 giorni. A stato stazionario flunisolide medio di picco delle concentrazioni plasmatiche da flunisolide CFC Inalazione aerosol 1000 mcg e inalazione di aerospan Aerosol 320 mcg sono risultati rispettivamente di 2,6 ng/mL e 3,4 ng/ml. I valori AUC medi corrispondenti per l'intervallo di dosaggio di 12 ore erano rispettivamente di 5,7 ng.hr/ml e 4,7 ng.hr/ml. A stato stazionario le concentrazioni plasmatiche di picco medio di flunisolide 6β-OH dall'inalazione di flunisolide CFC aerosol 1000 mcg e inalazione di aerospan aerosol 320 mcg sono risultati rispettivamente di 0,9 ng/ml e 0,3 ng/ml. I valori AUC medi corrispondenti per l'intervallo di dosaggio di 12 ore erano rispettivamente di 3,8 ng.hr/ml e 1,1 ng.hr/ml. Il secondo è stato uno studio crossover in 11 soggetti dopo singole dosi di inalazione di flunisolide CFC Aerosol 1000 MCG o Aerosol Aerosol 320 mcg. Le concentrazioni plasmatiche di picco medio di flunisolide dall'inalazione di flunisolide CFC aerosol 1000 mcg e inalazione di aerospan aerosol 320 mcg sono risultate rispettivamente di 2,5 ng/ml e 3,3 ng/ml. I valori AUC medi corrispondenti erano rispettivamente 5,1 ng.hr/ml e 5,8 ng.hr/ml. Le concentrazioni plasmatiche di picco medio di 6 β -OH flunisolide dall'inalazione di flunisolide CFC aerosol 1000 mcg e inalazione di aerospan aerosol 320 mcg sono risultate rispettivamente di 0,8 ng/ml e 0,3 ng/ml. I valori AUC medi corrispondenti erano rispettivamente 3,8 ng.hr/ml e 2,3 ng.hr/ml.

Studi clinici controllati con aerosol di inalazione di CFC flunisolide includevano oltre 500 pazienti di asma trattati tra loro 150 bambini di età pari o superiore a 6 anni. Studi a etichetta aperta di due anni o più di durata includevano più di 120 pazienti trattati. In questi studi non è stata osservata alcuna significativa soppressione surrenale attribuita al flunisolide.

I potenziali effetti dell'aerosol di inalazione di aerospan e dell'aerosol di inalazione di CFC flunisolide sugli asse ipotalamo-ipofisi-surrene-surrene (HPA) sono stati studiati in 2 studi controllati da placebo e controllati attivo e 2 studi a lungo termine a lungo termine [vedi [vedi [vedi studi a lungo termine [vedi [vedi Studi clinici Negli studi controllati con placebo la capacità di aumentare la produzione di cortisolo in risposta allo stress è stata valutata dal test di stimolazione della cosyntropina (ACTH) di 60 minuti. Per i pazienti adulti e adolescenti trattati con inalazione di aerospan aerosol 80 mcg 160 mcg 320 mcg o placebo due volte al giorno per 12 settimane 92% (22/24) 93% (26/28) 93% (26/28) e 92% (22/24) dei pazienti normali rispettivamente al basale rispettivamente per avere una risposta al cortisole (26/28) e un aumento di PEMMA (26/28) e un aumento del CORTISOL (un aumento del cumma (28 mcg/28) e un aumento del Basma (un aumento di PEMMA (un aumento del CORTISOL (un aumento di PEMMA (un aumento di PEMMA (un aumento di PEMMA (un aumento di PEMMA (un aumento di PEMMA (un aumento di PEMMA (un aumento del 26/28) e un aumento del BASMA NORMAMENTE NORMATI cortisolo ≥ 7 mcg/dl entro 60 minuti dall'iniezione di cosyntropina) alla fine della prova. Tutti i pazienti avevano livelli di picco di cortisolo ≥ 18 mcg/dl. Non vi era alcuna soppressione significativa del cortisolo urinario 24 ore su 24 e il 100% (96/96) dei pazienti trattati con aerosol per inalazione di aerospan avevano livelli di cortisolo sierica normali al termine dello studio. Per i pazienti pediatrici trattati con l'inalazione di aerospan aerosol 80 mcg e 160 mcg o placebo due volte al giorno per 12 settimane 91% (31/34) 97% (28/29) e l'89% (24/27) dei pazienti hanno continuato ad avere una normale risposta al cortisolo stimolata (come definita sopra) alla fine del processo. Non è stata osservata alcuna soppressione del cortisolo urinario di 24 ore. In questi studi sono stati ottenuti risultati comparabili in pazienti trattati con aerosol per inalazione di CFC flunisolide.

Negli studi a lungo termine a lungo termine controllati attivo il 99,4% (161/162) dei pazienti adulti e adolescenti e i pazienti pediatrici del 98,4% (126/128) trattati con aerosol di inalazione di aerospan avevano livelli normali di cortisolo sierico mattutino (≥ 5 mcg/dl) dopo 12 o 52 settimane di trattamento rispettivamente. Per i pazienti trattati con inalazione di aerospan aerosol 92,5% (99/107) ha continuato ad avere una risposta al cortisolo plasmatica stimolata normale alla cosyntropina alla fine dello studio con tutti i livelli di picco del cortisolo ≥ 18mcg/dl. In questi studi non è stata osservata alcuna soppressione del cortisolo urinario 24 ore su 24 e sono stati ottenuti risultati comparabili in pazienti trattati con aerosol di inalazione di CFC flunisolide.

Farmacocinetica

Tutti i dati descritti di seguito si basano su studi condotti in soggetti dai 18 ai 51 anni.

Assorbimento

Flunisolide is rapidly absorbed after oral inhalation. Mean values for the time to maximum concentration Tmax of flunisolide range from 0.09 to 0.17 hr after a single 320 mcg dose of Aerosol per inalazione aerospan. The corresponding mean values for the maximum concentration Cmax of flunisolide vary from 1.9 to 3.3 ng/mL. Oral bioavailability is less than 7%. Over the dose range of 80 mcg to 320 mcg of Aerosol per inalazione aerospan values for Cmax increase proportionately with dose after single as well as multiple dose administration.

Distribuzione

Flunisolide is extensively distributed in the body with mean values for apparent volume of distribution ranging from 170 to 350 L after a single 320 mcg dose of Aerosol per inalazione aerospan.

Metabolismo

Flunisolide is rapidly and extensively converted to 6ß-OH flunisolide and to water-soluble conjugates during the first pass through the liver. Conversion to 6ß-OH flunisolide the only circulating metabolite detected in man is thought to occur via the cytochrome P450 enzyme system particularly the enzyme CYP3A4. 6ß-OH flunisolide has a low corticosteroid potency (ten times less potent than cortisol and more than 200 times less potent than flunisolide). Maximum levels of 6ß-OH flunisolide were 0.66 mcg/mL after a single 320 mcg dose of Aerosol per inalazione aerospan and 0.71 mcg/mL after multiple doses of Aerosol per inalazione aerospan.

Escrezione

L'escrezione urinaria del flunisolide è bassa. Meno dell'1% della dose somministrata di flunisolide viene recuperato nelle urine dopo l'inalazione. I valori di emivita per il flunisolide 6ß-OH vanno da 3,1 a 5,1 ore dopo la somministrazione di aerosol per inalazione di aerospan nell'intervallo di dose da 160 mcg a 320 mcg.

Disposizione ed eliminazione

La somministrazione di inalazione due volte al giorno di flunisolide per un massimo di 14 giorni non ha comportato un apprezzabile accumulo di flunisolide. Dopo un dosaggio multiplo con 160 mcg e 320 mcg, i valori CMAX erano rispettivamente di 1,0 ng/mL e 2,1 ng/ml. I corrispondenti valori AUC0-12HR erano 1,2 ng.hr/ml e 2,5 ng.hr/ml.

Flunisolide is rapidly cleared from the body independent of route of administration or dose administered. Flunisolide is not detectable in plasma twelve hours post-dose. After administration of 320 mcg of Aerosol per inalazione aerospan the elimination half-life ranges from 1.3 to 1.7 hours. After a single 320 mcg dose mean oral clearance values not adjusted for bioavailability range from 83 to 167 L/hr.

Popolazioni speciali

Non ci sono state differenze di genere per il flunisolide dopo la somministrazione di dose singola e multipla dell'aerosol per inalazione di aerospan. Studi farmacocinetici formali che utilizzano flunisolide non sono stati condotti in altre popolazioni speciali.

Studi clinici

L'efficacia dell'aerosol di inalazione di aerospan è stata studiata in due studi clinici a contratto di placebo paralleli e controllati attivo della durata di 12 settimane che coinvolgono più di 1250 pazienti uno in adulti e adolescenti di età pari o superiore a 12 anni e uno nei pazienti di età compresa tra 4-11 anni. Negli adulti e negli adolescenti l'efficacia è stata valutata in pazienti precedentemente trattati con corticosteroidi per inalazione. Nei bambini l'efficacia di età compresa tra 6 e 11 anni è stata valutata in pazienti precedentemente trattati con broncodilatatori da soli o inalati corticosteroidi. Entrambi gli studi hanno avuto un periodo di corsa di 2 settimane seguito da un periodo di trattamento randomizzato di 12 settimane. Durante il periodo di corsa tutti i pazienti hanno ricevuto l'inalazione di CFC di flunisolide aerosol 500 mcg due volte al giorno. I pazienti sono stati quindi randomizzati in un trattamento in doppio cieco con diverse dosi di aerosol di inalazione di aerospan o aerosol di inalazione di CFC flunisolide e monitorati per le modifiche alla funzione polmonare per vedere se mantengono stabilità migliorata o persa. La linea di base è stata valutata alla fine del periodo di corsa. L'endpoint primario era la variazione dal basale nella percentuale prevista FEV 1 Dopo 12 settimane di trattamento.

Pazienti adulti e adolescenti di età pari o superiore a 12 anni

L'efficacia è stata valutata in 669 pazienti con asma da 12 a 78 anni di età compresa 88 pazienti di età compresa tra 12-17 anni e 581 pazienti di età pari o superiore a 18 anni. Mean Fev 1 Nello screening è stato 2,44 L e medio FEV 1 Al basale è stato di 2,72 L dopo il periodo di corsa di 2 settimane. I pazienti sono stati randomizzati all'inalazione di aerospan aerosol 80 mcg 160 mcg o 320 mcg due volte al giorno di inalazione di flunisolide CFC aerosol 250 mcg 500 mcg o 1000 mcg due volte al giorno o placebo. Variazione dal basale nella percentuale prevista FEV 1 In un trattamento per oltre 12 settimane ha dimostrato che i pazienti con placebo hanno deteriorato il 4,3% rispetto al basale dopo 12 settimane di trattamento, mentre i pazienti trattati con inalazione di aerospan aerosol 160 mcg o 320 mcg due volte al giorno hanno mantenuto FEV 1 Nel corso dello studio. I risultati per il confronto con il placebo sono stati statisticamente significativi per le dosi di aerosol per inalazione di aerospan aerospan da 160 e 320 mcg (vedi Figura 1) ma non per la dose di 80 mcg. Gli endpoint secondari della portata espiratoria di picco AM AM e i sintomi dell'asma PM risvegliati notturni che richiedono un agonista β2 e, se necessario, l'uso di agonisti β2 inalati hanno mostrato differenze rispetto al basale che favoriscono l'aerosol di inalazione aerospan rispetto al placebo. L'inalazione di aerospan aerosol e il flunisolide CFC Inalazione aerosol ha dato risultati comparabili.

Figura 1

Mean change from baseline in % predicted FEV1 - Illustration

Pazienti pediatrici da 4 a 11 anni di età

Lo studio ha arruolato 583 pazienti con asma da 4 a 11 anni sebbene il parametro di efficacia primaria sia stato valutato solo nella popolazione di 513 pazienti da 6 a 11 anni. In questi pazienti il ​​FEV medio 1 Nello screening è stato previsto dell'81,2% e il FEV medio 1 Al basale dopo un periodo di corsa di due settimane è stato previsto dell'87,5%. I pazienti sono stati randomizzati all'inalazione di aerospan aerosol 80 mcg o 160 mcg due volte al giorno di inalazione di flunisolide CFC aerosol 250 mcg o 500 mcg due volte al giorno o placebo. Variazione dal basale nella percentuale prevista FEV 1 Oltre 12 settimane in pazienti di età pari o superiore a 6 anni hanno dimostrato che i pazienti con placebo hanno deteriorato il 4,0% rispetto al basale dopo 12 settimane di trattamento, mentre i pazienti trattati con inalazione di aerospan aerosol 80 mcg o 160 mcg due volte al giorno hanno mantenuto FEV 1 Nel corso dello studio. I risultati per il confronto con il placebo sono stati statisticamente significativi per le dosi da 80 mcg e 160 mcg di aerosol per inalazione di aerospan, ma non vi è stato alcun vantaggio aggiuntivo per la dose di offerta di 160 mcg oltre la dose di offerta di 80 mcg (vedere la Figura 2). L'inalazione di aerospan Aerosol e l'inalazione di CFC del flunisolide Aerosol ha dato risultati comparabili in pazienti di età pari o superiore a 6 anni.

Figura 2

Mean change from baseline in % predicted FEV1 - Illustration

Informazioni sul paziente per Aerospan HFA

Aerospan ™
(Air-oh-span)
(flunisolide) Aerosol per inalazione

Nota: solo per inalazione orale

Leggi questo opuscolo di informazioni sul paziente prima di iniziare a utilizzare l'aerosol per inalazione di Aerospan e ogni volta che si ottiene una ricarica. Potrebbero esserci nuove informazioni. Queste informazioni non prendono il posto di parlare con il proprio operatore sanitario sulla tua condizione medica o il trattamento. Se hai domande sull'inalazione di aerospan Aerosol, chiedi al tuo operatore sanitario o al farmacista.

Cos'è l'aerosol per inalazione di Aerospan?

Aerosol per inalazione aerospan is a prescription medicine used for the long-term (maintenance) treatment of asthma to control and prevent asthma symptoms in adults and children 6 years of age and older.

Aerosol per inalazione aerospan contains flunisolide which is a man-made (synthetic) corticosteroid. Corticosteroids are natural substances found in the body. Inhaled corticosteroids help reduce airway inflammation that can lead to asthma symptoms.

Se inalato regolarmente per inalazione di aerospan, aerosol aiuterà a prevenire e controllare i sintomi dell'asma.

Aerosol per inalazione aerospan is not a bronchodilator and does not treat sudden symptoms of an asthma attack such as wheezing cough shortness of breath and chest Dolore or tightness. Always use a fast-acting bronchodilator medicine (rescue inhaler) such as albuterol to treat sudden symptoms.

Chi non dovrebbe usare l'aerosol per inalazione aerospan?

Non utilizzare Aerosol per inalazione aerospan:

  • Per curare i sintomi di un improvviso attacco di asma o di uno status asmatico.
  • Se sei allergico al flunisolide o a uno qualsiasi degli ingredienti nell'inalazione di aerospan

Aerosol. Vedere la fine del volantino delle informazioni del paziente per un elenco completo di ingredienti nell'inalazione di aerospan aerosol. L'inalazione di aerospan L'aerosol non è da utilizzo nei bambini di età inferiore ai 6 anni.

Cosa dovrei dire al mio operatore sanitario prima di usare l'aerosol per inalazione di Aerospan?

Prima di utilizzare Aerospan Incalation Aerosol, racconta al tuo operatore sanitario se tu:

  • hanno o hanno avuto problemi oculari come un aumento del glaucoma o della cataratta a pressione intraoculare.
  • avere delle infezioni.
  • avere o avere tubercolosi o herpes simplex dell'occhio.
  • non sono stati o sono stati vaccinati per la varicella o il morbillo o sono stati recentemente vicino a chiunque abbia vaiolo o morbillo.
  • stanno pianificando di sottoporsi a un intervento chirurgico.
  • sono incinta o prevedono di rimanere incinta. Non è noto se l'aerosol per inalazione aerospan danneggerà il tuo bambino non ancora nato. Parla con il tuo medico se sei incinta o pianta per rimanere incinta.
  • stanno allattando o pianificano di allattare. Non è noto se l'inalazione di aerospan aerosol passa nel latte materno. Parla con il tuo operatore sanitario del modo migliore per nutrire il tuo bambino se stai usando l'aerosol per inalazione aerospan.

Di 'al tuo operatore sanitario di tutti i medicinali che prendi compresi i medicinali di prescrizione e non prescrizione vitamine e integratori a base di erbe.

Conosci tutte le medicine che prendi. Tienilo un elenco e mostralo al tuo medico e al tuo farmacista quando ottieni un nuovo medicinale.

Come dovrei usare l'aerosol per inalazione di aerospan?

  • Leggi le istruzioni per l'uso alla fine di questo opuscolo per informazioni specifiche sul modo giusto di utilizzare l'aerosol per inalazione aerospan.
  • Usa l'aerosol per inalazione aerospan esattamente come il tuo operatore sanitario ti dice di usarlo. Non farlo Prendi più della tua medicina o prendilo più spesso di quanto ti dica il tuo operatore sanitario.
  • Devi usare regolarmente il tuo aerosol per inalazione aerospan. Potrebbero essere necessarie 2 settimane o più dopo aver iniziato a usare l'aerosol per inalazione di Aerospan per migliorare i sintomi dell'asma. Chiama subito il tuo medico se i tuoi problemi di respirazione non migliorano o peggiorano. Chiama il tuo medico se i sintomi non migliorano dopo 4 settimane. Non farlo stop using Aerosol per inalazione aerospan and do not Cambia la quantità di aerosol per inalazione di aerospan che prendi senza parlare con il tuo medico. Se perdi una dose, prendi la tua prossima dose programmata quando è dovuta.
  • Un adulto dovrebbe aiutare un bambino a usare il loro aerosol per inalazione di aerospan.

Quali sono i possibili effetti collaterali dell'aerosol per inalazione di aerospan?

Aerosol per inalazione aerospan may cause serious side effects including:

  • Infezioni fungine (mughetto) in bocca o gola. Di 'al tuo medico se hai un arrossamento o toppe di colore bianco in bocca o in gola. Risciacqua la bocca dopo aver usato l'aerosol per inalazione di aerospan.
  • Problemi del sistema immunitario che possono aumentare il rischio di infezioni. È più probabile che tu riceva infezioni se assumi medicine che potrebbero indebolire il sistema immunitario. Evita il contatto con persone che hanno malattie contagiose come la varicella o il morbillo mentre si utilizza l'aerosol per inalazione di aerospan. I sintomi di un'infezione possono includere:
    • febbre
    • sentirsi stanco
    • Dolore
    • nausea
    • dolori
    • vomito
    • brividi

Dì al tuo operatore sanitario su qualsiasi segnale di infezione mentre si utilizza l'aerosol per inalazione di Aerospan.

  • Riduzione della funzione surrenale (insufficienza surrenale). L'insufficienza surrenale è una condizione in cui le ghiandole surrenali non producono abbastanza ormoni steroidei. I sintomi dell'insufficienza surrenale includono:
    • stanchezza
    • nausea
    • debolezza
    • vomito
    • vertigini
  • Riduzione della massa ossea (densità minerale ossea). Le persone che usano i medicinali steroidei inalati per lungo tempo possono avere un aumentato rischio di ridotta massa ossea che può influire sulla resistenza ossea. Parla con il tuo operatore sanitario di eventuali preoccupazioni che potresti avere sulla salute delle ossa.
  • crescita rallentata o ritardata nei bambini. La crescita di un bambino dovrebbe essere controllata regolarmente durante l'assunzione di aerosol per inalazione di aerospan.
  • Problemi con gli occhi come glaucoma e cataratta. Se hai una storia di glaucoma o cataratta o hai una storia familiare di problemi agli occhi, dovresti avere esami oculistici regolari mentre usi aerosol per inalazione aerospan.
  • Aumento del respiro sibilante (broncospasmo) Può accadere subito dopo aver usato l'aerosol per inalazione di aerospan. Smetti di usare l'aerosol per inalazione di aerospan e usa subito un broncodilatatore ad azione rapida per inalazione (inalatore di salvataggio).

Gli effetti collaterali più comuni con aerosol per inalazione di aerospan includono:

  • mal di gola (faringite)
  • Naso che cola (Rhinite)
  • mal di testa
  • sinusite
  • aumento della tosse

Dì al tuo operatore sanitario di qualsiasi effetto collaterale che ti disturba o che non scompare.

Questi non sono tutti i possibili effetti collaterali dell'aerosol per inalazione di aerospan. Per ulteriori informazioni chiedi al medico o al farmacista.

Chiama il tuo medico per consulenza medica sugli effetti collaterali. È possibile segnalare gli effetti collaterali alla FDA al numero 1-800-FDA-1088.

Come dovrei conservare l'aerosol per inalazione aerospan?

  • Conservare l'aerosol di inalazione aerospan a temperatura ambiente tra 59 ° F e 86 ° F (da 15 ° C a 30 ° C).
  • Non farlo Punture il contenitore aerosol per inalazione di aerospan.
  • Non farlo Conservare il contenitore aerosol per inalazione di aerospan vicino al calore o a una fiamma. L'esposizione alla temperatura superiore a 120 ° F (49 ° C) può causare lo scoppio del contenitore.
  • Non farlo Getta il contenitore aerosol per inalazione aerospan in un incendio o in un inceneritore.
  • Non farlo congelare aerosol per inalazione di aerospan.
  • Buttare via in modo sicuro medicine che non è più obsoleta o non più necessaria.

Mantieni l'aerosol per inalazione aerospan e tutti i medicinali fuori dalla portata dei bambini.

Informazioni generali sull'uso sicuro ed efficace dell'aerosol per inalazione di aerospan.

Le medicine sono talvolta prescritte a fini diversi da quelli elencati in un volantino delle informazioni del paziente. Non utilizzare l'aerosol per inalazione aerospan per una condizione per la quale non è stato prescritto. Non dare aerosol per inalazione aerospan ad altre persone anche se hanno gli stessi sintomi che hai. Potrebbe danneggiare loro.

Questa informazione del paziente riassume le informazioni più importanti sull'aerosol di inalazione di Aerospan. Se desideri più informazioni, parla con il tuo medico. Puoi chiedere al tuo farmacista o operatore sanitario informazioni sull'aerosol per inalazione di Aerospan che è scritto per gli operatori sanitari.

Per ulteriori informazioni, visitare www.aerospan.net

Quali sono gli ingredienti nell'inalazione di aerospan aerosol?

Ingrediente attivo: Flunisolide

Ingredienti inattivi: propellente HFA-134a ed etanolo

Istruzioni per l'uso

Aerospan ™
(Air-oh-span) (flunisolide) Aerosol per inalazione

Leggi queste istruzioni per l'uso per l'aerosol per inalazione aerospan prima di iniziare a usarlo e ogni volta che si ottiene una ricarica. Potrebbero esserci nuove informazioni. Questo opuscolo non prende il posto di parlare con il medico delle tue condizioni mediche o cure.

Le parti dell'aerosol per inalazione aerospan

Aerosol per inalazione aerospan is an inhaler unit made up of 3 parts the canister actuator and spacer. The purple inner part is called the actuator. It holds the metal canister of medicine. The gray outer part is called the spacer. It includes the mouthpiece through which you inhale the medicine (Vedere Figure A e B ).

  • Non farlo Separare l'attuatore viola dal distanziatore grigio.
  • Non farlo Usa il tuo attuatore di aerosol viola per inalazione aerospan e distanziatore grigio con qualsiasi altro contenitore.
  • Non farlo Usa attuatori di altri medicinali con il contenitore aerosol per inalazione aerospan.
  • Non farlo Usa il tuo aerosol per inalazione aerospan con altri distanziali esterni o dispositivi di detenzione.

Figura A.

The parts of your AEROSPAN Inhalation Aerosol - Illustration

Figura b

The parts of your AEROSPAN Inhalation Aerosol - Illustration

Aprire e posizionare l'aerosol per inalazione aerospan

grafico a dosaggio prednisolone 15mg/5 ml

Il tuo aerosol per inalazione aerospan deve essere aperto e posizionato prima di poterlo usare.

  • Estrarre l'attuatore viola dal distanziatore grigio. Vedrai che ci sono cuscinetti a coste ai lati del distanziatore grigio.
  • Afferra i cuscinetti delle dita a costine sui lati del distanziatore grigio con il pollice e l'indice di 1 mano (vedi Figura c ).

Figura c

Opening the aerosol - Illustration
  • Tirare delicatamente il labbro nella parte superiore dell'attuatore viola con l'altra mano (vedi Figura d ).
  • Controlla il distanziale e il bocchino per oggetti estranei.

Figura d

Gently pull on the lip - Illustration
  • Scatta il tuo aerosol per inalazione aerospan a forma L (angolo di 90 °). (Vedere Figura E. ) Il tuo aerosol per inalazione aerospan si muoverà solo in 1 direzione.

Figura E.

Snao the aerosol into L shape - Illustration
  • Controlla per assicurarti che le linee di guida sull'attuatore viola e sul distanziatore grigio corrispondano (vedi Figura f ).

Figura f

Match up the guide lines - Illustration
  • Le linee sui cuscinetti a coste del distanziatore grigio dovrebbero abbinarsi alle linee sul retro dell'attuatore viola.
  • Le linee sulla parte superiore del distanziatore grigio e l'attuatore viola dovrebbero abbinare. Assicurati che non ci sia apertura nella parte superiore dell'unità in cui l'attuatore viola e il distanziatore grigio si uniscono.
  • Il tuo aerosol per inalazione aerospan è pronto per l'uso quando le linee sono abbinate.

Innescare il tuo aerosol per inalazione aerospan per l'uso

  • Prima di usare il tuo aerosol per inalazione aerospan per la prima volta O se non hai usato la medicina per più di 2 settimane dovrai preparare (primo) il tuo aerosol per inalazione aerospan.
  • Posizionare la parte inferiore del distanziatore grigio sulla base del pollice e del dito indice sulla parte superiore del contenitore di metallo. La tua mano sarà sul lato del dispositivo (vedi Figura g ).

Figura g

Priming the aerosol - Illustration
  • Verificare che il contenitore in metallo della medicina sia inserito completamente nell'attuatore viola.
  • Scuotere l'inalatore (vedi Figura h ).

Figura h

Shake the inhaler - Illustration
  • Per evitare di spruzzare la medicina negli occhi, punta il bocchino lontano dal tuo viso.
  • Premere il contenitore in metallo della medicina 2 volte per 1 secondo ciascuno per rilasciare 2 spray di prova in aria (vedi Figura I. ).

Figura I.

Release 2 test sprays - Illustration

Usando il tuo aerosol per inalazione aerospan

Passaggio 1. Apri e posiziona il tuo aerosol per inalazione aerospan tirando fuori l'attuatore viola incorporato dal distanziale grigio e scattando in una forma L prima dell'uso (vedi istruzioni sopra e figure da A a F ).

Passaggio 2. Tieni il tuo aerosol di inalazione aerospan tra il pollice e l'indice e scuoti l'inalatore (vedi Figura j ).

Figura j

Shake the inhaler - Illustration

Passaggio 3. Stai in piedi con il collo e la testa dritta. Tieni il tuo aerosol di inalazione aerospan con il contenitore di metallo rivolto verso l'alto e il bocchino del distanziale rivolto verso di te. Posizionare il pollice sulla parte inferiore del distanziatore grigio e il dito indice sulla parte superiore del contenitore metallico (vedi Figura k ).

Figura k

Using the aerosol -

Passaggio 4. Respirare (inspira) ed espirare (espira) normalmente attraverso la bocca (vedi Figura l ).

Figura l

Breathe in (inhale) and breathe out (exhale) normally - Illustration

Passaggio 5. Dopo aver esteso fuori porta il tuo aerosol per inalazione di aerospan in bocca e tieni saldamente il bocchino tra le labbra (vedi Figura m ).

Figura m

Hold the mouthpiece firmly between your lips - Illustration

Passaggio 6. Inizia a respirare lentamente. Durante la respirazione in depressi completamente il bomboletta di metallo della medicina con il dito indice per almeno 1 secondo. Continua a respirare attraverso la bocca per altri 3 secondi. (Vedere Figura n ).

Figura n

Start breathing in slowly - Illustration

È importante iniziare a respirare attraverso la bocca proprio prima di premere sul contenitore. Questo ti aiuta a ottenere la giusta quantità di medicina.

Passaggio 7. Dopo 3 secondi rimuovi l'aerosol per inalazione di aerospan dalla bocca ma non espirare ancora. Chiudi le labbra e trattieni il respiro per almeno 10 secondi o per tutto il tempo comodo. (Vedere Figura O. ).

Figura O.

Hold your breath for at least 10 seconds - Illustration

Passaggio 8. Dopo 10 secondi di trattenere il respiro espira e poi respirare normalmente (vedi Figure P e Q ).

Figura p

Breathe out normally - Illustration


Breathe out normally - Illustration

Nota: se il medico ha prescritto 2 o più spray (inalazioni) ad ogni utilizzo, attesa 20 secondi, ripetere i passaggi da 1 a 7.

Chiudendo l'aerosol per inalazione aerospan

  • Torna l'attuatore viola in posizione dritta.
  • Spingere delicatamente l'attuatore viola nel distanziatore grigio (vedi Figura r ).

Figura r

Gently push the purple actuator back into the gray spacer - Illustration

Risciacqua la bocca accuratamente con acqua e sputala. Questo rimuove qualsiasi medicina rimanente dalla tua bocca. Potresti anche voler lavarti i denti (vedi Figura s ).

Figura s

Rinse your mouth thoroughly - Illustration

Nota: Se la tua bocca diventa dolorante o ottieni placche bianche in bocca dillo al tuo medico ma non smettere di usare il tuo inalatore a meno che il medico non ti dica di fermarti.

Sostituire l'aerosol per inalazione aerospan

  • Usa un grafico check-off per tenere traccia della quantità di medicina che hai usato. A scossa il contenitore non ti dirà quanta medicina è lasciata nell'aerosol per inalazione aerospan.
  • Se il contenitore ha 60 spray, usa il grafico del check-off Aerosol Aerosol 60 Aerosol 60.
  • Se il contenitore ha 120 spray, utilizzare il grafico di check-off di spray Aerosol 120 per inalazione Aerospan.
  • Riceverai un nuovo aerosol per inalazione aerospan ogni volta che ricarica la prescrizione. Getta via il tuo vecchio aerosol per inalazione di aerospan quando ricarichi la prescrizione.

Questa informazione e istruzioni per l'uso del paziente sono stati approvati dalla Food and Drug Administration degli Stati Uniti.

Prodotto da: sistemi di rilascio di farmaci 3M. Northridge CA 91324. Per: Acton Pharmaceuticals Inc. Marlborough MA 01752. 11/2012

Aerosol per inalazione aerospan 60 Sprays Check-Off Chart

  • Mantieni questo grafico di check-off con il tuo aerosol per inalazione aerospan.
  • Se stai usando l'inalatore per la prima volta o se non hai usato il tuo inalatore per più di 2 settimane dovrai preparare (primo) il tuo aerosol per inalazione aerospan. Seguire le istruzioni sopra fornite nell'innesco dell'aerosol per inalazione aerospan per l'uso.
  • Controlla le due P cerchiate (p = prime) come mostrato nella tabella seguente (vedi Figura 1 ).
  • Dai un'occhiata a un cerchio numerato ogni volta che usi l'inalatore. Conta ogni spray. Inizia con spray
  • Prima di raggiungere l'ultimo numero di spray contatta il tuo medico per scoprire se hai bisogno di una ricarica.
  • Getta via l'aerosol per inalazione aerospan che include l'attuatore e il distanziatore del contenitore dopo 60 spray anche se il contenitore non è vuoto. Potresti non ottenere la giusta quantità di medicine in ogni spray se si utilizza l'aerosol per inalazione aerospan dopo 60 spray.
  • Non posizionare mai il contenitore sott'acqua per scoprire la quantità di medicina ancora lasciata nel contenitore (test galleggiante).

P = primo

Spray di dosaggio

Figura 1

AEROSPAN Inhalation Aerosol 120 Sprays Check-Off Chart - Illustration

Aerosol per inalazione aerospan 120 Sprays Check-Off Chart

  • Mantieni questo grafico di check-off con il tuo aerosol per inalazione aerospan.
  • Se stai usando l'inalatore per la prima volta o se non hai usato il tuo inalatore per più di 2 settimane dovrai preparare (primo) il tuo aerosol per inalazione aerospan. Seguire le istruzioni sopra fornite nell'innesco dell'aerosol per inalazione aerospan per l'uso.
  • Controlla le due P cerchiate (P = Prime) nella tabella seguente (vedi Figura 2 ).
  • Dai un'occhiata a un cerchio numerato ogni volta che usi l'inalatore. Conta ogni spray. Inizia con spray
  • Prima di raggiungere l'ultimo numero di spray contatta il tuo medico per scoprire se hai bisogno di una ricarica.
  • Getta via l'aerosol di inalazione aerospan che include l'attuatore e il distanziatore del contenitore dopo che sono stati usati 120 spray anche se il contenitore non è vuoto. Potresti non ottenere la giusta quantità di medicine in ogni spray se si utilizza l'aerosol per inalazione aerospan dopo 120 spray.
  • Non posizionare mai il contenitore sott'acqua per scoprire la quantità di medicina ancora lasciata nel contenitore (test galleggiante).

P = primo

Spray di dosaggio

Figura 2

Dosing sprays - Illustration