Le Informazioni Presenti Sul Sito Non Costituiscono Consulenza Medica. Non Vendiamo Nulla. L'Accuratezza Della Traduzione Non È Garantita. Disclaimer
Derivati del bisfosfonato
Reclamare
Riepilogo della droga
Cos'è il reclast?
Reclast (acido zoledronico) è un bisfosfonato Utilizzato per trattare la malattia di Paget alti livelli ematici di calcio causati dal cancro (ipercalcemia del mieloma multiplo di malignità (un tipo di midollo osseo cancro) o cancro che si è diffuso da altre parti del corpo all'osso per trattare o prevenire osteoporosi nelle donne in postmenopausa e per aumentare la massa ossea negli uomini con osteoporosi. Il reclast viene anche usato per trattare o prevenire l'osteoporosi nelle persone che assumono determinati medicinali a steroidi per 12 mesi o più.
Quali sono gli effetti collaterali del reclast?
Gli effetti collaterali comuni di reclast includono:
- nausea
- stanchezza
- Sintomi simili all'influenza (ad es. Febbre brividi muscolari/dolori articolari)
- tosse
- vertigini
- mal di testa
- Problemi di visione
- diarrea
- stipsi
- dolore articolare o muscolare o
- Reazioni del sito di iniezione (gonfiore del dolore del dolore).
La maggior parte di questi effetti collaterali si verificano entro 3 giorni dal trattamento.
Dì al tuo medico se hai gravi effetti collaterali del reclast, incluso l'urinamento meno del solito o per niente; sonnolenza confusione umore Cambiamenti aumentati di sete perdita di appetito nausea e vomito aumento di peso del peso corto di respiro spasmi muscolari intorpidimento o formicolio (specialmente intorno alla bocca) Febbre brividi del corpo dolori sintomi della pelle pallida e facile Accendino grave dolore articolare/osso/muscolo nuovo o insolito nella coscia o all'anca o al broncospasmo (tenuta la tenuta del torace difficoltà a respirare).
Dosaggio per reclast
Reclast è somministrato per via endovenosa. La dose varia a seconda della condizione da trattare. Dosi raccomandate: per il trattamento dell'osteoporosi postmenopausa una singola infusione di 5 mg una volta/anno; per la prevenzione dell'osteoporosi postmenopausa 5 mg ogni due anni; Per la malattia di Paget dell'osso una singola infusione da 5 mg; per la prevenzione o il trattamento dell'osteoporosi indotta da steroidi 5 mg una volta/anno.
Quali sostanze o integratori di farmaci interagiscono con il reclast?
Il reclast può interagire con gli antibiotici diuretici (pillole d'acqua) Altri medicinali che possono danneggiare i farmaci per il cancro dei reni o farmaci antinfiammatori non steroidei (FANS). Dì al tuo medico tutti i farmaci che stai assumendo.
Reclasta durante la gravidanza e l'allattamento al seno
Il reclast non deve essere usato durante la gravidanza. Può danneggiare un feto. Non è noto se questo farmaco passi nel latte materno. L'allattamento al seno durante l'utilizzo di questo farmaco non è raccomandato. Consulta il medico prima dell'allattamento al seno.
Ulteriori informazioni
Il nostro Centro farmacologico per effetti collaterali di riclasto (acido zoledronico) fornisce una visione completa delle informazioni disponibili sui farmaci sui potenziali effetti collaterali durante l'assunzione di questo farmaco.Informazioni sui farmaci FDA
- Descrizione del farmaco
- Indicazioni
- Dosaggio
- Effetti collaterali
- Interazioni farmacologiche
- Avvertimenti
- Overdose
- Farmacologia clinica
- Guida ai farmaci
Descrizione per reclast
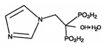
Il reclast contiene acido zoledronico un acido bifosfonico che è un inibitore del riassorbimento osseo osteoclastico. L'acido zoledronico è designato chimicamente come (1-idrossi-2-imidazol-1-il-fosfonoetil) acido fosfonico monoidrato e la sua formula strutturale è:
|
L'acido zoledronico monoidrato è una polvere cristallina bianca. La sua formula molecolare è C 5 H 10 N 2 O 7 P 2 • H 2 O e una massa molare di 290,1 g/mol. L'acido zoledronico monoidrato è altamente solubile in una soluzione di idrossido di sodio 0,1N con parsimonia solubile in acqua e acido cloridrico 0,1N e praticamente insolubile in solventi organici. Il pH della soluzione di reclast per l'infusione è di circa 6,0 - 7,0.
L'iniezione di reclama è disponibile come soluzione sterile nelle bottiglie per l'infusione endovenosa. Una bottiglia con una soluzione da 100 ml contiene 5,330 mg di acido zoledronico monoidrato equivalente a 5 mg di acido zoledronico su base anidra.
Ingredienti inattivi: 4950 mg di Mannitolo USP; e 30 mg di citrato di sodio USP.
Usi per il reclast
Trattamento dell'osteoporosi nelle donne in postmenopausa
Il reclast è indicato per il trattamento dell'osteoporosi nelle donne postmenopausa. Nelle donne in postmenopausa con osteoporosi diagnosticata dalla densità minerale ossea (BMD) o dalla frattura vertebrale prevalente riduce l'incidenza di fratture (fratture dell'anca vertebrale e non vertebrale). Nei pazienti ad alto rischio di frattura definita come un recente reclast di frattura dell'anca bassa trauma riduce l'incidenza di nuove fratture cliniche [vedi Studi clinici ].
Prevenzione dell'osteoporosi nelle donne in postmenopausa
Il reclast è indicato per la prevenzione dell'osteoporosi nelle donne postmenopausa [vedi Studi clinici ].
Osteoporosi negli uomini
Il reclast è indicato per il trattamento per aumentare la massa ossea negli uomini con osteoporosi [vedi Studi clinici ].
Osteoporosi indotta da glucocorticoidi
Il reclast è indicato per il trattamento e la prevenzione dell'osteoporosi indotta da glucocorticoidi negli uomini e nelle donne che iniziano o continuano i glucocorticoidi sistemici in un dosaggio quotidiano equivalente a 7,5 mg o più di prednisone e che dovrebbero rimanere in glucocorticoidi per almeno 12 mesi [vedi Studi clinici ].
La malattia da osso di Paget
Il reclast è indicato per il trattamento della malattia dell'osso di Paget negli uomini e nelle donne. Il trattamento è indicato nei pazienti con malattia ossea di Paget con aumenti della fosfatasi alcalina sierica di due volte o superiore al limite superiore della gamma di riferimento normale specifica per età o di coloro che sono sintomatici o quelli a rischio di complicanze dalla loro malattia [vedi Studi clinici ].
Importanti limiti di utilizzo
La sicurezza e l'efficacia dei riclasti per il trattamento dell'osteoporosi si basa su dati clinici di tre anni. La durata ottimale dell'uso non è stata determinata. Tutti i pazienti in terapia con bifosfonato dovrebbero avere la necessità di una terapia continua rivalutata su base periodica. I pazienti a basso rischio per frattura devono essere considerati per l'interruzione del farmaco dopo 3-5 anni di utilizzo. I pazienti che interrompono la terapia dovrebbero avere il rischio di rivalutazione della frattura periodicamente.
Dosaggio per reclast
Importanti istruzioni di amministrazione
L'iniezione di riclasta deve essere somministrata come infusione endovenosa per non meno di 15 minuti.
- I pazienti devono essere adeguatamente idratati prima della somministrazione di reclast [vedi Avvertimenti e precauzioni ].
- I prodotti farmaceutici parenterali devono essere ispezionati visivamente per il particolato e lo scolorimento prima della somministrazione ogni volta che la soluzione e il permesso del contenitore.
- L'infusione per via endovenosa dovrebbe essere seguita da un colore salino normale da 10 ml della linea endovenosa.
- La somministrazione di paracetamolo dopo la somministrazione di reclast può ridurre l'incidenza dei sintomi di reazione in fase acuta.
Trattamento dell'osteoporosi nelle donne in postmenopausa
Il regime raccomandato è un'infusione di 5 mg una volta all'anno somministrato per via endovenosa per non meno di 15 minuti.
Prevenzione dell'osteoporosi nelle donne in postmenopausa
Il regime raccomandato è un'infusione di 5 mg data una volta ogni 2 anni per via endovenosa per non meno di 15 minuti.
Osteoporosi negli uomini
Il regime raccomandato è un'infusione di 5 mg una volta all'anno somministrato per via endovenosa per non meno di 15 minuti.
Trattamento e prevenzione dell'osteoporosi indotta da glucocorticoidi
Il regime raccomandato è un'infusione di 5 mg una volta all'anno somministrato per via endovenosa per non meno di 15 minuti.
Trattamento della malattia dell'osso di Paget
La dose raccomandata è un'infusione di 5 mg. Il tempo di infusione non deve essere inferiore a 15 minuti somministrati su una velocità di infusione costante.
Re-trattamento della malattia di Paget
Dopo un singolo trattamento con reclast nella malattia di Paget si osserva un lungo periodo di remissione. Non sono disponibili dati di re-trattamento specifici. Tuttavia, il ri-trattamento con Reclast può essere considerato nei pazienti che si sono ricaduti in base ad aumenti di fosfatasi alcalina sierica o in quei pazienti che non sono riusciti a raggiungere la normalizzazione della loro fosfatasi alcalina sierica o in quei pazienti con sintomi come dettato dalla pratica medica.
Test di laboratorio ed esame orale prima dell'amministrazione
- Prima della somministrazione di ciascuna dose di reclast, ottenere una creatinina sierica e la clearance della creatinina deve essere calcolata in base al peso corporeo effettivo usando la formula Cockcroft-Gault prima di ogni dose di reclamo. Il reclast è controindicato nei pazienti con clearance della creatinina inferiore a 35 ml/min e in quelli con evidenza di compromissione renale acuta. È raccomandata una dose di 5 mg di riclasti somministrata per via endovenosa per i pazienti con clearance della creatinina maggiore o uguale a 35 ml/min. Non ci sono dati sulla sicurezza o sull'efficacia per supportare la regolazione della dose di reclast in base alla funzione renale di base. Pertanto non è richiesto alcun regolazione della dose in pazienti con CRCl maggiore o uguale a 35 ml/min [vedi Controindicazioni Avvertimenti e precauzioni ].
- Un esame orale di routine dovrebbe essere eseguito dal prescrittore prima dell'inizio del trattamento di reclast [vedi Avvertimenti e precauzioni ].
Integrazione di calcio e vitamina D
- Indiicare ai pazienti trattati per la malattia dell'osso di Paget sull'importanza della supplementazione di calcio e vitamina D nel mantenimento dei livelli sierici di calcio e sui sintomi dell'ipocalcemia. Tutti i pazienti devono assumere 1500 mg di calcio elementare ogni giorno a dosi divise (750 mg due volte al giorno o 500 mg tre volte al giorno) e 800 unità internazionali vitamina D ogni giorno, in particolare nelle 2 settimane successive alla somministrazione di reclami [vedi Avvertimenti e precauzioni ].
- Indiicare ai pazienti che vengono trattati per l'osteoporosi per assumere calcio supplementare e vitamina D se il loro apporto dietetico è inadeguato. Si raccomanda una media di almeno 1200 mg di calcio e 800-1000 unità internazionali di vitamina D.
Metodo di somministrazione
Il tempo di infusione di riclasti non deve essere inferiore a 15 minuti somministrati su un tasso di infusione costante.
L'i.v. L'infusione dovrebbe essere seguita da un vaso salino normale da 10 ml della linea endovenosa.
La soluzione di riclasta per l'infusione non deve essere lasciata a contatto con alcun calcio o altre soluzioni di livello catione di bilancia e deve essere somministrata come una singola soluzione endovenosa attraverso una linea di infusione ventilata separata.
Se refrigerato consenti alla soluzione refrigerata di raggiungere la temperatura ambiente prima della somministrazione. Dopo aver aperto la soluzione è stabile per 24 ore a 2 ° C-8 ° C (36 ° F-46 ° F) [vedi Come fornito ].
Come fornito
Dosaggio Forms UNd Strengths
5 mg in una soluzione da 100 ml pronta per infondere.
Archiviazione e maneggevolezza
Ogni bottiglia contiene 5 mg per 100 ml. Ndc 0078-0435-61
Gestione
Dopo aver aperto la soluzione, è stabile per 24 ore a 2 ° C a 8 ° C (36 ° F-46 ° F).
Se refrigerato consenti alla soluzione refrigerata di raggiungere la temperatura ambiente prima della somministrazione.
Magazzinaggio
Conservare a 25 ° C (77 ° F); Escursioni consentite a 15 ° C a 30 ° C (59 ° F-86 ° F) [vedi temperatura ambiente controllata da USP].
Distribuito da: Novartis Pharmaceuticals Corporation East Hannover New Jersey 07936. Revisionato: aprile 2020
Effetti collaterali for Reclamare
Esperienza di studi clinici
Poiché gli studi clinici sono condotti in condizioni di reazione avverse ampiamente variabili osservate negli studi clinici di un farmaco non possono essere paragonati direttamente ai tassi negli studi clinici di un altro farmaco e potrebbero non riflettere i tassi osservati nella pratica.
Trattamento dell'osteoporosi nelle donne in postmenopausa
La sicurezza del reclast nel trattamento dell'osteoporosi postmenopausa è stata valutata nello studio 1 Un grande studio multinazionale randomizzato in doppio cieco controllato con placebo su 7736 donne postmenopausali di età compresa tra 65 e 89 anni con osteoporosi diagnosticata dalla densità minerale ossea o dalla presenza di una piatta da vertebrale prevalente. La durata dello studio è stata di tre anni con 3862 pazienti esposti a reclast e 3852 pazienti esposti al placebo somministrato una volta all'anno come una singola dose di 5 mg in una soluzione da 100 ml infusa per almeno 15 minuti per un totale di tre dosi. Tutte le donne hanno ricevuto da 1000 a 1500 mg di calcio elementare più da 400 a 1200 unità internazionali di integrazione di vitamina D al giorno.
L'incidenza della mortalità per tutte le cause era simile tra i gruppi: 3,4% nel gruppo di riclasti e 2,9% nel gruppo placebo. L'incidenza di eventi avversi gravi è stata del 29,2% nel gruppo di reclami e del 30,1% nel gruppo placebo. La percentuale di pazienti che si sono ritirati dallo studio a causa di eventi avversi è stata rispettivamente del 5,4% e del 4,8% per i gruppi di reclast e placebo.
La sicurezza dei reclami nel trattamento dei pazienti con osteoporosi con una frattura di anca bassa trauma recente (entro 90 giorni) è stata valutata nello studio 2 Uno studio randomizzato in doppio cieco controllato da placebo controllato dall'endpoint multinazionale su 2127 uomini e donne di età compresa tra 50 e 95 anni; 1065 pazienti sono stati randomizzati a reclamare e 1062 pazienti sono stati randomizzati al placebo. Il reclast è stato somministrato una volta all'anno come una singola dose di 5 mg in una soluzione da 100 ml infusa per almeno 15 minuti. Lo studio ha continuato fino a quando almeno 211 pazienti avevano una frattura clinica confermata nella popolazione dello studio che è stata seguita per una media di circa 2 anni di farmaco in studio. I livelli di vitamina D non sono stati abitualmente misurati, ma è stata somministrata una dose di carico di vitamina D (50000 a 125000 unità internazionali per via orale o IM) ai pazienti e sono stati avviati con 1000 a 1500 mg di calcio elementare più 800-1200 unità internazionali di integrazione di vitamina D al giorno per giorno per almeno 14 giorni prima delle infusioni farmacologiche dello studio.
L'incidenza della mortalità per tutte le cause è stata del 9,6% nel gruppo di riclasti e del 13,3% nel gruppo placebo. L'incidenza di gravi eventi avversi è stata del 38,3% nel gruppo di riclasti e del 41,3% nel gruppo placebo. La percentuale di pazienti che si sono ritirati dallo studio a causa di eventi avversi è stata rispettivamente del 5,3% e del 4,7% per i gruppi di reclast e placebo.
Le reazioni avverse riportate in almeno il 2% dei pazienti con osteoporosi e più frequentemente nei pazienti trattati con reclast rispetto ai pazienti trattati con placebo in entrambi gli studi di osteoporosi sono mostrate di seguito nella Tabella 1.
Tabella 1. Reazioni avverse che si verificano in maggiore o uguale al 2,0% dei pazienti con osteoporosi e più frequentemente rispetto ai pazienti trattati con placebo
| Classe di organi di sistema | Studio 1 | Studio 2 | ||
| 5 mg IV Reclast una volta all'anno % (N = 3862) | Placebo una volta all'anno % (N = 3852) | 5 mg IV Reclast una volta all'anno % (N = 1054) | Placebo una volta all'anno % (N = 1057) | |
| Sangue e disturbi del sistema linfatico | ||||
| 4.4 | 3.6 | 5.3 | 5.2 | |
| Metabolismo e disturbi nutrizionali | ||||
| 0.6 | 0.6 | 2.5 | 2.3 | |
| 2.0 | 1.1 | 1.0 | 1.0 | |
| Disturbi del sistema nervoso | ||||
| 12.4 | 8.1 | 3.9 | 2.5 | |
| 7.6 | 6.7 | 2.0 | 4.0 | |
| Disturbi dell'orecchio e del labirinto | ||||
| 4.3 | 4.0 | 1.3 | 1.7 | |
| Disturbi cardiaci | ||||
| 2.4 | 1.9 | 2.8 | 2.6 | |
| Disturbi vascolari | ||||
| 12.7 | 12.4 | 6.8 | 5.4 | |
| Disturbi gastrointestinali | ||||
| 8.5 | 5.2 | 4.5 | 4.5 | |
| 6.0 | 5.6 | 5.2 | 4.7 | |
| 4.6 | 3.2 | 3.4 | 3.4 | |
| 4.6 | 3.1 | 0.9 | 1.5 | |
| 4.3 | 4.0 | 1.7 | 1.6 | |
| Disturbi del tessuto connettivo muscoloscheletrico e osseo | ||||
| 23.8 | 20.4 | 17.9 | 18.3 | |
| 11.7 | 3.7 | 4.9 | 2.7 | |
| 11.3 | 9.9 | 5.9 | 4.8 | |
| 6.9 | 5.6 | 0.0 | 0.0 | |
| 5.8 | 2.3 | 3.2 | 1.0 | |
| 4.4 | 3.8 | 1.4 | 1.1 | |
| 3.7 | 3.4 | 1.5 | 1.7 | |
| 9.1 | 9.7 | 5.7 | 4.5 | |
| 0.4 | 0.3 | 3.1 | 1.2 | |
| Disturbi generali e condizioni del sito amministrativo | ||||
| 17.9 | 4.6 | 8.7 | 3.1 | |
| 8.8 | 2.7 | 0.8 | 0.4 | |
| 5.4 | 3.5 | 2.1 | 1.2 | |
| 5.4 | 1.0 | 1.5 | 0.5 | |
| 5.3 | 2.9 | 3.2 | 3.0 | |
| 4.6 | 4.2 | 5.5 | 5.3 | |
| 3.3 | 1.3 | 1.5 | 0.5 | |
| 2.0 | 1.0 | 1.1 | 0.5 | |
| 0.3 | <0.1 | 2.3 | 0.3 | |
| 1.3 | 1.1 | 2.4 | 1.8 | |
| Indagini | ||||
| 2.0 | 2.4 | 2.1 | 1.7 |
Compromissione renale
Il trattamento con bifosfonati endovenosi, incluso l'acido zoledronico, è stato associato a compromissione renale manifestata come deterioramento della funzione renale (cioè aumento della creatinina sierica) e in rari casi di insufficienza renale acuta. Nello studio clinico per i pazienti con osteoporosi postmenopausa con clearance di creatinina basale inferiore a 30 ml/min (basato sul peso corporeo effettivo) dell'iratto maggiore o uguale a 2 proteine o aumento della creatinina sierica superiore a 0,5 mg/dL durante le visite di screening sono state escluse. Il cambiamento nella clearance della creatinina (misurata ogni anno prima del dosaggio) e l'incidenza di insufficienza renale e compromissione era comparabile sia per i gruppi di trattamento di reclast che per il placebo per 3 anni, compresi i pazienti con clearance della creatinina tra 30-60 ml/min al basale. Complessivamente si è verificato un aumento transitorio della creatinina sierica entro 10 giorni dal dosaggio nell'1,8% dei pazienti trattati con reclast rispetto allo 0,8% dei pazienti trattati con placebo che hanno risolto senza terapia specifica [vedi Avvertimenti e precauzioni ].
Reazione di fase acuta
I segni e i sintomi della reazione di fase acuta si sono verificati nello Studio 1 in seguito all'infusione di reclast, tra cui la febbre (18%) di mialgia (9%) sintomi simil-influenzali (8%) di mal di testa (7%) e artralgia (7%). La maggior parte di questi sintomi si è verificata entro i primi 3 giorni dopo la dose di riclasta e di solito si è risolta entro 3 giorni dall'esordio, ma la risoluzione potrebbe richiedere fino a 7-14 giorni. Nello studio 2 pazienti senza controindicazione per il paracetamolo è stata fornita una dose orale standard al momento dell'infusione IV e incaricati di utilizzare il paracetamolo aggiuntivo a casa per le successive 72 ore, se necessario. Il reclast è stato associato a meno segni e sintomi di una reazione di fase acuta transitoria in questo studio: febbre (7%) e artralgia (3%). L'incidenza di questi sintomi è diminuita con le successive dosi di reclast.
Risultati di laboratorio
Nello studio 1 nelle donne con osteoporosi postmenopausa circa lo 0,2% dei pazienti presentava notevoli calo dei livelli sierici di calcio (meno di 7,5 mg/dL) dopo la somministrazione di reclami. Non sono stati osservati casi sintomatici di ipocalcemia. Nello studio 2 in seguito al pretrattamento con vitamina D, nessun paziente ha avuto livelli sierici emergenti di calcio al di sotto di 7,5 mg/dL.
Reazioni del sito di iniezione
Negli studi sull'osteoporosi sono state riportate reazioni locali nel sito di infusione come il rossore e/o il dolore sono stati riportati nello 0% allo 0,7% dei pazienti a seguito della somministrazione di reclast e 0% allo 0,5% dei pazienti a seguito della somministrazione di placebo.
Osteonecrosi della mascella
Nello studio di studio dell'osteoporosi postmenopausa 1 in 7736 pazienti dopo l'inizio dei sintomi terapeutici coerenti con ONJ si è verificato in un paziente trattato con placebo e un paziente trattato con reclast. Entrambi i casi si sono risolti dopo un trattamento appropriato [vedi Avvertimenti e precauzioni ]. NO reports of osteonecrosis of the jaw were reported in either treatment group in Studio 2.
Fibrillazione atriale
Nello studio dello studio dell'osteoporosi postmenopausa 1 ha giudicato gravi eventi avversi di fibrillazione atriale nel gruppo di trattamento dell'acido zoledronico si sono verificati nell'1,3% dei pazienti (50 su 3862) rispetto allo 0,4% (17 su 3852) nel gruppo placebo. L'incidenza complessiva di tutti gli eventi avversi della fibrillazione atriale nel gruppo di trattamento dell'acido zoledronico è stata riportata nel 2,5% dei pazienti (96 su 3862) nel gruppo di riclasta contro l'1,9% dei pazienti (75 su 3852) nel gruppo placebo. Oltre il 90% di questi eventi in entrambi i gruppi di trattamento si è verificato più di un mese dopo l'infusione. In un ECG sotto studio, le misurazioni ECG sono state eseguite su un sottoinsieme di 559 pazienti prima e da 9 a 11 giorni dopo il trattamento. Non vi era alcuna differenza nell'incidenza della fibrillazione atriale tra i gruppi di trattamento che suggerisce che questi eventi non erano correlati alle infusioni acute. Nello studio 2 ha giudicato gravi eventi avversi di fibrillazione atriale nel gruppo di trattamento dell'acido zoledronico si sono verificati nell'1,0% dei pazienti (11 su 1054) rispetto all'1,2% (13 su 1057) nel gruppo placebo non dimostrando alcuna differenza tra i gruppi di trattamento.
Eventi avversi oculari
Casi di irite/uveite/epislerite/congiuntivite sono stati riportati in pazienti trattati con bifosfonati incluso l'acido zoledronico. Negli studi di osteoporosi 1 (meno dello 0,1%) a 9 (NULL,2%) pazienti trattati con reclast e 0 (0%) a 1 (meno dello 0,1%) pazienti trattati con placebo sviluppato irite/uveite/epislerite.
Prevenzione dell'osteoporosi nelle donne in postmenopausa
La sicurezza dei reclami nelle donne in postmenopausa con osteopenia (massa ossea bassa) è stata valutata in uno studio a doppio cieco multicentrico randomizzato a 2 anni di 581 donne in postmenopausa invecchiate più o uguali a 45 anni. I pazienti sono stati randomizzati in uno dei tre gruppi di trattamento: (1) Reclast sommato a randomizzazione e mese 12 (n = 198); (2) reclast indicato a randomizzazione e placebo al mese 12 (n = 181); e (3) placebo somministrato a randomizzazione e mese 12 (n = 202). Il reclast è stato somministrato come una singola dose di 5 mg in una soluzione da 100 ml infusa per almeno 15 minuti. Tutte le donne hanno ricevuto da 500 a 1200 mg di calcio elementare più da 400 a 800 unità internazionali Supplementazione di vitamina D al giorno.
L'incidenza di eventi avversi gravi era simile per i soggetti riportati (1) reclami alla randomizzazione e al mese 12 (NULL,6%) (2) reclamare a randomizzazione e placebo somministrato al mese 12 (NULL,4%) e (3) placebo alla randomizzazione e al mese 12 (NULL,4%). Le percentuali di pazienti che si sono ritirati dallo studio a causa di eventi avversi sono state rispettivamente del 7,1% del 7,2% e del 3,0% nei due gruppi di reclast e nel gruppo placebo. Le reazioni avverse riportate in almeno il 2% dei pazienti con osteopenia e più frequentemente nei pazienti trattati con reclast rispetto ai pazienti trattati con placebo sono mostrate nella Tabella 2.
Tabella 2. Reazioni avverse che si verificano in maggiore o uguale al 2% dei pazienti con osteopenia e più frequentemente rispetto ai pazienti trattati con placebo
| Classe di organi di sistema | 5 mg IV Reclast una volta all'anno % (n = 198) | 5 mg IV Reclast una volta % (n = 181) | Placebo una volta all'anno % (n = 202) |
| Metabolismo e disturbi nutrizionali | |||
| 2.0 | 0.6 | 0.0 | |
| Disturbi del sistema nervoso | |||
| 14.6 | 20.4 | 11.4 | |
| 7.6 | 6.1 | 3.5 | |
| 5.6 | 2.2 | 2.0 | |
| Disturbi dell'orecchio e del labirinto | |||
| 2.0 | 1.7 | 1.0 | |
| Disturbi vascolari | |||
| 5.1 | 8.3 | 6.9 | |
| Disturbi gastrointestinali | |||
| 17.7 | 11.6 | 7.9 | |
| 8.1 | 6.6 | 7.9 | |
| 7.6 | 5.0 | 4.5 | |
| 7.1 | 6.6 | 5.0 | |
| 8.6 | 6.6 | 7.9 | |
| 6.6 | 7.2 | 6.9 | |
| 2.0 | 1.1 | 0.5 | |
| 2.0 | 0.6 | 0.0 | |
| Disturbi della pelle e dei tessuti sottocutanei | |||
| 3.0 | 2.2 | 2.5 | |
| Disturbi del tessuto muscoloscheletrico e connettivo | |||
| 27.3 | 18.8 | 19.3 | |
| 19.2 | 22.7 | 6.9 | |
| 18.2 | 16.6 | 11.9 | |
| in extremity | 11.1 | 16.0 | 9.9 |
| 5.6 | 2.8 | 5.0 | |
| 8.1 | 7.2 | 7.9 | |
| 5.1 | 3.3 | 1.0 | |
| 5.1 | 6.6 | 5.0 | |
| 4.0 | 2.2 | 1.5 | |
| 3.5 | 1.1 | 2.0 | |
| 3.0 | 0.6 | 0.0 | |
| 2.0 | 0.6 | 0.0 | |
| in jaw | 2.0 | 3.9 | 2.5 |
| Disturbi generali e condizioni del sito di amministrazione | |||
| 24.2 | 14.9 | 3.5 | |
| 21.7 | 21.0 | 4.5 | |
| 18.2 | 18.2 | 3.0 | |
| 14.6 | 9.9 | 4.0 | |
| 6.1 | 2.8 | 1.0 | |
| 5.6 | 3.9 | 3.5 | |
| 3.5 | 7.7 | 3.0 | |
| 1.5 | 3.3 | 2.0 | |
| 1.0 | 2.2 | 0.5 | |
| * Dolore addominale combinato Dolore addominale Upper e dolore addominale inferiore a un ADR ** Dolore muscoloscheletrico combinato e dolore al torace muscoloscheletrico come un ADR |
Eventi avversi oculari
Casi di irite/uveite/epislerite/congiuntivite sono stati riportati in pazienti trattati con bifosfonati incluso l'acido zoledronico. Nello studio di prevenzione dell'osteoporosi 4 (NULL,1%) pazienti trattati con reclast e 0 (0%) pazienti trattati con placebo hanno sviluppato irite/uveite.
Reazione di fase acuta
Nei pazienti somministrati reclast a randomizzazione e placebo al mese 12 reclast era associato a segni e sintomi di una reazione di fase acuta: mialgia (NULL,4%) febbre (NULL,3%) brividi (NULL,2%) dolore (NULL,8%) mal di testa (NULL,3%) fatica (NULL,3%) artralgia (NULL,1%) dolori di influte (NULL,9%). (NULL,7%) che si sono verificati entro i primi 3 giorni dopo la dose di reclast. La maggior parte di questi sintomi era da lieve a moderata e risolta entro 3 giorni dall'inizio dell'evento, ma la risoluzione potrebbe richiedere fino a 7-14 giorni.
Osteoporosi negli uomini
La sicurezza dei riclasti negli uomini con osteoporosi o osteoporosi secondaria all'ipogonadismo è stata valutata in uno studio di gruppo attivo attivo attivo multicentrico randomizzato in doppio cieco di due anni di età compresa tra 25 e 86 anni. Centocinquantatre (153) pazienti sono stati esposti al reclast somministrato una volta all'anno con una dose di 5 mg in 100 ml di infuso in 15 minuti per un totale di due dosi e 148 pazienti sono stati esposti a un bisfosfonato settimanale orale disponibile commerciale (controllo attivo) per un massimo di due anni. Tutti i partecipanti hanno ricevuto 1000 mg di calcio elementare più da 800 a 1000 unità internazionali di supplementazione di vitamina D al giorno.
L'incidenza della mortalità per tutte le cause (uno in ciascun gruppo) e gli eventi avversi gravi erano simili tra i gruppi di trattamento di controllo e controllo attivo. La percentuale di pazienti che viveva almeno un evento avverso era comparabile tra i gruppi di controllo di reclast e attivi, ad eccezione di una maggiore incidenza di sintomi post-dose nel gruppo di reclami verificatisi entro 3 giorni dall'infusione. La sicurezza generale e la tollerabilità del reclast erano simili al controllo attivo.
Reazioni avverse riportate in almeno il 2% degli uomini con osteoporosi e più frequentemente nei pazienti trattati con reclast rispetto ai pazienti trattati con controllo attivo e (1) non riportati nella tabella 3, pertanto, la Tabella 3 dovrebbe essere visualizzata nella tabella 3.
Tabella 3: reazioni avverse che si verificano in maggiore o uguale al 2% degli uomini con osteoporosi e più frequentemente nei pazienti trattati con reclast rispetto ai pazienti trattati con controllo attivo e (1) non riportati nello studio del trattamento dell'osteoporosi postmenopausa o (2) riportati più frequentemente in questo studio
| Classe di organi di sistema | 5 mg IV Reclast una volta all'anno % (N = 153) | Controllo attivo una volta alla settimana % (N = 148) |
| Disturbi del sistema nervoso | ||
| 15.0 | 6.1 | |
| 3.3 | 1.4 | |
| Disturbi degli occhi | ||
| 2.0 | 0.0 | |
| Disturbi cardiaci | ||
| 3.3 | 2.0 | |
| 2.6 | 0.0 | |
| Disturbi toracici e mediastinali respiratori | ||
| 6.5 | 4.7 | |
| 7.9 | 4.1 | |
| Disturbi della pelle e dei tessuti sottocutanei | ||
| 2.6 | 2.0 | |
| Disturbi del tessuto connettivo muscoloscheletrico e osseo | ||
| 19.6 | 6.8 | |
| 12.4 | 10.8 | |
| 4.6 | 0.0 | |
| Disturbi renali e urinari | ||
| 2.0 | 0.7 | |
| Disturbi generali e condizioni del sito amministrativo | ||
| 17.6 | 6.1 | |
| 11.8 | 4.1 | |
| 9.8 | 2.7 | |
| 9.2 | 2.0 | |
| 7.2 | 0.7 | |
| 3.9 | 0.0 | |
| Indagini | ||
| 4.6 | 1.4 | |
| * Dolore addominale combinato Dolore addominale Upper e dolore addominale inferiore a un ADR ** Dolore muscoloscheletrico combinato e dolore al torace muscoloscheletrico come un ADR |
Compromissione renale
L'autorizzazione della creatinina è stata misurata ogni anno prima del dosaggio e le variazioni della funzione renale a lungo termine per 24 mesi erano comparabili nei gruppi di controllo attivo e attivo [vedi Avvertimenti e precauzioni ].
Reazione di fase acuta
Il reclast è stato associato a segni e sintomi di una reazione di fase acuta: mialgia (NULL,1%) febbre (NULL,7%) fatica (NULL,4%) artralgia (NULL,1%) dolore (NULL,5%) brividi (NULL,8%) mal di testa (NULL,8%) influente di influente (NULL,5%) Malaise (NULL,2%) e dolori del 3,3%). Reclamare. La maggior parte di questi sintomi era da lieve a moderata e risolta entro 3 giorni dall'inizio dell'evento, ma la risoluzione potrebbe richiedere fino a 7-14 giorni. L'incidenza di questi sintomi è diminuita con le successive dosi di reclast.
Fibrillazione atriale
L'incidenza di tutti gli eventi avversi della fibrillazione atriale nel gruppo di trattamento di reclast è stata del 3,3% (5 su 153) rispetto al 2,0% (3 su 148) nel gruppo di controllo attivo. Tuttavia, non c'erano pazienti con eventi avversi gravi giudicati di fibrillazione atriale nel gruppo di trattamento di reclast.
Risultati di laboratorio
Non c'erano pazienti che avevano un trattamento di livelli sierici di calcio emergenti inferiori a 7,5 mg/dL.
Reazioni del sito di iniezione
C'erano 4 pazienti (NULL,6%) su reclast vs. 2 pazienti (NULL,4%) sul controllo attivo con le reazioni del sito locale.
Osteonecrosi della mascella
In questo studio non c'erano casi di osteonecrosi della mascella [vedi Avvertimenti e precauzioni ].
Osteoporosi indotta da glucocorticoidi
La sicurezza del reclast negli uomini e nelle donne nel trattamento e nella prevenzione dell'osteoporosi indotta da glucocorticoidi è stata valutata in uno studio stratificato controllato attivo attivo multicentrico randomizzato di 833 uomini e donne di età compresa tra 18 e 85 anni trattati con maggiore o uguale a 7,5 mg/giorno di prednisone orale (o equivalente). I pazienti sono stati stratificati in base alla durata della loro terapia corticosteroidi pre-studio: meno o uguale a 3 mesi prima della randomizzazione (sottopopolazione della prevenzione) e superiore a 3 mesi prima della randomizzazione (sottopopolazione del trattamento).
The duration of the trial was one year with 416 patients exposed to Reclast administered once as a single 5 mg dose in 100 mL infused over 15 minutes and 417 patients exposed to a commercially-available oral daily bisphosphonate (active control) for one year. Tutti i partecipanti hanno ricevuto 1000 mg di calcio elementare più da 400 a 1000 unità internazionali di supplementazione di vitamina D al giorno.
L'incidenza della mortalità per tutte le cause era simile tra i gruppi di trattamento: 0,9% nel gruppo di riclasti e 0,7% nel gruppo di controllo attivo. L'incidenza di eventi avversi gravi era simile tra i gruppi di trattamento e prevenzione del reclast rispettivamente 18,4% e 18,1% e rispettivamente i gruppi di trattamento e prevenzione del controllo attivo del 19,8% e del 16,0%. La percentuale di soggetti che si sono ritirati dallo studio a causa di eventi avversi è stata del 2,2% nel gruppo di riclasti rispetto all'1,4% nel gruppo di controllo attivo. La sicurezza complessiva e la tollerabilità erano simili tra i gruppi di controllo di reclast e attivi, ad eccezione di una maggiore incidenza di sintomi post-dose nel gruppo di reclast che si è verificato entro 3 giorni dall'infusione. Il profilo generale di sicurezza e tollerabilità del reclast nell'osteoporosi indotta da glucocorticoidi era simile agli eventi avversi riportati nello studio clinico dell'osteoporosi postmenopausa.
Reazioni avverse riportate in almeno il 2%dei pazienti che non sono stati riportati nello studio del trattamento dell'osteoporosi postmenopausa o riportate più frequentemente nel trattamento e nella prevenzione dell'osteoporosi indotta da glucocorticoidi (Studio del 3,1%; Altri eventi muscoloscheletrici includevano il dolore alla schiena (reclast 4,3% di controllo attivo 6,2%) del dolore osseo (reclast 3,1% di controllo attivo 2,2%) e dolore all'estremità (controllo attivo del 3,1% (reclast 3,1% 1,2%). Inoltre, i seguenti eventi avversi si sono verificati più frequentemente rispetto allo studio dell'osteoporosi postmenopausa: nausea (reclast 9,6%; controllo attivo 8,4%) e dispepsia (reclast 5,5%; controllo attivo 4,3%).
Compromissione renale
La funzione renale misurata prima del dosaggio e alla fine dello studio di 12 mesi era comparabile nei gruppi di controllo attivo e attivo [vedi Avvertimenti e precauzioni ].
Reazione di fase acuta
Il reclast era associato a segni e sintomi di una reazione di fase acuta transitoria che era simile a quella osservata nello studio clinico dell'osteoporosi postmenopausa.
Fibrillazione atriale
L'incidenza di eventi avversi atriale di fibrillazione è stata dello 0,7% (3 di 416) nel gruppo di reclast rispetto a nessun eventi avversi nel gruppo di controllo attivo. Tutti i soggetti avevano una precedente storia di fibrillazione atriale e nessun casi è stato giudicato come eventi avversi gravi. Un paziente aveva un flutter atriale nel gruppo di controllo attivo.
Risultati di laboratorio
Non c'erano pazienti che avevano un trattamento di livelli sierici di calcio emergenti inferiori a 7,5 mg/dL.
Reazioni del sito di iniezione
Non c'erano reazioni locali nel sito di infusione.
Osteonecrosi della mascella
In questo studio non c'erano casi di osteonecrosi della mascella [vedi Avvertimenti e precauzioni ].
La malattia da osso di Paget
Negli studi sulla malattia di Paget due studi multinazionali comparativi in doppio cieco a 6 mesi su 349 uomini e donne di età superiore ai 30 anni con malattia da moderata a grave e con la malattia di Paget confermata di ossei di 177 pazienti sono stati esposti a reclast e 172 pazienti esposti a risorroni. Il reclast è stato somministrato una volta come una singola dose di 5 mg in una soluzione da 100 ml infusa per almeno 15 minuti. Il risedronato è stato somministrato come una dose giornaliera orale di 30 mg per 2 mesi.
L'incidenza di eventi avversi gravi è stata del 5,1% nel gruppo di riclasti e del 6,4% nel gruppo di risedronato. La percentuale di pazienti che si sono ritirati dallo studio a causa di eventi avversi è stata rispettivamente dell'1,7% e dell'1,2% per i gruppi di riclasti e risedronato.
Adverse reactions occurring in at least 2% of the Paget’s patients receiving Reclast (single 5 mg intravenous infusion) or risedronate (30 mg oral daily dose for 2 months) over a 6-month study period are listed by system organ class in Table 4.
Tabella 4. Reazioni avverse riportate in almeno il 2% dei pazienti di Paget che ricevono reclast (singolo 5 mg di infusione endovenosa) o risedronato (30 mg orali al giorno per 2 mesi) in un periodo di follow-up di 6 mesi
| Classe di organi di sistema | 5 mg IV Reclast % (N = 177) | 30 mg/giorno x 2 mesi Risedronato % (N = 172) |
| Infezioni e infestazioni | ||
| 7 | 5 | |
| Metabolismo e disturbi nutrizionali | ||
| 3 | 1 | |
| 2 | 2 | |
| Disturbi del sistema nervoso | ||
| 11 | 10 | |
| 9 | 4 | |
| 5 | 1 | |
| 2 | 0 | |
| Disturbi toracici e mediastinali respiratori | ||
| 5 | 1 | |
| Disturbi gastrointestinali | ||
| 9 | 6 | |
| 6 | 6 | |
| 6 | 5 | |
| 5 | 4 | |
| 2 | 1 | |
| 2 | 2 | |
| 2 | 2 | |
| 1 | 2 | |
| Disturbi della pelle e dei tessuti sottocutanei | ||
| 3 | 2 | |
| Disturbi del tessuto connettivo muscoloscheletrico e osseo | ||
| 9 | 11 | |
| 9 | 5 | |
| 7 | 4 | |
| 4 | 7 | |
| 2 | 1 | |
| Disturbi generali e condizioni del sito amministrativo | ||
| 11 | 6 | |
| 9 | 2 | |
| 8 | 4 | |
| 8 | 1 | |
| 5 | 4 | |
| 3 | 1 | |
| 2 | 1 |
Compromissione renale
Negli studi clinici sulla malattia di Paget non ci sono stati casi di deterioramento renale a seguito di una singola infusione di 5 mg di 15 minuti [vedi Avvertimenti e precauzioni ].
Reazione di fase acuta
I segni e i sintomi della reazione di fase acuta (malattia da pyrexia myalgia artralgia e dolore osseo) sono stati riportati nel 25% dei pazienti nel gruppo trattato con reclast rispetto all'8% nel gruppo trattato con risedronate. I sintomi di solito si verificano entro i primi 3 giorni dopo la somministrazione di reclami. La maggior parte di questi sintomi si è risolta entro 4 giorni dall'inizio.
Osteonecrosi della mascella
L'osteonecrosi della mascella è stata riportata con acido zoledronico [vedi Avvertimenti e precauzioni ].
Esperienza post-marketing
Poiché queste reazioni sono riportate volontariamente da una popolazione di dimensioni incerte, non è sempre possibile stimare in modo affidabile la loro frequenza o stabilire una relazione causale con l'esposizione ai farmaci.
Crema topica fluorouracile 5 effetti collaterali
Le seguenti reazioni avverse sono state identificate durante l'uso post di approvazione di Reclast:
Reazione di fase acutas
Sintomi simili all'influenza di mal di testa della febbre nausea vomito diarrea artralgia e mialgia. I sintomi possono essere significativi e portare alla disidratazione.
Insufficienza renale acuta
L'insufficienza renale acuta che richiede ricovero in ospedale e/o dialisi o con un esito fatale è stata raramente segnalata. L'aumento della creatinina sierica è stata segnalata in pazienti con 1) malattia renale sottostante 2) disidratazione secondaria alla sepsi perdite gastrointestinali o terapia diuretica o 3) altri fattori di rischio come l'età avanzata o i farmaci nefrotossici concomitanti nel periodo post-infusione. L'aumento transitorio della creatinina sierica può essere correggibile con fluidi endovenosi.
Reazioni allergiche
Sono state riportate reazioni allergiche con acido zoledronico per via endovenosa, incluso reazione anafilattica/angoedema dell'orticaria di shock stevens-johnson, sindrome tossica epidermica tossica e broncocostrizione.
Esacerbazioni dell'asma
Sono state segnalate esacerbazioni dell'asma.
Ipocalcemia
Ipocalcemia has been reported.
Ipofosfichemia
Ipofosfichemia has been reported.
Osteonecrosi della mascella
È stata segnalata l'osteonecrosi della mascella.
Osteonecrosi di altre ossa
Sono stati segnalati casi di osteonecrosi di altre ossa (tra cui il polso e l'omero della caviglia del ginocchio dell'anca femmore); La causalità non è stata determinata nella popolazione trattata con reclast.
Eventi avversi oculari
Sono stati riportati casi dei seguenti eventi: congiuntivite irite iridociclite uveite epislerite sclerite e infiammazione/edema orbitale.
Altro
È stata riportata ipotensione nei pazienti con fattori di rischio sottostanti.
Interazioni farmacologiche for Reclamare
NO in vivo Sono stati condotti studi di interazione farmacologica per il reclast. In vitro E ex vita Gli studi hanno mostrato una bassa affinità dell'acido zoledronico per i componenti cellulari del sangue umano. In vitro Il legame medio di proteina dell'acido zoledronico nel plasma umano variava dal 28% a 200 ng/mL al 53% a 50 ng/mL. In vivo Gli studi hanno dimostrato che l'acido zoledronico non è metabolizzato e viene escreto nelle urine come farmaco intatto.
Aminoglicosidi
Si consiglia cautela quando i bifosfonati, incluso l'acido zoledronico, vengono somministrati con aminoglicosidi poiché questi agenti possono avere un effetto additivo per un livello sierico di calcio più basso per periodi prolungati. Questo effetto non è stato riportato negli studi clinici di acido zoledronico.
Diuretici a loop
È inoltre necessario prestare attenzione quando il reclast viene utilizzato in combinazione con i diuretici del loop a causa di un aumento del rischio di ipocalcemia.
Farmaci nefrotossici
L'attenzione è indicata quando il riclasto viene utilizzato con altri farmaci potenzialmente nefrotossici come farmaci antinfiammatori non steroidei.
Farmaci escreti principalmente dal rene
È stato osservato una compromissione renale in seguito alla somministrazione di acido zoledronico in pazienti con compromesso renale preesistente o altri fattori di rischio [vedi Avvertimenti e precauzioni ]. In patients with renal impairment the exposure to concomitant medications that are primarily renally excreted (e.g. digoxin) may increase. Consider monitoring serum creatinine in patients at risk for renal impairment who are taking concomitant medications that are primarily excreted by the kidney.
Avvertimenti per il reclast
Incluso come parte del 'PRECAUZIONI' Sezione
Precauzioni per il reclast
Prodotti farmaceutici con lo stesso ingrediente attivo
Il reclast contiene lo stesso ingrediente attivo trovato in Zometa utilizzato per le indicazioni oncologiche e un paziente che viene trattato con Zometa non deve essere trattato con reclast.
Ipocalcemia UNd Mineral Metabolismo
L'ipocalcemia preesistente e i disturbi del metabolismo minerale (ad esempio ipoparatiroidismo di chirurgia della tiroide per la chirurgia paratiroideo; sindromi da malabsorbimento escissione dell'intestino tenue) deve essere trattata efficacemente prima di iniziare la terapia con riclasti. Il monitoraggio clinico dei livelli di calcio e minerali (fosforo e magnesio) è altamente raccomandato per questi pazienti [vedi Controindicazioni ].
Ipocalcemia following Reclamare administration is a significant risk in Paget’s disease. All patients should be instructed about the symptoms of hypocalcemia E the importance of calcium E vitamin D supplementation in maintaining serum calcium levels [see Dosaggio e amministrazione Reazioni avverse Informazioni sul paziente ].
Tutti i pazienti con osteoporosi devono essere istruiti sull'importanza della supplementazione di calcio e vitamina D nel mantenimento dei livelli sierici di calcio [vedi Dosaggio e amministrazione Reazioni avverse Informazioni sul paziente ].
Compromissione renale
Una singola dose di reclast non deve superare i 5 mg e la durata dell'infusione non dovrebbe essere inferiore a 15 minuti [vedi Dosaggio e amministrazione ].
Il reclast è controindicato nei pazienti con clearance della creatinina inferiore a 35 ml/min e in quelli con evidenza di compromissione renale acuta [vedi Controindicazioni ]. If history or physical signs suggest dehydration Reclamare therapy should be withheld until normovolemic status has been achieved [see Reazioni avverse ].
Il reclast dovrebbe essere usato con cautela nei pazienti con compromissione renale cronica. È stato osservato una compromissione renale acuta, incluso l'insufficienza renale in seguito alla somministrazione di acido zoledronico, specialmente nei pazienti con compromesso renale preesistente di farmaci nefrotossici concomitanti concomitanti concomitanti terapia diuretica o grave disidratazione che si verificano prima o dopo la somministrazione di recupero. Insufficienza renale acuta (ARF) è stata osservata nei pazienti dopo una singola somministrazione. Rapari segnalazioni di ricovero in ospedale e/o dialisi o esito fatale si sono verificati in pazienti con compromissione renale da moderata a grave sottostante o con uno qualsiasi dei fattori di rischio descritti in questa sezione [vedi Reazioni avverse ]. Renal impairment may lead to increased exposure of concomitant medications E/or their metabolites that are primarily renally excreted [see Interazioni farmacologiche ].
La clearance della creatinina deve essere calcolata in base al peso corporeo effettivo usando la formula Cockcroft-Gault prima di ogni dose di reclama. L'aumento transitorio della creatinina sierica può essere maggiore nei pazienti con funzionalità renale alterata; Il monitoraggio provvisorio della clearance della creatinina deve essere eseguito in pazienti a rischio. I pazienti anziani e quelli che ricevono la terapia diuretica sono ad aumentato rischio di insufficienza renale acuta. Questi pazienti dovrebbero valutare il loro stato del fluido ed essere adeguatamente idratati prima della somministrazione di reclast. Il reclast dovrebbe essere usato con cautela con altri farmaci nefrotossici [vedi Interazioni farmacologiche ]. Consider monitoring creatinine clearance in patients at-risk for ARF who are taking concomitant medications that are primarily excreted by the kidney [see Interazioni farmacologiche ].
Osteonecrosi della mascella
L'osteonecrosi della mascella (ONJ) è stata riportata in pazienti trattati con bifosfonati incluso l'acido zoledronico. La maggior parte dei casi è stata nei malati di cancro trattati con bifosfonati endovenosi sottoposti a procedure dentali. Alcuni casi si sono verificati in pazienti con osteoporosi postmenopausa trattata con bisfosfonati orali o endovenosi. Un esame orale di routine dovrebbe essere eseguito dal prescrittore prima dell'inizio del trattamento con bisfosfonato. Un esame dentale con odontoiatria preventiva adeguata dovrebbe essere considerato prima del trattamento con bifosfonati in pazienti con una storia di fattori di rischio concomitanti (ad esempio, inibitori dell'angiogenesi della chemioterapia del cancro o patologie dentali di anemia di anemia di anemia). Il rischio di ONJ può aumentare con la durata dell'esposizione ai bifosfonati. La somministrazione concomitante di farmaci associati a ONJ può aumentare il rischio di sviluppare ONJ.
Mentre i pazienti con trattamento con fattori di rischio concomitanti dovrebbero evitare procedure dentali invasive, se possibile. Per i pazienti che sviluppano ONJ durante la chirurgia dentale della terapia con bifosfonato può esacerbare la condizione. Per i pazienti che richiedono procedure dentali non sono disponibili dati per suggerire se l'interruzione del trattamento con bifosfonato riduce il rischio di ONJ. Il giudizio clinico del medico curante dovrebbe guidare il piano di gestione di ciascun paziente in base alla valutazione dei benefici/del rischio individuale [vedi Reazioni avverse ].
Fratture del femore subtrocanterico e diafisico atipico
Sono state riportate fratture atipiche a bassa energia o basse traumi dell'albero femorale nei pazienti trattati con bisfosfonati. Queste fratture possono verificarsi ovunque nell'albero femorale appena al di sotto del trocantere minore al di sopra del bagliore sopracondilare e sono trasversali o corti obliqui di orientamento senza evidenza di comminuzione. La causalità non è stata stabilita poiché queste fratture si verificano anche nei pazienti osteoporotici che non sono stati trattati con bifosfonati.
Le fratture del femore atipico si verificano più comunemente con traumi minimi o nulli nell'area interessata. Possono essere bilaterali e molti pazienti riportano dolore prodromico nell'area interessata che di solito si presenta come un dolore alle cosce sordo e mesi prima che si verifichi una frattura completa. Numerosi rapporti notano che anche i pazienti stavano ricevendo un trattamento con glucocorticoidi (ad esempio prednisone) al momento della frattura.
Qualsiasi paziente con una storia di esposizione al bisfosfonato che presenta un dolore alla coscia o all'inguine dovrebbe essere sospettato di avere una frattura atipica e dovrebbe essere valutato per escludere una frattura del femore incompleta. I pazienti che presentano una frattura del femore atipico devono anche essere valutati per sintomi e segni di frattura nell'arto controlaterale. L'interruzione della terapia con bisfosfonato deve essere considerata in attesa di una valutazione del rischio/beneficio su base individuale.
Dolore muscoloscheletrico
Nell'esperienza post-marketing è stato riportato raramente il dolore osseo grave e occasionalmente inabile e/o muscolare in pazienti che assumono bifosfonati, incluso il reclast. Il tempo di insorgenza dei sintomi variava da un giorno a diversi mesi dopo l'inizio del farmaco. Prendi in considerazione la ritenuta in futuro per il trattamento di reclamo se si sviluppano sintomi gravi. La maggior parte dei pazienti aveva sollievo dai sintomi dopo l'arresto. Un sottoinsieme aveva una recidiva di sintomi quando ricaricato con lo stesso farmaco o un altro bifosfonato [vedi Reazioni avverse ].
Pazienti con asma
Sebbene non osservato negli studi clinici con reclast sono stati segnalati broncocostrizione nei pazienti sensibili alle aspirina che ricevono bifosfonati. Usa il reclast con cautela nei pazienti sensibili all'aspirina.
Informazioni sulla consulenza del paziente
Consiglia al paziente di leggere l'etichettatura del paziente approvato dalla FDA ( Guida ai farmaci ).
Informazioni per i pazienti
I pazienti devono essere consapevoli del fatto che il reclast contiene lo stesso ingrediente attivo (acido zoledronico) presente in Zometa ® E that patients being treated with Zometa should not be treated with Reclamare.
Il reclast è controindicato nei pazienti con clearance della creatinina inferiore a 35 ml/min [vedi Controindicazioni ].
Prima di ricevere i pazienti di reclamazione dovrebbero dire al proprio medico se hanno problemi renali e quali farmaci stanno assumendo.
Il reclast non dovrebbe essere somministrato se il paziente è incinta o prevede di rimanere incinta o se viene allattata [vedi Avvertimenti e precauzioni ].
Sono stati segnalati notizie di broncocostrizione nei pazienti sensibili alle aspirina che hanno ricevuto bifosfonati, incluso il reclast. Prima di ricevere i pazienti di reclamazione dovrebbero dire al proprio medico se sono sensibili all'aspirina.
Se il paziente ha subito un intervento chirurgico per rimuovere alcune o tutte le ghiandole paratiroidei nel collo o ha rimosso le sezioni del loro intestino o non sono in grado di assumere integratori di calcio, dovrebbero dire al proprio medico.
Il reclast viene somministrato come infusione in una vena da un'infermiera o da un medico e il tempo di infusione non deve essere inferiore a 15 minuti.
Il giorno del trattamento il paziente dovrebbe mangiare e bere normalmente, il che include bere almeno 2 bicchieri di liquidi come l'acqua entro poche ore prima dell'infusione come indicato dal proprio medico prima di ricevere reclast.
Dopo essere stato reclasto, si raccomanda fortemente che i pazienti con malattia di Paget assumono calcio a dosi divise (ad esempio da 2 a 4 volte al giorno) per un totale di 1500 mg di calcio al giorno per prevenire bassi livelli di calcio nel sangue. Ciò è particolarmente importante per le due settimane dopo aver ottenuto il reclamo [vedi Avvertimenti e precauzioni ].
L'assunzione adeguata del calcio e della vitamina D è importante nei pazienti con osteoporosi e l'attuale assunzione giornaliera raccomandata di calcio è di 1200 mg e la vitamina D è di 800 unità internazionali - 1000 unità internazionali al giorno. Tutti i pazienti devono essere istruiti sull'importanza dell'integrazione di calcio e vitamina D nel mantenimento dei livelli sierici di calcio.
I pazienti devono essere consapevoli degli effetti collaterali più comunemente associati della terapia. I pazienti possono sperimentare uno o più effetti collaterali che potrebbero includere: sintomi di forma di influenza febbrile Myalgia artralgia e mal di testa. La maggior parte di questi effetti collaterali si verificano entro i primi 3 giorni dopo la dose di reclast. Di solito si risolvono entro 3 giorni dall'inizio, ma possono durare fino a 7-14 giorni. I pazienti devono consultare il proprio medico se hanno domande o se questi sintomi persistono. L'incidenza di questi sintomi è diminuita notevolmente con le successive dosi di reclast.
La somministrazione di paracetamolo dopo la somministrazione di reclast può ridurre l'incidenza di questi sintomi.
I medici dovrebbero informare i loro pazienti che ci sono state segnalazioni di dolore persistente e/o di una dolenza non guarita della bocca o della mascella principalmente nei pazienti trattati con bifosfonati per altre malattie. Durante il trattamento con i pazienti con acido zoledronico deve essere istruito a mantenere una buona igiene orale e sottoporsi a controlli dentali di routine. Se sperimentano sintomi orali, dovrebbero immediatamente segnalarli al proprio medico o al loro dentista.
Il dolore osseo grave e occasionalmente incapace è stato riportato raramente in pazienti che assumono bifosfonati, incluso il reclast. Prendi in considerazione la ritenuta in futuro per il trattamento di reclamo se si sviluppano sintomi gravi.
Sono state riportate fratture atipiche del femore nei pazienti in terapia con bisfosfonato; I pazienti con dolore alla coscia o all'inguine devono essere valutati per escludere una frattura femorale.
NOnclinical Toxicology
Mutagenesi della carcinogenesi compromissione della fertilità
Carcinogenesi
I biotest di cancerogenicità a vita sono stati condotti in topi e ratti. Ai topi sono state somministrate dosi orali giornaliere di acido zoledronico di 0,1 0,5 o 2,0 mg/kg/giorno per 2 anni. Vi è stata una maggiore incidenza di adenomi della ghiandola harderian nei maschi e nelle femmine in tutti i gruppi di trattamento (a partire da dosi equivalenti a 0,002 volte la dose endovenosa di 5 mg umana in base alla superficie corporea Mg/m 2 ). Rats were given daily oral doses of zoledronic acid of 0.1 0.5 or 2.0 mg/kg/day for 2 years. NO increased incidence of tumors was observed at any dose (up to 0.1 times the human intravenous dose of 5 mg based on body surface area mg/m 2 ).
Mutagenesi
L'acido zoledronico non era genotossico nel test di mutagenicità batterica di Ames nel test delle cellule di ovaio del criceto cinese o nel test della mutazione del gene del criceto cinese con o senza attivazione metabolica. L'acido zoledronico non era genotossico nel in vivo Test di micronucleo di ratto.
Compromissione della fertilità
Le donne sono state somministrate dosi sottocutanee giornaliere di acido zoledronico di 0,01 0,03 o 0,1 mg/kg a partire da 15 giorni prima dell'accoppiamento e continuare attraverso la gestazione. L'inibizione dell'ovulazione e una diminuzione del numero di ratti in gravidanza sono stati osservati a 0,1 mg/kg/giorno (equivalente alla dose endovenosa di 5 mg umana basata su AUC). Sono stati osservati un aumento della perdita di preimpianto e una diminuzione del numero di impianti e feti vivi a 0,03 e 1 mg/kg/giorno (da 0,3 a 1 volte la dose endovenosa umana di 5 mg umana).
Utilizzare in popolazioni specifiche
Gravidanza
Riepilogo del rischio
I dati disponibili sull'uso del reclast nelle donne in gravidanza non sono sufficienti per informare un rischio associato al farmaco di esiti avversi materni o fetali. Interrompere il reclamo quando viene riconosciuta la gravidanza.
Negli studi sulla riproduzione degli animali La somministrazione sottocutanea quotidiana di acido zoledronico ai ratti in gravidanza durante l'organogenesi ha comportato aumenti delle malformazioni viscerali ed esterne scheletriche feletriche che diminuiscono nella sopravvivenza post -impianto e diminuiscono nei feti vitali e nel peso fetale che iniziano a dosi equivalenti a 2 volte il dose umana raccomandata da 5 mg (basato su AUC). La somministrazione sottocutanea di acido zoledronico ai conigli durante l'organogenesi non ha causato effetti fetali avversi fino a 0,4 volte la dose endovenosa di 5 mg umana (basata sulla superficie corporea Mg/m 2 ) ma ha provocato la mortalità materna e l'aborto associati all'ipocalcemia a partire da dosi equivalenti a 0,04 volte la dose endovenosa di 5 mg umana. Il dosaggio sottocutaneo di ratti femmine da prima dell'accoppiamento attraverso la gestazione e l'allattamento e lasciato consegnare la distocia materna e la mortalità periparturante aumentano di morti e morti neonatali e ridotto il peso corporeo del cucciolo a partire da dosi equivalenti a 0,1 volte la dose endovenosa di 5 mg umana (basata su AUC). (Vedere Dati ).
I bisfosfonati sono incorporati nella matrice ossea da cui vengono gradualmente rilasciati per un periodo di anni. La quantità di bisfosfonato incorporato nell'osso adulto e disponibile per il rilascio nella circolazione sistemica è direttamente correlata alla dose e alla durata dell'uso di bisfosfonato. Di conseguenza, in base al meccanismo d'azione dei bifosfonati, esiste un potenziale rischio di danno fetale prevalentemente scheletrico se una donna rimane incinta dopo aver completato un ciclo di terapia di bifosfonato. L'impatto di variabili come il tempo tra la cessazione della terapia del bifosfonato per concepimento del particolare bifosfonato utilizzato e la via di somministrazione (endovenosa contro orale) sul rischio non è stata studiata.
Non è noto il rischio di background stimato di principali difetti alla nascita e aborto per le popolazioni indicate. Tutte le gravidanze hanno un rischio di fondo di perdita di difetti alla nascita o altri risultati avversi. Nella popolazione generale degli Stati Uniti i rischi di fondo stimati di importanti difetti alla nascita e aborto spontaneo nelle gravidanze clinicamente riconosciute sono rispettivamente del 2-4% e del 15-20%.
Dati
Dati sugli animali
Nei ratti in gravidanza somministrati dosi sottocutanee giornaliere di acido zoledronico di 0,1 0,2 o 0,4 mg/kg durante l'organogenesi sono state osservate malformazioni viscerali ed esterne feletriche feletriche a 0,2 e 0,4 mg/kg/kg/kg/kg/giorno (equivalenti a 2 e 4 volte basati sugli umani a base di dollari. Effetti scheletrici fetali avversi a 0,4 mg/kg/die (4 volte la dose di 5 mg umani) includeva ossa ossificate non indirizzate o incomplete addensate o accorciate costole ondulate e mascella accorciata. Altri effetti avversi fetali a questa dose includevano una riduzione della riduzione del cervelletto rudimentale della lente o dell'assenza della riduzione dei lobi epatici dei lobi polmonari di dilatazione del vaso di dilatazione e dell'edema. Sono state osservate variazioni scheletriche in tutti i gruppi a partire da 0,1 mg/kg/giorno (NULL,2 volte la dose umana di 5 mg). Sono stati osservati segni di tossicità materna, incluso il peso corporeo ridotto e il consumo di cibo a 0,4 mg/kg/die (4 volte la dose di 5 mg umana).
Nei conigli in gravidanza somministrati dosi sottocutanee giornaliere di acido zoledronico di 0,01 0,03 o 0,1 mg/kg durante la gestazione non sono stati osservati effetti fetali avversi fino a 0,1 mg/kg/giorno (NULL,4 volte la dose endovenosa di 5 mg umana in base alla superficie corporea Mg/m 2 ). Maternal mortality E abortion were observed in all dose groups (starting at 0.04 times the human 5 mg dose). Adverse maternal effects were associated with drug-induced hypocalcemia.
Nei ratti femminili somministrate dosi sottocutanee giornaliere di 0,01 0,03 o 0,1 mg/kg a partire da 15 giorni prima di accoppiarsi e continuare attraverso la partorizione della gestazione e la distocia di lattazione e la mortalità periparturante sono state osservate nei ratti in gravidanza per consegnare a partire da 0,01 mg/kg/giorno (NULL,1 volte l'umano 5 mg evavenoso in base all'AUC). Inoltre, c'è stato un aumento delle nati morti e una diminuzione della sopravvivenza del neonato a partire da 0,03 mg/kg/giorno (NULL,3 volte la dose di 5 mg umane) mentre il numero di neonati vitali e il peso corporeo del cucciolo al giorno postnatale sono diminuiti a 0,1 mg/kg/giorno (equivalenti alla dose di 5 mg umani). Le morti materne e neonatali sono state considerate correlate all'ipocalcemia periparturante indotta da farmaci.
Lattazione
Riepilogo del rischio
Non ci sono dati sulla presenza di acido zoledronico nel latte umano gli effetti sul bambino allattato al seno o sugli effetti sulla produzione di latte. I benefici per lo sviluppo e la salute dell'allattamento devono essere considerati insieme alla necessità clinica della madre di reclamare e di eventuali potenziali effetti avversi sul bambino allattato al seno dal reclast o dalla condizione materna sottostante.
Femmine e maschi di potenziale riproduttivo
Infertilità
Non ci sono dati disponibili nell'uomo. La fertilità femminile può essere compromessa in base a studi sugli animali che dimostrano effetti avversi del reclast sui parametri della fertilità [vedi NOnclinical Toxicology ].
Uso pediatrico
Reclast non è indicato per l'uso nei bambini.
La sicurezza e l'efficacia dell'acido zoledronico sono state studiate in uno studio controllato attivo di un anno di 152 soggetti pediatrici (74 che ricevono acido zoledronico). La popolazione iscritta era soggetti con grave osteogenesi imperfetta di età compresa tra 1 e 17 anni 55% maschio 84% caucasico con una BMD medio della colonna lombare di 0,431 gm/cm 2 che è 2,7 deviazioni standard al di sotto della media per i controlli abbinati all'età (punteggio Z BMD di -2,7). A un anno sono stati osservati aumenti di BMD nel gruppo di trattamento dell'acido zoledronico. Tuttavia, i cambiamenti nella BMD nei singoli pazienti con osteogenesi grave imperfetta non sono necessariamente correlati al rischio di frattura o all'incidenza o alla gravità del dolore osseo cronico. Gli eventi avversi osservati con l'uso di acido zoledronico nei bambini non hanno aumentato alcuna nuova scoperta di sicurezza oltre a quelli precedentemente osservati negli adulti trattati per la malattia di Paget di osso e il trattamento dell'osteoporosi, compresa l'osteonecrosi della mascella (ONJ) e la compromissione renale. Tuttavia, le reazioni avverse osservate più comunemente nei pazienti pediatrici includevano la piressia (61%) artralgia (26%) ipocalcemia (22%) e mal di testa (22%). Queste reazioni che escludono l'artralgia si sono verificate più frequentemente entro tre giorni dopo la prima infusione e sono diventate meno comuni con il dosaggio ripetuto. In questo studio non sono stati osservati casi di compromissione renale o renale. A causa della ritenzione a lungo termine nel reclast osseo dovrebbe essere utilizzata nei bambini solo se il potenziale beneficio supera il rischio potenziale.
I dati di concentrazione di acido zoledronico plasmatico sono stati ottenuti da 10 pazienti con osteogenesi grave imperfetta (4 nella fascia di età da 3 a 8 anni e 6 nella fascia di età da 9 a 17 anni) infusi con una dose di 0,05 mg/kg di oltre 30 minuti. CMAX medio e AUC (0----last) erano rispettivamente di 167 ng/ml e 220 ng.h/ml. Il profilo del tempo di concentrazione plasmatica dell'acido zoledronico nei pazienti pediatrici rappresenta un declino multi-esponenziale come osservato nei pazienti con cancro adulto a una dose Mg/kg approssimativamente equivalente.
Uso geriatrico
Gli studi combinati di osteoporosi includevano 4863 pazienti trattati con reclast che avevano almeno 65 anni mentre 2101 pazienti avevano almeno 75 anni. Non sono state osservate differenze complessive nell'efficacia o nella sicurezza tra i pazienti di età inferiore ai 75 anni con quelli di almeno 75 anni, tranne per il fatto che le reazioni di fase acuta si sono verificate meno frequentemente nei pazienti più anziani.
Dei pazienti che hanno ricevuto reclast nello studio dell'osteoporosi negli uomini osteoporosi indotta da glucocorticoidi e studi sulla malattia di Paget 83 116 e 132 pazienti avevano rispettivamente 65 anni o più, mentre 24 29 e 68 pazienti avevano rispettivamente almeno 75 anni di età.
Tuttavia, poiché si dovrebbe prendere una riduzione della funzione renale più comunemente nelle cure speciali degli anziani per monitorare la funzione renale.
Compromissione renale
Il reclast è controindicato nei pazienti con clearance della creatinina inferiore a 35 ml/min e in quelli con evidenza di compromissione renale acuta. Non ci sono dati sulla sicurezza o sull'efficacia per supportare la regolazione della dose di reclast in base alla funzione renale di base. Pertanto non è richiesto alcun regolazione del dosaggio nei pazienti con clearance di creatinina maggiore o uguale a 35 ml/min [vedi Avvertimenti e precauzioni Farmacologia clinica ]. Risk of acute renal failure may increase with underlying renal disease E dehydration secondary to fever sepsis gastrointestinal losses diuretic therapy advanced age etc. [see Reazioni avverse ].
Compromissione epatica
Il reclast non è metabolizzato nel fegato. Non sono disponibili dati clinici per l'uso di reclast in pazienti con compromissione epatica.
Informazioni per overdose per il reclast
L'esperienza clinica con il sovradosaggio acuto dell'acido zoledronico (Reclast) per l'infusione endovenosa è limitata. I pazienti che hanno ricevuto dosi superiori a quelle raccomandate devono essere attentamente monitorati. Il sovradosaggio può causare ipocalcemia renale clinicamente significativa ipofosfatemia e ipomagnesemia. Riduzioni clinicamente rilevanti nei livelli sierici di fosforo di calcio e magnesio devono essere corretti rispettivamente dalla somministrazione endovenosa di potassio di gluconato di calcio o sodio fosfato e solfato di magnesio.
Le singole dosi di reclast non devono superare i 5 mg e la durata dell'infusione endovenosa non dovrebbe essere inferiore a 15 minuti [vedi Dosaggio e amministrazione ].
Controindicazioni per il reclast
Il reclast è controindicato nei pazienti con le seguenti condizioni:
- Ipocalcemia [see Avvertimenti e precauzioni ]
- Clearance della creatinina inferiore a 35 ml/min e in quelli con evidenza di compromissione renale acuta a causa di un aumento del rischio di insufficienza renale [vedi Avvertimenti e precauzioni ].
- L'ipersensibilità nota all'acido zoledronico o eventuali componenti di reclast. Sono state riportate reazioni di ipersensibilità tra cui l'orticaria angiedema e la reazione/shock anafilattica [vedi Reazioni avverse ].
Farmacologia clinica for Reclamare
Meccanismo d'azione
Reclast è un bisfosfonato e agisce principalmente sull'osso. È un inibitore del riassorbimento osseo mediato da osteoclasti.
L'azione selettiva dei bisfosfonati sull'osso si basa sulla loro alta affinità per l'osso mineralizzato. L'acido zoledronico somministrato per via endovenosa si divide rapidamente su osso e si localizza preferibilmente in siti di alto turnover osseo. Il principale bersaglio molecolare dell'acido zoledronico nell'osteoclasto è l'enzima farsyl pirofosfato sintasi. La durata relativamente lunga dell'azione dell'acido zoledronico è attribuibile alla sua elevata affinità di legame al minerale osseo.
Farmacodinamica
Nello studio sul trattamento dell'osteoporosi, l'effetto del trattamento di reclast sui marcatori di riassorbimento osseo (beta-ctelopeptidi sierici [B-CTX]) e la formazione ossea (osso specifico alcalino fosfatasi [BSAP] sierico N-terminal Propeptide di tipo I è stato valutato nei pazienti (sottosegonisti da 517 a 1246 pazienti a intervallo di tempo). Il trattamento con una dose annuale di 5 mg di reclast riduce i marcatori di turnover ossei nell'intervallo pre-menopausale con una riduzione approssimativa del 55% in B-CTX una riduzione del 29% di BSAP e una riduzione del 52% di P1NP per 36 mesi. Non vi è stata alcuna riduzione progressiva dei marcatori di turnover ossei con ripetuti dosaggi annuali.
Farmacocinetica
Non sono disponibili dati farmacocinetici in pazienti con osteoporosi e malattia dell'osso di Paget.
Distribuzione
Le infusioni di acido zoledronico 2 4 8 o 16 mg di 2 4 8 o 16 mg sono state somministrate infusioni a 5 minuti o multiple (ogni 28 giorni) (ogni 28 giorni) di 2 4 8 o 16 mg con 64 pazienti con cancro e metastasi ossee. Il declino post-infusione delle concentrazioni di acido zoledronico nel plasma era coerente con un processo trifasico che mostrava una rapida riduzione delle concentrazioni di picco a fine infusione a meno dell'1% di CMAX 24 ore dopo l'infusione con emivite della popolazione di T 1/2a 0,24 ore e t 1/2B 1,87 ore per le prime fasi di disposizione del farmaco. La fase di eliminazione terminale dell'acido zoledronico era prolungata con concentrazioni molto basse nel plasma tra i giorni 2 e 28 post infusione e un'emivita di eliminazione terminale T 1/2c di 146 ore. L'area sotto la concentrazione plasmatica rispetto alla curva temporale (AUC0-24H) dell'acido zoledronico era una dose proporzionale da 2 a 16 mg. L'accumulo di acido zoledronico misurato su tre cicli era basso con rapporti AUC0-24H medi per i cicli 2 e 3 contro 1 di 1,13 ± 0,30 e 1,16 ± 0,36 rispettivamente.
In vitro E ex vita Gli studi hanno mostrato una bassa affinità dell'acido zoledronico per i componenti cellulari del sangue umano. In vitro Il legame medio di proteina dell'acido zoledronico nel plasma umano variava dal 28% a 200 ng/mL al 53% a 50 ng/mL.
Metabolismo
L'acido zoledronico non inibisce gli enzimi p450 umani in vitro . L'acido zoledronico non subisce biotrasformazione in vivo . Negli studi sugli animali meno del 3% della dose endovenosa somministrata è stato trovato nelle feci con l'equilibrio recuperato nelle urine o ripreso dall'osso indicando che il farmaco viene eliminato intatto attraverso il rene. A seguito di una dose endovenosa di 20 NCI 14 L'acido C-zoledronico in un paziente con cancro e metastasi ossee solo una singola specie radioattiva con proprietà cromatografiche identiche a quelle del farmaco genitore è stato recuperato nelle urine, il che suggerisce che l'acido zoledronico non è metabolizzato.
Escrezione
In 64 patients with cancer and bone metastases on average (± SD) 39 ± 16% of the administered zoledronic acid dose was recovered in the urine within 24 hours with only trace amounts of drug found in urine post Day 2. The cumulative percent of drug excreted in the urine over 0-24 hours was independent of dose. L'equilibrio del farmaco non recuperato nelle urine per 0-24 ore che rappresenta il farmaco presumibilmente legato all'osso viene lentamente rilasciato nella circolazione sistemica dando origine alle basse concentrazioni plasmatiche prolungate osservate. La clearance renale di 0-24 ore di acido zoledronico era di 3,7 ± 2,0 L/h.
La clearance dell'acido zoledronico era indipendente dalla dose ma dipende dalla clearance della creatinina del paziente. In a study in patients with cancer and bone metastases increasing the infusion time of a 4 mg dose of zoledronic acid from 5 minutes (n = 5) to 15 minutes (n = 7) resulted in a 34% decrease in the zoledronic acid concentration at the end of the infusion ([mean ± SD] 403 ± 118 ng/mL vs. 264 ± 86 ng/mL) and a 10% increase in the total AUC (378 ± 116 ng x H/mL contro 420 ± 218 ng x H/mL). La differenza tra i mezzi AUC non era statisticamente significativa.
Popolazioni specifiche
Pediatria
Reclast non è indicato per l'uso nei bambini [vedi Uso pediatrico ].
Geriatria
La farmacocinetica dell'acido zoledronico non è stata influenzata dall'età nei pazienti con cancro e metastasi ossee la cui età variava da 38 anni a 84 anni.
Gara
La farmacocinetica dell'acido zoledronico non è stata influenzata dalla razza in pazienti con cancro e metastasi ossee.
Compromissione epatica
NO clinical studies were conducted to evaluate the effect of hepatic impairment on the pharmacokinetics of zoledronic acid.
Compromissione renale
Gli studi farmacocinetici condotti in 64 pazienti con cancro rappresentavano popolazioni cliniche tipiche con funzione renale da normale a moderata. Rispetto ai pazienti con clearance della creatinina superiori a 80 mL/min (n = 37) pazienti con clearance della creatinina = 50-80 mL/min (n = 15) hanno mostrato un aumento medio dell'AUC plasmatico del 15%, mentre i pazienti con clearance della creatinina = 30-50 ml/min (n = 11) hanno mostrato un aumento medio del Plasma AUC del 43%. Non è richiesto alcun aggiustamento del dosaggio nei pazienti con clearance di creatinina maggiore o uguale a 35 ml/min. Il reclast è controindicato nei pazienti con clearance della creatinina inferiore a 35 ml/min e in quelli con evidenza di compromissione renale acuta a causa di un aumento del rischio di insufficienza renale [vedi Controindicazioni Avvertimenti e precauzioni Utilizzare in popolazioni specifiche ].
Farmacologia animale
Studi sulla sicurezza delle ossa
L'acido zoledronico è un potente inibitore del riassorbimento osseo osteoclastico. Nelle dosi di acido zoledronico singolo di ratto ovariectomizzato di acido zoledronico di 4-500 mcg/kg (da 0,1 a 3,5 volte la dose endovenosa di 5 mg umana in base alla superficie corporea Mg/m 2 ) ha soppresso il turnover osseo e protetto contro il diradamento corticale trabecolare per la perdita ossea e la riduzione della forza ossea vertebrale e femorale in modo dose-dipendente. Ad una dose equivalente all'esposizione umana alla dose endovenosa di 5 mg, l'effetto persisteva per 8 mesi, il che corrisponde a circa 8 cicli di rimodellamento o 3 anni nell'uomo.
Nei ratti ovariectomizzati e le scimmie trattate settimanali con acido zoledronico dose dose-dipendente del turnover osseo e ha impedito la diminuzione della BMD a cancellazione e corticale e della resistenza ossea a dosi cumulative annuali fino a 3,5 volte la dose e intravane umana in base alla superficie del corpo Mg/M 2 . Il tessuto osseo era normale e non c'erano prove di un difetto di mineralizzazione nessun accumulo di osteoide e nessun osso intrecciato.
Studi clinici
Trattamento dell'osteoporosi postmenopausa
Studio 1
The efficacy and safety of Reclast in the treatment of postmenopausal osteoporosis was demonstrated in Study 1 a randomized double-blind placebo-controlled multinational study of 7736 women aged 65 to 89 years (mean age of 73) with either: a femoral neck BMD T-score less than or equal to -1.5 and at least two mild or one moderate existing vertebral fracture(s); o un punteggio T BMD a collo femorale inferiore o uguale a -2,5 con o senza evidenza di una frattura vertebrale esistente. Le donne sono state stratificate in due gruppi: Stratum I: nessun uso concomitante della terapia con osteoporosi o Stratum II: l'uso concomitante basale di terapie di osteoporosi che includeva la calcitonina raloxifene tamoxifene e la terapia di sostituzione ormonale ma hanno escluso altri bisfosfonici.
Le donne iscritte allo strato I (n = 5661) sono state valutate ogni anno per l'incidenza di fratture vertebrali. Tutte le donne (Strata I e II) sono state valutate per l'incidenza dell'anca e altre fratture cliniche. Il reclast è stato somministrato una volta all'anno per tre anni consecutivi come una singola dose di 5 mg in una soluzione da 100 ml infusa per almeno 15 minuti per un totale di tre dosi. Tutte le donne hanno ricevuto da 1000 a 1500 mg di calcio elementare più da 400 a 1200 unità internazionali di integrazione di vitamina D al giorno.
Le due variabili di efficacia primaria erano l'incidenza di fratture vertebrali morfometriche a 3 anni e l'incidenza di fratture dell'anca per una durata mediana di 3 anni. La diagnosi di una frattura vertebrale incidente si basava sia sulla diagnosi qualitativa da parte del radiologo che del criterio morfometrico quantitativo. Il criterio morfometrico ha richiesto la doppia occorrenza di 2 eventi: un rapporto di altezza relativa o una riduzione dell'altezza relativa in un corpo vertebrale di almeno il 20% insieme ad almeno una riduzione assoluta di 4 mm di altezza.
Effetto sulle fratture vertebrali
Il riclasto ha ridotto significativamente l'incidenza di nuove fratture vertebrali a due e tre anni, come mostrato nella Tabella 5.
Tabella 5. Proporzione di pazienti con nuove fratture vertebrali morfometriche
| Risultato | Reclamare (%) | Placebo (%) | Riduzione assoluta dell'incidenza della frattura % (95% CI) | Riduzione relativa dell'incidenza della frattura % (95% CI) |
| Almeno una nuova frattura vertebrale (Da 0 a 1 anno) | 1.5 | 3.7 | 2.2 (1.4 3.1) | 60 (43 72)* |
| Almeno una nuova frattura vertebrale (Da 0 a 2 anni) | 2.2 | 7.7 | 5.5 (4.4 6.6) | 71 (62 78)* |
| Almeno una nuova frattura vertebrale (Da 0 a 3 anni) | 3.3 | 10.9 | 7.6 (6.3 9.0) | 70 (62 76)* |
| * P <0.0001 |
Le riduzioni delle fratture vertebrali per tre anni erano coerenti (tra cui nuove fratture vertebrali/peggioramento e più vertebrali) e significativamente maggiori del placebo indipendentemente dall'indice di massa corporea basale della regione geografica di età del numero di basale vertebrale basale.
è l'arginina sicura da prendere
Effetto sulla frattura dell'anca per 3 anni
Reclamare demonstrated a 1.1% absolute reduction E 41% relative reduction in the risk of hip fractures over a median duration of follow-up of 3 years. The hip fracture event rate was 1.4% for Reclamare-treated patients compared to 2.5% for placebo-treated patients.
Figura 1. Incidenza cumulativa della frattura dell'anca per 3 anni
|
Le riduzioni delle fratture dell'anca per tre anni erano maggiori per il reclast rispetto al placebo indipendentemente dal punteggio T BMD del collo femorale.
Effetto su tutte le fratture cliniche
Reclamare demonstrated superiority to placebo in reducing the incidence of all clinical fractures clinical (symptomatic) vertebral E non-vertebral fractures (excluding finger toe facial E clinical thoracic E lumbar vertebral fractures). All clinical fractures were verified based on the radiographic E/or clinical evidence. A summary of results is presented in Table 6.
Tabella 6. Confronti tra il trattamento dell'incidenza di variabili di frattura clinica in 3 anni
| Risultato | Reclamare (N = 3875) Tasso di eventi N (%) | Placebo (N = 3861) Tasso di eventi N (%) | Riduzione assoluta dell'incidenza della frattura % (95% CI)+ | Riduzione del rischio relativo nell'incidenza della frattura % (95% CI) |
| Qualsiasi frattura clinica (1) | 308 (8.4) | 456 (12.8) | 4.4 (3.0 5.8) | 33 (23 42) ** |
| Frattura clinica vertebrale (2) | 19 (NULL,5) | 84 (2.6) | 2.1 (1.5 2.7) | 77 (63 86) ** |
| NOn-vertebral fracture (3) | 292 (8.0) | 388 (10.7) | 2.7 (1.4 4.0) | 25 (13 36)* |
| *valore p <0.001 **valore p <0.0001 Tassi di eventi basati sulle stime di Kaplan-Meier a 36 mesi (1) Escluse le dita delle dita e le fratture facciali (2) Include fratture cliniche toraciche e cliniche lombari vertebrali (3) Escludendo le dita delle dita del punta del viso e cliniche fratture vertebrali toraciche e lombari |
Effetto sulla densità minerale ossea (BMD)
Reclamare significantly increased BMD at the lumbar spine total hip E femoral neck relative to treatment with placebo at time points 12 24 E 36 months. Treatment with Reclamare resulted in a 6.7% increase in BMD at the lumbar spine 6.0% at the total hip E 5.1% at the femoral neck over 3 years as compared to placebo.
Istologia ossea
I campioni di biopsia ossea sono stati ottenuti tra i mesi 33 e 36 da 82 pazienti postmenopausa con osteoporosi trattati con 3 dosi annuali di reclast. Delle biopsie ottenute 81 erano adeguate per la valutazione qualitativa dell'istomorfometria 59 erano adeguate per la valutazione parziale quantitativa dell'istomorfometria e 38 erano adeguati per la valutazione quantitativa dell'istomorfometria quantitativa. L'analisi di micro CT è stata eseguita su 76 esemplari. Le valutazioni quantitative quantitative e micro CT hanno mostrato osso di architettura normale e qualità senza difetti di mineralizzazione.
Effetto sull'altezza
Nello studio di osteoporosi di 3 anni è stata misurata l'altezza annualmente utilizzando uno stadiometro. Il gruppo di riclasti ha rivelato una minore perdita di altezza rispetto al placebo (rispettivamente 4,2 mm contro 7,0 mm [P [P <0.001]).
Studio 2
L'efficacia e la sicurezza del reclast nel trattamento dei pazienti con osteoporosi che hanno subito una recente frattura dell'anca a basso trauma è stata dimostrata nello studio 2 uno studio endpoint multinazionale in doppio cieco randomizzato a doppio cieco controllato su 2127 uomini e donne di età compresa tra 50 e 95 anni (età media di 74,5). Sono state ammesse terapie concomitanti di osteoporosi escluse altri bifosfonati e l'ormone paratiroideo. Il reclast è stato somministrato una volta all'anno come una singola dose di 5 mg in una soluzione da 100 ml infusa per almeno 15 minuti. Lo studio ha continuato fino a quando almeno 211 pazienti avevano confermato le fratture cliniche nella popolazione dello studio. I livelli di vitamina D non sono stati abitualmente misurati, ma è stata somministrata una dose di carico di vitamina D (50000 a 125000 unità internazionali per via orale o IM) ai pazienti e sono stati avviati con 1000 a 1500 mg di calcio elementare più 800-1200 unità internazionali di integrazione di vitamina D al giorno per giorno per almeno 14 giorni prima delle infusioni farmacologiche dello studio. La variabile di efficacia primaria era l'incidenza di fratture cliniche per la durata dello studio.
Reclamare significantly reduced the incidence of any clinical fracture by 35%. There was also a 46% reduction in the risk of a clinical vertebral fracture (Table 7).
Tabella 7. Confronti tra i trattamento dell'incidenza di variabili di frattura clinica chiave
| Risultato | Reclamare (N = 1065) Tasso di eventi N (%) | Placebo (N = 1062) Tasso di eventi N (%) | Riduzione assoluta dell'incidenza della frattura % (95% CI) + | Riduzione del rischio relativo nell'incidenza della frattura % (95% CI) |
| Qualsiasi frattura clinica (1) | 92 (8.6) | 139 (13.9) | 5.3 (2.3 8.3) | 35 (16 50) ** |
| Frattura clinica vertebrale (2) | 21 (1.7) | 39 (3.8) | 2.1 (NULL,5 3.7) | 46 (8 68)* |
| *valore p <0.05 **valore p <0.005 Tassi di eventi basati sulle stime di Kaplan-Meier a 24 mesi (1) Escluse le dita delle dita e le fratture facciali (2) Comprese fratture cliniche toraciche e cliniche lombari vertebrali |
Effetto sulla densità minerale ossea (BMD)
Reclamare significantly increased BMD relative to placebo at the hip E femoral neck at all timepoints (12 24 E 36 months). Treatment with Reclamare resulted in a 6.4% increase in BMD at the total hip E a 4.3% increase at the femoral neck over 36 months as compared to placebo.
Prevenzione dell'osteoporosi postmenopausa
L'efficacia e la sicurezza dei riclasti nelle donne in postmenopausa con osteopenia (bassa massa ossea) è stata valutata in uno studio a doppio cieco multicentrico randomizzato a 2 anni di studio controllato con placebo di 581 donne in postmenopausa (n = 224) di età superiore o pari o pari a 45 anni che sono state stratificate da anni da anni da una menopausa: Stratum I meno che 5 anni da menopausa (n = n = n = n = n = n = n = n = n = n = n = n = n = n = n = n = n = 224 anni) Stratum II Donne superiori o uguali a 5 anni dalla menopausa (n = 357). I pazienti all'interno di Stratum I e II sono stati randomizzati a uno dei tre gruppi di trattamento: (1) reclami somministrati alla randomizzazione e al mese 12 (n = 77) in Stratum I e (n = 121) in Stratum II; (2) reclast indicato a randomizzazione e placebo al mese 12 (n = 70) in strato I e (n = 111) in strato II; e (3) placebo somministrato a randomizzazione e mese 12 (n = 202). Il reclast è stato somministrato come una singola dose di 5 mg in una soluzione da 100 ml infusa per almeno 15 minuti. Tutte le donne hanno ricevuto da 500 a 1200 mg di calcio elementare più da 400 a 800 unità internazionali Supplementazione di vitamina D al giorno. La variabile di efficacia primaria era la variazione percentuale di BMD a 24 mesi rispetto al basale.
Effetto sulla densità minerale ossea (BMD)
Reclamare significantly increased lumbar spine BMD relative to placebo at Month 24 across both strata. Reclamare given once at rEomization (E placebo given at Month 12) resulted in 4.0% increase in BMD in Stratum I patients E 4.8% increase in Stratum II patients over 24 months. Placebo given at rEomization E at Month 12 resulted in 2.2% decrease in BMD in Stratum I patients E 0.7% decrease in BMD in Stratum II patients over 24 months. Therefore Reclamare given once at rEomization (E placebo given at Month 12) resulted in a 6.3% increase in BMD in Stratum I patients E 5.4% increase in Stratum II patients over 24 months as compared to placebo (both p <0.0001).
Reclamare also significantly increased total hip BMD relative to placebo at Month 24 across both strata. Reclamare given once at rEomization (E placebo given at Month 12) resulted in 2.6% increase in BMD in Stratum I patients E 2.1% in Stratum II patients over 24 months. Placebo given at rEomization E at Month 12 resulted in 2.1% decrease in BMD in Stratum I patients E 1.0% decrease in BMD in Stratum II patients over 24 months. Therefore Reclamare given once at rEomization (E placebo given at Month 12) resulted in a 4.7% increase in BMD in Stratum I patients E 3.2% increase in Stratum II patients over 24 months as compared to placebo (both p <0.0001).
Osteoporosi negli uomini
L'efficacia e la sicurezza dei riclasti negli uomini con osteoporosi o osteoporosi significativa secondaria all'ipogonadismo è stata valutata in uno studio randomizzato attivo attivo attivo multicentrico di 302 uomini di età compresa tra 25 e 86 anni (età media di 64). La durata del processo è stata di due anni. I pazienti sono stati randomizzati a un reclast che è stato somministrato una volta ogni anno come dose di 5 mg in 100 ml di infuso in 15 minuti per un totale di due dosi o a un bisfosfonato settimanale orale (controllo attivo) per un massimo di due anni. Tutti i partecipanti hanno ricevuto 1000 mg di calcio elementare più da 800 a 1000 unità internazionali di supplementazione di vitamina D al giorno.
Effetto sulla densità minerale ossea (BMD)
Un'infusione annuale di reclast era non-interiore al controllo attivo del bisfosfonato settimanale orale in base alla variazione percentuale della BMD della colonna lombare al mese 24 rispetto al basale (reclast: aumento del 6,1%; controllo attivo: aumento del 6,2%).
Trattamento e prevenzione dell'osteoporosi indotta da glucocorticoidi
L'efficacia e la sicurezza dei reclami per prevenire e trattare l'osteoporosi indotta da glucocorticoidi (GIO) è stata valutata in uno studio randomizzato a attiva attivo stratificata in doppio cieco multicentroso di 833 uomini e donne di età compresa tra 18 e 85 anni (età media di 54,4 anni) trattata con maggiore o uguale a 7,5 mg/giorno orali (o equivalenti). I pazienti sono stati stratificati in base alla durata della loro terapia corticosteroidi pre-studio: meno o uguale a 3 mesi prima della randomizzazione (sottopopolazione della prevenzione) e superiore a 3 mesi prima della randomizzazione (sottopopolazione del trattamento). La durata del processo è stata di un anno. I pazienti sono stati randomizzati a un reclast che è stato somministrato una volta come dose di 5 mg in 100 ml di infuso in 15 minuti o a un bifosfonato giornaliero orale (controllo attivo) per un anno. Tutti i partecipanti hanno ricevuto 1000 mg di calcio elementare più da 400 a 1000 unità internazionali di supplementazione di vitamina D al giorno.
Effetto sulla densità minerale ossea (BMD)
Nella sottopopolazione del trattamento GIO Reclast ha dimostrato un aumento medio significativo della BMD della colonna lombare rispetto al controllo attivo a un anno (reclast 4,1% di controllo attivo 2,7%) con una differenza di trattamento dell'1,4% (P <0.001). In the GIO prevention subpopulation Reclamare demonstrated a significant mean increase in lumbar spine BMD compared to active control at one year (Reclamare 2.6% active control 0.6%) with a treatment difference of 2.0% (p <0.001).
Istologia ossea
I campioni di biopsia ossea sono stati ottenuti da 23 pazienti (12 nel gruppo di trattamento di reclast e 11 nel gruppo di trattamento di controllo attivo) al mese 12 trattati con una dose annuale di reclast o controllo attivo orale giornaliero. Le valutazioni qualitative hanno mostrato osso di architettura normale e qualità senza difetti di mineralizzazione. Sono state osservate apparenti riduzioni della frequenza di attivazione e dei tassi di rimodellamento rispetto ai risultati dell'istomorfometria osservati con il reclast nella popolazione di osteoporosi postmenopausa. Le conseguenze a lungo termine di questo grado di soppressione del rimodellamento osseo nei pazienti trattati con glucocorticoidi sono sconosciute.
Trattamento della malattia dell'osso di Paget
Reclamare was studied in male E female patients with moderate to severe Paget’s disease of bone defined as serum alkaline phosphatase level at least twice the upper limit of the age-specific normal reference range at the time of study entry. Diagnosis was confirmed by radiographic evidence.
L'efficacia di un'infusione di 5 mg di reclast rispetto a dosi giornaliere orali di 30 mg di risedronato per 2 mesi è stata dimostrata in due studi randomizzati in doppio cieco a 6 mesi progettati in modo identico. L'età media dei pazienti nei due studi era del 70. Il novantatre percento (93%) dei pazienti era caucasico. La risposta terapeutica è stata definita come normalizzazione della fosfatasi alcalina sierica (SAP) o una riduzione di almeno il 75% dal basale nell'eccesso totale di SAP alla fine di 6 mesi. L'eccesso di SAP è stata definita come la differenza tra il livello misurato e il punto medio dell'intervallo normale.
In entrambi gli studi Reclast ha dimostrato una risposta terapeutica superiore e più rapida rispetto al risedronato e ha restituito più pazienti a livelli normali di turnover osseo, come evidenziato da marcatori biochimici di formazione (propeptide N-terminali di tipo I di tipo I) e Resortfide SAP (SIP-Linked C-telopeptide] e di tipo Croopeptidi di tipo I di tipo I) α-CTX).
I dati combinati a 6 mesi di entrambi gli studi hanno mostrato che il 96% (169/176) dei pazienti trattati con reclast ha raggiunto una risposta terapeutica rispetto al 74% (127/171) dei pazienti trattati con risedronato. La maggior parte dei pazienti reclamati ha ottenuto una risposta terapeutica entro la visita del giorno 63. Inoltre a 6 mesi l'89% (156/176) dei pazienti trattati con reclast ha ottenuto la normalizzazione dei livelli di SAP rispetto al 58% (99/171) dei pazienti trattati con risedronato (P <0.0001) (see Figure 2).
Figura 2. Risposta terapeutica/normalizzazione sierica alcalina fosfatasi (SAP) nel tempo
|
La risposta terapeutica al reclast era simile tra i gruppi demografici e di severità della malattia definiti dall'età di genere precedente l'uso di bisfosfonato e la gravità della malattia. A 6 mesi la percentuale di pazienti trattati con reclast che hanno raggiunto la risposta terapeutica era rispettivamente del 97% e del 95% in ciascuno dei sottogruppi di gravità della malattia basale (SAP basale inferiore a 3xuln maggiore o uguale a 3xuln) rispetto al 75% e al 74% rispettivamente per gli stessi sottogruppi di grave gravità della malattia.
Nei pazienti che avevano precedentemente ricevuto un trattamento con i tassi di risposta terapeutica di bifosfonati orali erano rispettivamente del 96% e del 55% per il reclast e il risedronato. La risposta relativamente bassa del risedronato era dovuta al basso tasso di risposta (7/23 30%) nei pazienti precedentemente trattati con risedronato. Nei pazienti ingenui al trattamento precedente è stata osservata anche una maggiore risposta terapeutica con reclast (98%) rispetto al risedronato (86%). Nei pazienti con dolore sintomatico allo screening dei tassi di risposta terapeutica sono stati rispettivamente del 94% e del 70% per il reclast e il risedronato. Per i pazienti senza dolore allo screening dei tassi di risposta terapeutica erano rispettivamente del 100% e dell'82% per il reclast e il risedronato.
L'istologia ossea è stata valutata in 7 pazienti con malattia di Paget 6 mesi dopo essere stata trattata con 5 mg di reclast. I risultati della biopsia ossea hanno mostrato osso di qualità normale senza evidenza di rimodellamento osseo compromesso e nessuna evidenza di difetto di mineralizzazione.
Informazioni sul paziente per il reclast
Reclamare ®
(RECLAST)
(acido zoledronico) Iniezione
Leggi la guida ai farmaci che viene fornito con reclast prima di iniziare a prenderlo e ogni volta che ricevi una ricarica. Potrebbero esserci nuove informazioni. Questa guida ai farmaci non prende il posto di parlare con il medico delle condizioni mediche o del trattamento. Parla con il tuo medico se hai domande su Reclast.
Quali sono le informazioni più importanti che dovrei sapere sul reclast?
Non dovresti ricevere reclast se stai già ricevendo Zometa. Sia Reclast che Zometa contengono acido zoledronico.
Reclamare can cause serious side effects including:
- Bassi livelli di calcio nel sangue (ipocalcemia)
- Gravi problemi renali
- Gravi problemi di osso mascella (osteonecrosi)
- Insolite fratture dell'osso della coscia
- Articolazione ossea o dolore muscolare
Il medico può prescrivere calcio e vitamina D per aiutare a prevenire bassi livelli di calcio nel sangue mentre prendi reclami. Prendi il calcio e la vitamina D come ti dice il medico.
Dovresti bere almeno 2 bicchieri di liquidi entro poche ore prima di ricevere reclast per ridurre il rischio di problemi renali.
Gravi problemi di osso della mascella possono verificarsi quando si prende il reclast. Il medico dovrebbe esaminare la bocca prima di iniziare a recuperare. Il medico potrebbe dirti di vedere il tuo dentista prima di iniziare a reclamare. È importante per te praticare una buona cura della bocca durante il trattamento con reclast.
Alcune persone hanno sviluppato fratture insolite nell'osso della coscia. I sintomi di una frattura possono includere dolore nuovo o insolito nell'inguine o nella coscia dell'anca.
Alcune persone che prendono bisfosfonati sviluppano un forte dolore osseo o muscolare.
- Bassi livelli di calcio nel sangue (ipocalcemia).
Reclamare may lower the calcium levels in your blood. If you have low blood calcium before you start taking Reclamare it may get worse during treatment. Your low blood calcium must be treated before you take Reclamare. Most people with low blood calcium levels do not have symptoms but some people may have symptoms. Call your doctor right away if you have symptoms of low blood calcium such as:
- Spasmi contrazioni o crampi nei muscoli
- Intorpidimento o formicolio nelle dita delle dita o intorno alla bocca
- Gravi problemi renali.
Gravi problemi renali may happen when you take Reclamare. Gravi problemi renali may lead to hospitalization or kidney dialysis E can be life-threatening. Your risk of kidney problems is higher if you:
- avere già problemi renali
- Prendi una pillola diuretica o d'acqua
- Non avere abbastanza acqua nel tuo corpo (disidratato) prima o dopo aver ricevuto reclast
- sono in età avanzata poiché il rischio aumenta quando si invecchia
- Prendi le medicine conosciute per danneggiare i reni
- Gravi problemi di osso mascella (osteonecrosi).
- Insolite fratture dell'osso della coscia.
- Articolazione ossea o dolore muscolare.
Chiama subito il tuo medico se hai uno di questi effetti collaterali.
Cos'è il reclast?
Reclamare is a prescription medicine used to:
- Trattare o prevenire l'osteoporosi nelle donne dopo menopausa . Il reclast aiuta a ridurre la possibilità di avere un'anca o una frattura spinale (rottura).
- Aumenta la massa ossea negli uomini con osteoporosi.
- Trattare o prevenire l'osteoporosi negli uomini o nelle donne che assumerà medicinali corticosteroidi per almeno un anno.
- Tratta alcuni uomini e donne che hanno la malattia di Paget dell'osso.
Non è noto per quanto tempo il reclast funzioni per il trattamento e la prevenzione dell'osteoporosi. Dovresti vedere il tuo medico regolarmente per determinare se Reclast è ancora giusto per te.
Reclamare is not for use in children.
Chi non dovrebbe prendere reclast?
Non prendere reclast se tu:
- Avere bassi livelli di calcio nel sangue
- Avere problemi ai reni
- Sono allergici all'acido zoledronico o a uno qualsiasi dei suoi ingredienti. Un elenco di ingredienti è alla fine di questo opuscolo.
Cosa dovrei dire al mio medico prima di prendere Reclast?
Prima di iniziare a reclamare, assicurati di parlare con il proprio medico se:
- Avere calcio a basso sangue.
- Avere problemi ai reni.
- Ha avuto un chirurgia paratiroide o tiroide (ghiandole al collo).
- Ti è stato detto che hai difficoltà ad assorbire i minerali nello stomaco o nell'intestino (sindrome da malassorbimento) o hai rimosso parti dell'intestino.
- Avere l'asma (respiro sibilante) di prendere l'aspirina.
- Pianificare di rimuovere la chirurgia dentale o i denti.
- Sono incinta o prevedono di rimanere incinta. Reclamare should not be used if you are pregnant. Non è noto se reclast può danneggiare il tuo bambino non ancora nato.
- Stanno allattando o pianificano di allattare. Non è noto se il reclast passa nel latte e può danneggiare il tuo bambino.
- Racconta al tuo medico di tutte le medicine che prendi tra cui medicinali di prescrizione e non prescrizione vitamine e integratori a base di erbe. Alcuni medicinali possono influire su come funziona il reclast.
Soprattutto dillo al tuo medico se stai assumendo:
- UN antibiotico . Alcuni medicinali antibiotici chiamati aminoglicosidi possono aumentare l'effetto del riclasto nell'abbassamento del calcio nel sangue per un lungo periodo di tempo.
- Una pillola diuretica o d'acqua.
- NOn-steroidal anti-inflammatory medicines (NSAIDS).
Chiedi al tuo medico o al farmacista un elenco di questi medicinali se non sei sicuro.
Conosci le medicine che prendi. Tienilo un elenco e mostralo al tuo medico e al farmacista ogni volta che ottieni un nuovo medicinale.
Come riceverò reclast?
- Il tuo medico ti dirà quante volte riceverai reclast.
- Reclamare is given by infusion into your vein (intravenously). Your infusion should last at least 15 minutes.
- Prima di ricevere una bevanda reclasta di almeno 2 bicchieri di liquido (come l'acqua) entro poche ore come indicato dal medico.
- Puoi mangiare prima del trattamento con reclast.
- Se perdi una dose di reclast, chiama il medico o il medico per programmare la tua prossima dose.
Quali sono i possibili effetti collaterali di Reclast?
Reclamare may cause serious side effects.
- Vedere Quali sono le informazioni più importanti che dovrei sapere sul reclast?
Gli effetti collaterali più comuni del reclast inclusi:
- Febbre
- Dolore alle articolazioni o ai muscoli delle ossa
- Dolore alle braccia e alle gambe
- Mal di testa
- Malattia simile all'influenza (Febbre brividi d'articolazione ossea o affaticamento del dolore muscolare)
- Nausea
- Vomito
- Diarrea
Parla con il tuo medico di cose che puoi fare per aiutare a ridurre alcuni di questi effetti collaterali che potrebbero accadere con un'infusione di reclast.
Potresti ottenere reazioni allergiche come gli alveari gonfiore della lingua o della gola delle labbra del viso.
Di 'al medico se hai qualche effetto collaterale che ti disturba o che non scompare.
Questi non sono tutti i possibili effetti collaterali del reclast. Per ulteriori informazioni chiedi al medico o al farmacista.
Chiama il medico per consigli medici sugli effetti collaterali. È possibile segnalare gli effetti collaterali alla FDA al numero 1-800-FDA-1088.
Informazioni generali sull'uso sicuro ed efficace del reclast.
Le medicine sono talvolta prescritte a fini diversi da quelli elencati in una guida ai farmaci. Questa guida ai farmaci sintetizza le informazioni più importanti su Reclast. Se desideri più informazioni, parla con il tuo medico. Puoi chiedere al tuo medico o al farmacista informazioni sui reclast scritti per gli operatori sanitari.
Per ulteriori informazioni, visitare: www.pharma.us.novartis.com o chiamare il numero 1-888-669-6682.
Quali sono gli ingredienti di Reclast?
Enazione attiva: monoidrato acido zoledronico.
Ingredienti inattivi: mannitolo e citrato di sodio.
Queste informazioni sui pazienti sono state approvate dalla Food and Drug Administration degli Stati Uniti.