Le Informazioni Presenti Sul Sito Non Costituiscono Consulenza Medica. Non Vendiamo Nulla. L'Accuratezza Della Traduzione Non È Garantita. Disclaimer
Anticholinergics, genitourinary
Detrol
Riepilogo della droga
Cos'è Detrol?
Compresse di detrolo (tolterodina tartarato) prescritte per il trattamento della vescica iperattiva con sintomi di urgenza e frequenza di incontinenza urinaria.
Quali sono gli effetti collaterali di Detrol?
Gli effetti collaterali di Detrol includono:
- bocca secca
- occhi secchi
- visione sfocata
- mal di testa
- vertigini
- sonnolenza
- stipsi
- diarrea
- Dolori di stomaco o sconvolgimento
- Dolore articolare
Dì al tuo medico se hai gravi effetti collaterali di Detrol, incluso:
- Cambiamenti della visione
- Forte stomaco o dolore addominale
- problemi di urinare o
- Segni di infezione renale (come bruciore o minzione dolorosa inferiore mal di schiena febbre).
Dosaggio per Detrol
Detrol è disponibile in compresse di resistenza da 1 e 2 mg. La dose iniziale raccomandata di compresse Detrol è di 2 mg due volte al giorno. Detrol può interagire con i medicinali di antibiotici per antibiotici di pentamidina di pentamidina di pentamidina di pentamidina di pentamidina per clorochide cloroquina per arsenico per trattare disturbi psichiatrici o medicinali per il ritmo cardiaco. Dì al medico tutti i farmaci e gli integratori che usi.
Quali sostanze o integratori di farmaci interagiscono con Detrol?
Non ci sono studi sul detrolo nelle donne in gravidanza; Pertanto Detrol dovrebbe essere utilizzato durante la gravidanza solo se il potenziale beneficio per la madre giustifica il potenziale rischio per il feto. Non è noto se Detrol passa nel latte materno. Le donne che stanno pensando all'allattamento o all'allattamento al seno non devono allattare mentre prendono Detrol o interrompere l'assunzione del farmaco. Non è stata dimostrata l'efficacia o la sicurezza dei detrol nella popolazione pediatrica.
Ulteriori informazioni
Il nostro Centro farmacologico per effetti collaterali di DETROL (Tolterodine Tartrate) fornisce una visione completa delle informazioni disponibili sui farmaci sui potenziali effetti collaterali quando si assume questo farmaco.
Informazioni sui farmaci FDA
- Descrizione del farmaco
- Indicazioni
- Effetti collaterali
- Avvertimenti
- Overdose
- Farmacologia clinica
- Guida ai farmaci
Descrizione per Detrol
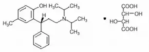
Le compresse di detrollo contengono tartrato di tolterodina. La tolterodina attiva della porzione è un antagonista del recettore muscarinico. Il nome chimico del tartrato di tolterodina è (r) -2- [3- [bis (1-metiletil) -amino] 1-fenilpropil] -4- metilfenolo [r- (r*r*)]-23dihydrossibutanedioato (1: 1) (sale). La formula empirica del tartrato di torodina è C 26 H 37 NO 7 e il suo peso molecolare è 475,6. La formula strutturale del tartrato di tolterodina è rappresentata di seguito:
|
Il tartrato di tolterodina è una polvere cristallina bianca. Il valore PKA è di 9,87 e la solubilità in acqua è di 12 mg/mL. È solubile in metanolo leggermente solubile in etanolo e praticamente insolubile in toluene. Il coefficiente di partizione (log d) tra n-ottanolo e acqua è 1,83 a pH 7,3.
Le compresse di detrolo per somministrazione orale contengono 1 o 2 mg di tartrato di torodina. Gli ingredienti inattivi sono l'idrogeno fosfato di callulosio di cellulosa di cellulosa di cellulosa di cellulosa di cellulosa di cellulosa di cellulosa di idroge a magnesio di sodio glicolato (pH da 3,0 a 5,0) e biossido di titanio.
Usi per Detrol
Le compresse di Detrol sono indicate per il trattamento della vescica iperattiva con sintomi di urgenza e frequenza di incontinenza urinaria.
Dosaggio per Detrol
La dose iniziale raccomandata di compresse Detrol è di 2 mg due volte al giorno. La dose può essere ridotta a 1 mg due volte al giorno in base alla risposta e alla tollerabilità individuali. Per i pazienti con una funzione epatica o renale significativamente ridotta o che stanno attualmente assumendo farmaci che sono potenti inibitori del CYP3A4, la dose raccomandata di Detrol è 1 mg due volte al giorno (vedi PRECAUZIONI Generale PRECAUZIONI Funzione epatica e renale ridotta E Interazioni farmacologiche ).
Come fornito
Compresse di detrollo 1 mg (tavolette bianche rotonde di Biconvex con rivestimento inciso con archi sopra e sotto le lettere a) e Compresse di detrollo 2 mg (Le compresse con rivestimento di pellicola Biconvex bianco inciso incise con archi sopra e sotto le lettere dt) sono fornite come segue:
Bottiglie di 60
1 mg Ndc 0009-4541-02
2 mg Ndc 0009-4544-02
Bottiglie di 500
2 mg Ndc 0009-4544-03
Puoi ottenere in alto su Pyridium
Conservare a 25 ° C (77 ° F); Escursioni consentite a 15-30 ° C (59-86 ° F) [vedi A temperatura ambiente controllata da USP ] (Dtl).
L'etichetta di questo prodotto potrebbe essere stata aggiornata. Per le attuali informazioni sulla prescrizione completa, visitare www.pfizer.com.
Distribuito da: Pharmacia
Effetti collaterali per Detrol
Il programma di sperimentazione clinica di fase 2 e 3 per compresse Detrol includeva 3071 pazienti che sono stati trattati con Detrol (n = 2133) o placebo (n = 938). I pazienti sono stati trattati con 1 2 4 4 o 8 mg/die per un massimo di 12 mesi. Non sono state identificate differenze nel profilo di sicurezza della tolterodina in base alla razza di genere o al metabolismo dell'età.
I dati descritti di seguito riflettono l'esposizione all'offerta di Detrol 2 mg in 986 pazienti e a placebo in 683 pazienti esposti per 12 settimane in studi clinici controllati a cinque fasi 3. Poiché gli studi clinici sono condotti in condizioni di reazione avverse ampiamente variabili osservate negli studi clinici di un farmaco non possono essere paragonati direttamente ai tassi negli studi clinici di un altro farmaco e potrebbero non riflettere i tassi osservati nella pratica. Le informazioni di reazione avversa degli studi clinici forniscono tuttavia una base per identificare gli eventi avversi che sembrano essere correlati all'uso di droghe e ai tassi di approssimazione.
Il sessantasei per cento dei pazienti che ricevono un'offerta Detrol 2 mg ha riportato eventi avversi contro il 56% dei pazienti con placebo. Gli eventi avversi più comuni riportati dai pazienti che ricevevano detrolo sono stati la costipazione del mal di testa della bocca secca vertigini/vertigini e il dolore addominale. Costipazione della bocca secca della visione anormale (anomalie della sistemazione) La ritenzione urinaria e la xerophtalmia sono previsti effetti collaterali degli agenti antimuscarinici.
La faucia secca è stata l'evento avverso più frequentemente riportato per i pazienti trattati con offerta di detrol 2 mg negli studi clinici di fase 3 che si verificano nel 34,8% dei pazienti trattati con Detrol e il 9,8% dei pazienti trattati con placebo. L'uno per cento dei pazienti trattati con il trattamento detroling sospeso a causa della bocca secca.
La frequenza di interruzione dovuta agli eventi avversi è stata più alta durante le prime 4 settimane di trattamento. Il sette percento dei pazienti trattati con il trattamento con interruzione di Detrol 2 mg ha interrotto a causa di eventi avversi contro il 6% dei pazienti con placebo. Gli eventi avversi più comuni che hanno portato alla sospensione di Detrol sono stati vertigini e mal di testa.
Il tre percento dei pazienti trattati con un'offerta Detrol 2 mg ha riportato un evento avverso grave rispetto al 4% dei pazienti con placebo. Significativi cambiamenti di ECG in QT e QTC non sono stati dimostrati nei pazienti con studio clinico trattati con offerta Detrol 2 mg. La tabella 5 elenca gli eventi avversi riportati nell'1% o più dei pazienti trattati con offerta Detrol 2 mg negli studi di 12 settimane. Gli eventi avversi sono riportati indipendentemente dalla causalità.
Tabella 5: incidenza* (%) di eventi avversi che superano il tasso di placebo e riportato in> 1% dei pazienti trattati con compresse di Detrol (2 mg di offerta) in studi clinici di fase 3 di 12 settimane
| Sistema del corpo | Evento avverso | % Detrol N = 986 | % Placebo N = 683 |
| Nervoso autonomo | alloggio anormale | 2 | 1 |
| bocca secca | 35 | 10 | |
| Generale | dolore al petto | 2 | 1 |
| fatica | 4 | 3 | |
| mal di testa | 7 | 5 | |
| sintomi simili all'influenza | 3 | 2 | |
| Nervoso centrale/periferico | vertigini/vertigini | 5 | 3 |
| Gastrointestinale | Dolore addominale | 5 | 3 |
| stipsi | 7 | 4 | |
| diarrea | 4 | 3 | |
| dispepsia | 4 | 1 | |
| Urinario | disuria | 2 | 1 |
| Pelle/appendici | pelle secca | 1 | 0 |
| Muscoloscheletrico | artralgia | 2 | 1 |
| Visione | xerophthalmia | 3 | 2 |
| Psichiatrico | sonnolenza | 3 | 2 |
| Metabolico/nutrizionale | aumento di peso | 1 | 0 |
| Meccanismo di resistenza | infezione | 1 | 0 |
| * Nel numero intero più vicino. |
Sorveglianza post-marketing
I seguenti eventi sono stati segnalati in associazione con l'uso di Tolterodine nell'esperienza post-marketing in tutto il mondo: generale: anafilassi e angioedema; Cardiovascolare: palpitazioni tachicardia edema periferico; Nervo di periferia centrale/periferica: allucinazioni per la memoria del disorientamento della confusione.
Sono state riportate segnalazioni di aggravamento dei sintomi della demenza (ad es. Delusione di disorientamento della confusione) dopo che la terapia della tolterodina è stata iniziata in pazienti che assumevano inibitori della colinesterasi per il trattamento della demenza.
Poiché questi eventi spontaneamente segnalati provengono dall'esperienza di post-marketing mondiale della frequenza degli eventi e il ruolo della tolterodina nella loro causalità non può essere determinato in modo affidabile.
Interazioni farmacologiche per Detrol
Inibitori del CYP3A4
Ketoconazolo Un inibitore dell'enzima metabolizzante del farmaco CYP3A4 ha aumentato significativamente le concentrazioni plasmatiche di torodina quando si sono somministrati in co -amministrazione a soggetti che erano poveri metabolizzatori (vedi Farmacologia clinica Variabilità nelle interazioni del metabolismo e della droga ). For patients receiving ketoconazole or other potent CYP3A4 inhibitors such as other azole antifungals (e.g. itraconazole miconazole) or macrolide antibiotics (e.g. erythromycin clarithromycin) or cyclosporine or vinblastine the recommended dose of DETROL is 1 mg twice daily (see Dosaggio e amministrazione ).
Interazioni di test farmaco-laboratorio
Le interazioni tra tolterodina e test di laboratorio non sono state studiate.
Avvertimenti per Detrol
L'anafilassi e l'angiedema che richiedono un ricovero in ospedale e cure mediche di emergenza si sono verificate con le prime o successive dosi di detrolo. In caso di difficoltà nel respirare l'ostruzione delle vie aeree superiori o la caduta nella pressione sanguigna, il detrollo dovrebbe essere sospeso e la terapia appropriata è prontamente fornita.
Precauzioni per Detrol
Generale
Rischio di ritenzione urinaria e conservazione gastrica
Le compresse Detrol devono essere somministrate con cautela ai pazienti con ostruzione del deflusso della vescica clinicamente significativa a causa del rischio di ritenzione urinaria e ai pazienti con disturbi ostruttivi gastrointestinali come la stenosi pilorica a causa del rischio di ritenzione gastrica (vedi Controindicazioni ).
Ridotta motilità gastrointestinale
Detrol come altri farmaci antimuscarinici dovrebbe essere usato con cautela nei pazienti con ridotta motilità gastrointestinale.
Glaucoma ad angolo stretto controllato
Il detrolo dovrebbe essere usato con cautela nei pazienti trattati per glaucoma ad angolo stretto.
Effetti del sistema nervoso centrale (SNC)
Detrol è associato agli effetti del sistema nervoso centrale anticolinergico (SNC) tra cui vertigini e sonnolenza (vedi Reazioni avverse ). Patients should be monitored for signs of anticholinergic CNS effects particularly after beginning treatment or increasing the dose. Advise patients not to drive or operate heavy machinery until the drug's effects have been determined. If a patient experiences anticholinergic CNS effects dose reduction or drug discontinuation should be considered.
Funzione epatica e renale ridotta
Per i pazienti con funzione epatica significativamente ridotta o funzione renale la dose raccomandata di Detrol è 1 mg due volte al giorno (vedi Farmacologia clinica Farmacocinetica in popolazioni speciali ).
Myastenia gravis
Il detrolo dovrebbe essere usato con cautela nei pazienti con miastenia grave una malattia caratterizzata da una ridotta attività colinergica alla giunzione neuromuscolare.
Pazienti con prolungamento QT congeniti o acquisiti
In uno studio dell'effetto delle compresse di rilascio immediato di tolterodina sull'intervallo QT (vedi Farmacologia clinica Elettrofisiologia cardiaca ) L'effetto sull'intervallo QT è apparso maggiore per 8 mg/die (due volte la dose terapeutica) rispetto a 4 mg/die ed è stato più pronunciato nei poveri metabolizzatori del CYP2D6 (PM) rispetto a ampi metabolizzatori (EMS). L'effetto della tolterodina 8 mg/die non era così grande come quello osservato dopo quattro giorni di dosaggio terapeutico con la moxifloxacina di controllo attivo. Tuttavia, gli intervalli di confidenza si sono sovrapposti. Queste osservazioni dovrebbero essere considerate nelle decisioni cliniche per prescrivere Detrol per i pazienti con una storia nota di prolungamento QT o pazienti che stanno assumendo i farmaci antiaritmici di classe IA (ad esempio chinidina procainamide) o di classe III (ad esempio amiodarone sotalol) Interazioni farmacologiche ). There has been no association of Torsade de Pointes in the international post-marketing experience with DETROL or DETROL LA.
Informazioni per i pazienti
I pazienti devono essere informati che agenti antimuscarinici come Detrol possono produrre i seguenti effetti: vertigini della visione sfocata o sonnolenza. Ai pazienti dovrebbe essere consigliato di prestare attenzione nelle decisioni per impegnarsi in attività potenzialmente pericolose fino a quando non sono stati determinati gli effetti del farmaco.
Mutagenesi della carcinogenesi compromissione della fertilità
Studi di cancerogenicità con torodina sono stati condotti in topi e ratti. Alla dose massima tollerata nei topi (30 mg/kg/giorno) ratti femmine (20 mg/kg/die) e ratti maschi (30 mg/kg/giorno) i valori AUC ottenuti per tolterodina erano rispettivamente 355 291 e 462 μg • H/L. In confronto, il valore AUC umano per una dose di 2 mg somministrata due volte al giorno è stimato a 34 μg • H/L. Pertanto, l'esposizione alla tolterodina negli studi di cancerogenicità era da 9 a 14 volte superiore al previsto nell'uomo. Nessun aumento dei tumori è stato riscontrato nei topi o nei ratti.
Non sono stati rilevati effetti mutageni della tolterodina in vitro Test tra cui test di mutazione batterica (test AMES) in 4 ceppi di Salmonella typhimurium e in 2 ceppi di escherichia coli un test di mutazione genica nelle cellule di linfoma del topo L5178Y e test di aberrazione cromosomica nei linfociti umani. Anche la tolterodina era negativa in vivo Nel test del micronucleo del midollo osseo nel topo.
Nei topi femmine trattati per 2 settimane prima dell'accoppiamento e durante la gestazione con 20 mg/kg/giorno (corrispondente al valore AUC di circa 500 μg • H/L) non sono stati osservati né effetti sulle prestazioni riproduttive o sulla fertilità. Sulla base dei valori AUC, l'esposizione sistemica era circa 15 volte più alta negli animali che negli umani. Nei topi maschi una dose di 30 mg/kg/giorno non ha induce effetti negativi sulla fertilità.
Gravidanza
La tolterodina somministrata a dosi orali di 20 mg/kg/die (circa 14 volte l'esposizione umana) non ha mostrato anomalie o malformazioni nei topi. Se somministrato a dosi da 30 a 40 mg/kg/giorno della torodina ha dimostrato di essere embrioletale riduce il peso fetale e aumenta l'incidenza di anomalie fetali (anomalie digitali del palatosante e emorragia intra-addominale e varie anomalie scheletriche principalmente ridotte nei topi. A queste dosi i valori AUC erano di circa 20-25 volte più alti rispetto agli umani. I conigli trattati per via sottocutanea alla dose di 0,8 mg/kg/giorno hanno raggiunto un AUC di 100 μg • H/L che è circa 3 volte superiore a quello derivante dalla dose umana. Questa dose non ha comportato alcuna embriotossicità o teratogenicità. Non ci sono studi sulla tolterodina nelle donne in gravidanza. Pertanto Detrol dovrebbe essere utilizzato durante la gravidanza solo se il potenziale beneficio per la madre giustifica il potenziale rischio per il feto.
Madri infermieristiche
La tolterodina viene escreta nel latte nei topi. La progenie di topi femmine trattati con tolterodina 20 mg/kg/giorno durante il periodo di allattamento ha avuto un aumento di peso corporeo leggermente ridotto. La prole ha riguadagnato il peso durante la fase di maturazione. Non è noto se la tolterodina sia escreta nel latte umano; Pertanto Detrol non deve essere somministrato durante l'assistenza infermieristica. Dovrebbe essere presa una decisione se interrompere l'assistenza infermieristica o interrompere il detrollo delle madri infermieristiche.
Uso pediatrico
L'efficacia nella popolazione pediatrica non è stata dimostrata.
Sono stati condotti due studi pediatrici randomizzati randomizzati in doppio cieco controllati con placebo utilizzando capsule di rilascio esteso di tolterodina (Detrol LA). Sono stati studiati un totale di 710 pazienti pediatrici (486 su Detrol LA e 224 su placebo) di età compresa tra 5 e 10 anni con frequenza urinaria e sollecitazioni urinarie. La percentuale di pazienti con infezioni del tratto urinario era maggiore nei pazienti trattati con Detrol LA (NULL,6%) rispetto ai pazienti che hanno ricevuto placebo (NULL,5%). Comportamento anormale e iperattivo aggressivo e disturbi dell'attenzione si sono verificati nel 2,9% dei bambini trattati con Detrol LA rispetto allo 0,9% dei bambini trattati con placebo.
Uso geriatrico
Dei 1120 pazienti che sono stati trattati negli studi clinici a quattro fasi 3 di 12 settimane di Detrol 474 (42%) avevano 65-91 anni. Non sono state osservate differenze complessive di sicurezza tra i pazienti più anziani e più giovani (vedi Farmacologia clinica Farmacocinetica in popolazioni speciali ).
Informazioni per overdose per Detrol
Un bambino di 27 mesi che ha ingerito compresse da 5 a 7 detrol 2 mg è stato curato con una sospensione del carbone attivo ed è stato ricoverato in ospedale durante la notte con sintomi di secchezza delle fauci. Il bambino si è completamente ripreso.
Gestione del sovradosaggio
Il sovradosaggio con Detrol può potenzialmente provocare gravi effetti anticolinergici centrali e deve essere trattato di conseguenza.
Il monitoraggio ECG è raccomandato in caso di sovradosaggio. Nei cambiamenti dei cani nell'intervallo QT (leggero prolungamento del 10% al 20%) sono stati osservati a una dose suprapharmacologica di 4,5 mg/kg che è circa 68 volte superiore alla dose umana raccomandata. Negli studi clinici su volontari normali e pazienti il prolungamento dell'intervallo QT è stato osservato con il rilascio immediato di tolterodina a dosi fino a 8 mg (4 mg) e non sono state valutate dosi più elevate (vedi PRECAUZIONI Pazienti con prolungamento QT congeniti o acquisiti ).
Controindicazioni per Detrol
Le compresse di Detrol sono controindicate nei pazienti con ritenzione gastrica di ritenzione urinaria o glaucoma strettangolo incontrollato. Detrol è anche controindicato nei pazienti che hanno dimostrato l'ipersensibilità al farmaco o ai suoi ingredienti o alle compresse di release estese fumarate di fesoterodina che come Detrol sono metabolizzate in 5-idrossimetil tolterodina.
Farmacologia clinica for Detrol
La tolterodina è un antagonista del recettore muscarinico competitivo. Sia la contrazione della vescica urinaria che la salivazione sono mediate da recettori muscarinici colinergici.
Dopo la somministrazione orale la toterodina viene metabolizzata nel fegato con conseguente formazione del derivato 5-idrossimetilico un importante metabolita farmacologicamente attivo. Il metabolita del 5-idrossimetil che mostra un'attività antimuscarinica simile a quella della tolterodina contribuisce in modo significativo all'effetto terapeutico. Sia la tolterodina che il metabolita del 5-idrossimetil mostrano un'alta specificità per i recettori muscarinici poiché entrambi mostrano attività trascurabili o affinità per altri recettori dei neurotrasmettitori e altri potenziali bersagli cellulari come i canali del calcio.
La tolterodina ha un effetto pronunciato sulla funzione della vescica. Gli effetti sui parametri urodinamici prima e 1 e 5 ore dopo una singola dose di 6,4 mg di rilascio immediato di tolterodina sono stati determinati in volontari sani. Gli effetti principali della tolterodina a 1 e 5 ore sono stati un aumento delle urine residue che riflettono uno svuotamento incompleto della vescica e una diminuzione della pressione del detrusore. Questi risultati sono coerenti con un'azione antimuscarinica sul tratto urinario inferiore.
Farmacocinetica
Assorbimento
In uno studio con 14 La soluzione di C-torodina in volontari sani che hanno ricevuto una dose orale di 5 mg di almeno il 77% della dose radiomarcata è stato assorbito. Il rilascio immediato della tolterodina viene rapidamente assorbito e le concentrazioni sieriche massime (CMAX) si verificano in genere entro 1-2 ore dopo la somministrazione della dose. CMAX e area sotto la curva del tempo di concentrazione (AUC) determinate dopo il dosaggio del rilascio immediato di tolterodina sono doseproporzionali nell'intervallo da 1 a 4 mg.
Effetto del cibo
L'assunzione di alimenti aumenta la biodisponibilità della tolterodina (aumento medio del 53%) ma non influisce sui livelli del metabolita del 5-idrossimetil in metabolizzatori estesi. Non si prevede che questo cambiamento sia un problema di sicurezza e non è necessario un adeguamento della dose.
Distribuzione
La torodina è altamente legata alle proteine plasmatiche principalmente glicoproteina acidica α1. Concentrazioni illimitate di tolterodina media 3,7% ± 0,13% nell'intervallo di concentrazione ottenuto negli studi clinici. Il metabolita 5-idrossimetil non è ampiamente legato alla proteina con concentrazioni di frazione non legata in media il 36% ± 4,0%. Il rapporto di sangue / siero tra tolterodina e metabolita del 5-idrossimetil è in media 0,6 e 0,8 indicando rispettivamente che questi composti non si distribuiscono ampiamente negli eritrociti. Il volume di distribuzione della tolterodina dopo la somministrazione di una dose endovenosa di 1,28 mg è di 113 ± 26,7 L.
Metabolismo
La torodina è ampiamente metabolizzata dal fegato seguendo il dosaggio orale. La via metabolica primaria prevede l'ossidazione del gruppo 5-metilico ed è mediata dal citocromo P450 2D6 (CYP2D6) e porta alla formazione di un metabolite 5-idrossimetil di 5-idrossimetil farmacologicamente attivo. Un ulteriore metabolismo porta alla formazione dell'acido 5-carbossilico e dei metaboliti dell'acido 5-carbossilico-carbossilico che rappresentano il 51% ± 14% e il 29% ± 6,3% dei metaboliti recuperati rispettivamente nelle urine.
Variabilità nel metabolismo
Un sottoinsieme (circa il 7%) della popolazione è privo di CYP2D6 l'enzima responsabile della formazione del metabolita 5-idrossimetil di tolterodina. Il percorso identificato del metabolismo per questi individui (poveri metabolizzatori) è il dealkylation tramite citocromo P450 3A4 (CYP3A4) alla tolterodina N-dealchilata. Il resto della popolazione è indicato come ampi metabolizzatori. Studi di farmacocinetica hanno rivelato che la tolterodina è metabolizzata a un ritmo più lento in metabolizzatori poveri che in metabolizzatori ampi; Ciò si traduce in concentrazioni sieriche significativamente più elevate di torodina e in concentrazioni trascurabili del metabolita del 5-idrossimetil.
Escrezione
In seguito alla somministrazione di una dose orale di 5 mg di soluzione di Tolterodina a C a volontari sani, il 77% della radioattività è stato recuperato nelle urine e il 17% è stato recuperato in feci in 7 giorni. Meno dell'1% ( <2.5% in poor metabolizers) of the dose was recovered as intact tolterodine E 5% to 14% ( < 1% in poor metabolizers) was recovered as the active 5-hydroxymethyl metabolite.
Un riepilogo dei parametri farmacocinetici medi (± deviazione standard) del rilascio immediato della tolterodina e del metabolita del 5-idrossimetil di metaboliti in metabolizzatori estesi (EM) e poveri (PM) sono forniti nella Tabella 1. Questi dati sono stati ottenuti dopo dosi singole e multiple di Tolterodina 4 mg somministrate due volte al giorno a 16 volontari sani (8 EM).
Tabella 1: Riepilogo dei parametri farmacocinetici medi (± DS) della tolterodina e del suo metabolita attivo (5-idrossimetil metabolite) in volontari sani
| Fenotipo (CYP2D6) | Tolterodina | 5-idrossimetil metabolita | |||||||
| TMAX (H) | CMAX* (μg/L) | Cavg* (μg/L) | t½ (h) | CL/F (L/H) | TMAX (H) | CMAX* (μg/L) | Cavg* (μg/L) | t½ (h) | |
| Monodose | |||||||||
| 1,6 ± 1,5 | 1,6 ± 1,2 | 0,50 ± 0,35 | 2,0 ± 0,7 | 534 ± 697 | 1,8 ± 1,4 | 1,8 ± 0,7 | 0,62 ± 0,26 | 3,1 ± 0,7 | |
| 1,4 ± 0,5 | 10 ± 4,9 | 8,3 ± 4,3 | 6,5 ± 1,6 | 17 ± 7,3 | † | † | † | † | |
| Dose multipla | |||||||||
| 1,2 ± 0,5 | 2,6 ± 2,8 | 0,58 ± 0,54 | 2,2 ± 0,4 | 415 ± 377 | 1,2 ± 0,5 | 2,4 ± 1,3 | 0,92 ± 0,46 | 2,9 ± 0,4 | |
| 1,9 ± 1,0 | 19 ± 7,5 | 12 ± 5,1 | 9,6 ± 1,5 | 11 ± 4,2 | † | † | † | † | |
| CMAX = concentrazione plasmatica massima; tmax = tempo di occorrenza di cmax; Cavg = concentrazione plasmatica media; t½ = emivita di eliminazione terminale; Cl/f = spazio orale apparente. EM = ampi metabolizzatori; PM = poveri metabolizzatori *Il parametro è stato normalizzato dalla dose da 4 mg a 2 mg. † = non applicabile |
Farmacocinetica In Special Populations
Età
Negli studi di fase 1 a dosi multiple in cui la rilascio immediato di tolterodina 4 mg (2 mg di offerta) è stata somministrata concentrazioni sieriche di torodina e del 5-idrossimetil metabolite erano simili nei volontari anziani sani (di età compresa tra 60 e 80 anni) e giovani volontari sani (di età inferiore a 40 anni). In un altro studio di fase 1, i volontari degli anziani (di età compresa tra 71 e 81 anni) sono stati somministrati tolterodine a rilascio immediato 2 o 4 mg (1 o 2 mg di offerta). Le concentrazioni sieriche medie di torodina e il metabolita del 5-idrossimetil in questi volontari anziani erano rispettivamente di circa il 20% e il 50% in più rispetto a quelle riportate nei giovani volontari sani. Tuttavia, non sono state osservate differenze complessive nella sicurezza tra i pazienti più anziani e più giovani sulla tolterodina negli studi clinici controllati da 12 settimane di fase 3; Pertanto non si raccomanda alcun regolazione del dosaggio di tolterodina per i pazienti anziani (vedi PRECAUZIONI Uso geriatrico ).
Pediatrico
La farmacocinetica della tolterodina non è stata stabilita nei pazienti pediatrici.
Genere
La farmacocinetica del rilascio immediato di tolterodina e il metabolita del 5-idrossimetil non sono influenzati dal genere. CMAX medio di torodina (NULL,6 μg/L nei maschi contro 2,2 μg/L nelle femmine) e il metabolite 5- idrossimetilico attivo (NULL,2 μg/l nei maschi rispetto a 2,5 μg/l nelle femmine) sono simili nei maschi e nelle femmine che sono state somministrate a rilascio di toterodine 2 mg. I valori medi di AUC della tolterodina (NULL,7 μg • H/L nei maschi rispetto a 7,8 μg • H/L nelle femmine) e il 5-idrossimetil metabolita (10 μg • H/L nei maschi rispetto a 11 μg • H/L nelle femmine) sono simili. L'emivita di eliminazione della tolterodina sia per i maschi che per le femmine è di 2,4 ore e l'emivita del metabolita 5-idrossimetil è 3,0 ore nelle femmine e 3,3 ore nei maschi.
Gara
Le differenze farmacocinetiche dovute alla razza non sono state stabilite.
Insufficienza renale
La compromissione renale può alterare significativamente la disposizione del rilascio immediato di tolterodina e dei suoi metaboliti. In uno studio condotto su pazienti con clearance della creatinina tra 10 e 30 ml/min il rilascio immediato della tolterodina e i livelli di metaboliti del 5-idrossimetil erano circa 2-3 volte più alti nei pazienti con compromissione renale rispetto ai volontari sani. I livelli di esposizione di altri metaboliti della tolterodina (ad es. Tolterodina acido n-dealcilato di tolterodina acido n-dealcilato tolterodina e toLterodina idrossilata di N-dealxilata) erano significativamente più alti (10-30 volte) nei pazienti con compromesso renamente rispetto ai volontari sani. Il dosaggio raccomandato per i pazienti con una funzione renale significativamente ridotta è detrol 1 mg due volte al giorno (vedi PRECAUZIONI Generale E Dosaggio e amministrazione ).
Insufficienza epatica
La compromissione del fegato può alterare significativamente la disposizione del rilascio immediato di tolterodina. In uno studio condotto su pazienti cirrotici, l'emivita di eliminazione del rilascio immediato di torodina è stata più lunga nei pazienti cirrotici (media 7,8 ore) rispetto ai giovani sani e agli anziani (media da 2 a 4 ore). La clearance della tolterodina somministrata per via orale era sostanzialmente inferiore nei pazienti cirrotici (NULL,0 ± 1,7 L/h/kg) rispetto ai volontari sani (NULL,7 ± 3,8 L/h/kg). La dose raccomandata per i pazienti con una funzione epatica significativamente ridotta è detrol 1 mg due volte al giorno (vedi PRECAUZIONI Generale E Dosaggio e amministrazione ).
Interazioni farmaco-farmaco
Fluoxetina
Fluoxetina is a selective serotonin reuptake inhibitor E a potent inhibitor of CYP2D6 activity. In a study to assess the effect of fluoxetine on the pharmacokinetics of tolterodine immediate release E its metabolites it was observed that fluoxetine significantly inhibited the metabolism of tolterodine immediate release in extensive metabolizers resulting in a 4.8-fold increase in tolterodine AUC. There was a 52% decrease in Cmax E a 20% decrease in AUC of the 5-hydroxymethyl metabolite. Fluoxetina thus alters the pharmacokinetics in patients who would otherwise be extensive metabolizers of tolterodine immediate release to resemble the pharmacokinetic profile in poor metabolizers. The sums of unbound serum concentrations of tolterodine immediate release E the 5-hydroxymethyl metabolite are only 25% higher during the interaction. No dose adjustment is required when DETROL E fluoxetine are coadministered.
Altri farmaci metabolizzati dagli isoenzimi del citocromo P450
Tolterodina immediate release does not cause clinically significant interactions with other drugs metabolized by the major drug metabolizing CYP enzymes. In vivo I dati di interazione farmacologica mostrano che il rilascio immediato di tolterodina non provoca l'inibizione clinicamente rilevante di CYP1A2 2D6 2C9 2C19 o 3A4, come evidenziato dalla mancanza di influenza sui farmaci marcatori di caffeina debrisochina S-Warfarin e omeprazolo. In vitro I dati mostrano che il rilascio immediato di tolterodina è un inibitore competitivo di CYP2D6 ad alte concentrazioni (Ki 1,05 μM) mentre il rilascio immediato di tolterodina e il 5-idrossimetil metabolite sono privi di qualsiasi potenziale inibitorio significativo per quanto riguarda gli altri isoenzimi.
Inibitori del CYP3A4
L'effetto di 200 mg di dose giornaliera di ketoconazolo sulla farmacocinetica del rilascio immediato di Tolterodine è stato studiato in 8 volontari sani, tutti poveri metabolizzatori (vedi Farmacocinetica Variabilità nel metabolismo per la discussione di poveri metabolizzatori ). In the presence of ketoconazole the mean Cmax E AUC of tolterodine increased by 2 E 2.5 fold respectively. Based on these findings other potent CYP3A inhibitors such as other azole antifungals (e.g. itraconazole miconazole) or macrolide antibiotics (e.g. erythromycin clarithromycin) or cyclosporine or vinblastine may also lead to increases of tolterodine plasma concentrations (see PRECAUZIONI E Dosaggio e amministrazione ).
Warfarin
In sani volontari la somministrazione di co -somministrazione della tolterodina di rilascio immediato 4 mg (2 mg di offerta) per 7 giorni e una singola dose di warfarin 25 mg il giorno 4 non ha avuto alcun effetto sulla soppressione del fattore di tempo VII di protrombina o sulla farmacocinetica di warfarin.
Contraccettivi orali
Tolterodina immediate release 4 mg (2 mg bid) had no effect on the pharmacokinetics of an oral contraceptive (ethinyl estradiol 30 μg/levonorgestrel 150 μg) as evidenced by the monitoring of ethinyl estradiol E levonorgestrel over a 2-month cycle in healthy female volunteers.
Diuretici
La somministrazione di co -somministrazione del rilascio immediato di tolterodina fino a 8 mg (4 mg) per un massimo di 12 settimane con agenti diuretici come Inapamide idroclorotiatiazide triamtene bendroflumetiazide clorotiatiazide metilclolorotiazide o furosemide non ha causato effetti elettrocardiografici (ECG).
Elettrofisiologia cardiaca
L'effetto di 2 mg di offerta e 4 mg di offerta di tolterodina immediata (IR) sull'intervallo QT è stato valutato in uno studio di maschi (n = 25) e n = 23), volontari attivo a 4-55 anni. I soggetti dello studio [rappresentazione approssimativamente uguale di metabolizzatori estesi del CYP2D6 (EMS) e poveri metabolizzatori (PMS)] completavano periodi sequenziali di dosaggio di 4 giorni con moxifloxacina 400 mg QD Tolterodina 2 mg BID TOLTERODINA 4 Mg Bid e Placebo. È stata scelta la dose di offerta da 4 mg di Tolterodina IR (due volte la dose più alta raccomandata) perché questa dose si traduce in un'esposizione a torodina simile a quella osservata al co -somministrazione di tolterodina 2 mg di offerta con potenti inibitori del CYP3A4 Interazioni farmacologiche ). QT interval was measured over a 12-hour period following dosing including the time of peak plasma concentration (Tmax) of tolterodine E at steady state (Day 4 of dosing).
La tabella 2 riassume la variazione media dal basale a stato stazionario nell'intervallo QT corretto (QTC) rispetto al placebo al momento delle concentrazioni di torodina di picco (1 ora) e moxifloxacina (2 ore). Sia il metodo di Fridericia (QTCF) che un metodo specifico per la popolazione (QTCP) sono stati usati per correggere l'intervallo QT per la frequenza cardiaca. Nessun singolo metodo di correzione QT è noto per essere più valido di altri. L'intervallo QT è stato misurato manualmente e per macchina e i dati da entrambi vengono presentati. L'aumento medio della frequenza cardiaca associata a una dose di torodina di 4 mg/die in questo studio è stato di 2,0 battiti/minuto e 6,3 battiti/minuto con 8 mg/giorno tolterodina. La variazione della frequenza cardiaca con moxifloxacina è stata di 0,5 battiti/minuto.
Tabella 2: variazione media (CI) in QTC dal basale allo stato stazionario (giorno 4 di dosaggio) a TMAX (relativo al placebo)
| Droga/dose | N | QTCF (MSEC) (Manuale) | QTCF (MSEC) (macchina) | QTCP (MSEC) (Manuale) | QTCP (MSEC) (macchina) |
| Tolterodina 2 mg BID* | 48 | 5.01 (NULL,28 9,74) | 1.16 (-2,99 5.30) | 4.45 (-0.37 9.26) | 2.00 (-1.81 5.81) |
| Tolterodina 4 mg BID* | 48 | 11.84 (7.11 16.58) | 5.63 (1.48 9.77) | 10.31 (5.49 15.12) | 8.34 (4.53 12.15) |
| Moxifloxacina 400 mg qd † | 45 | 19.26 ‡ (15.49 23.03) | 8.90 (4.77 13.03) | 19.10 ‡ (15.32 22.89) | 9.29 (5.34 13.24) |
| *A t di 1 ora; Intervallo di confidenza al 95% massimo † A TMAX di 2 ore; Intervallo di confidenza al 90% ‡ L'effetto sull'intervallo QT con 4 giorni di dosaggio di moxifloxacina in questo studio QT può essere maggiore di quanto tipicamente osservato negli studi QT di altri farmaci. |
Il motivo della differenza tra macchina e lettura manuale dell'intervallo QT non è chiaro.
L'effetto QT delle compresse di rilascio immediato di tolterodina è apparso maggiore per 8 mg/die (due volte la dose terapeutica) rispetto a 4 mg/die. L'effetto della tolterodina 8 mg/die non era così grande come quello osservato dopo quattro giorni di dosaggio terapeutico con la moxifloxacina di controllo attivo. Tuttavia, gli intervalli di confidenza si sono sovrapposti.
Tolterodina's effect on QT interval was found to correlate with plasma concentration of tolterodine. There appeared to be a greater QTc interval increase in CYP2D6 poor metabolizers than in CYP2D6 extensive metabolizers after tolterodine treatment in this study.
Questo studio non è stato progettato per effettuare confronti statistici diretti tra farmaci o livelli di dose. Non c'è stata alcuna associazione di Torsade de Pointes nell'esperienza post-marketing internazionale con Detrol o Detrol LA (vedi PRECAUZIONI Pazienti con prolungamento QT congeniti o acquisiti ).
Studi clinici
Le compresse di Detrol sono state valutate per il trattamento della vescica iperattiva con sintomi di urgenza e frequenza di incontinenza urinaria in quattro settimane di 12 settimane controllate da placebo randomizzate. Un totale di 853 pazienti ha ricevuto detrol 2 mg due volte al giorno e 685 pazienti hanno ricevuto placebo. La maggior parte dei pazienti era caucasica (95%) e femmina (78%) con un'età media di 60 anni (range da 19 a 93 anni). All'ingresso dello studio quasi tutti i pazienti percepivano di avere urgenza e la maggior parte dei pazienti avevano una maggiore frequenza di mincini e sconfiggi l'incontinenza. Queste caratteristiche erano ben bilanciate tra i gruppi di trattamento per gli studi.
Gli endpoint di efficacia per lo studio 007 (vedi Tabella 3) includevano la modifica rispetto al basale per:
- Numero di episodi di incontinenza a settimana
- Numero di minzioni per 24 ore (in media in 7 giorni)
- Volume di urina annullata per miniczione (in media in 2 giorni)
Gli endpoint di efficacia per gli studi 008 009 e 010 (vedi Tabella 4) erano identici agli endpoint di cui sopra, con l'eccezione che il numero di episodi di incontinenza era per 24 ore (in media di 7 giorni).
Tabella 3: intervalli di confidenza al 95% (CI) per la differenza tra Detrol (BID 2 mg) e placebo per la variazione media alla settimana 12 dal basale nello studio 007
| Detrol (SD) N = 514 | Placebo (SD) N = 508 | Differenza (IC al 95%) | |
| Numero di episodi di incontinenza a settimana | |||
| Basale media | 23.2 | 23.3 | |
| Cambiamento medio rispetto al basale | -10,6 (17) | -6,9 (15) | -3.7 (-5.7 -1.6) |
| Numero di minzioni per 24 ore | |||
| Basale media | 11.1 | 11.3 | |
| Cambiamento medio rispetto al basale | -1,7 (3.3) | -1.2 (2.9) | -0.5* (-0.9 -0.1) |
| Volume annullato per micturizione (ML) | |||
| Basale media | 137 | 136 | |
| Cambiamento medio rispetto al basale | 29 (47) | 14 (41) | 15* (9 21) |
| SD = deviazione standard. * La differenza tra Detrol e Placebo era statisticamente significativa. |
Tabella 4: Intervalli di confidenza al 95% (CI) per la differenza tra Detrol (2 mg di offerta) e placebo per la variazione media alla settimana 12 dalla linea di base negli studi 008 009 010
| Studio | Detrol (SD) | Placebo (SD) | Differenza (IC al 95%) |
| Numero di episodi di incontinenza per 24 ore | |||
| 008 Numero di pazienti | 93 | 40 | |
| Basale media | 2.9 | 3.3 | |
| Cambiamento medio rispetto al basale | -1,3 (3.2) | -0,9 (1.5) | 0,5 (-1.30.3) |
| 009 Numero di pazienti | 116 | 55 | |
| Basale media | 3.6 | 3.5 | |
| Cambiamento medio rispetto al basale | -1,7 (2.5) | -1,3 (2.5) | -0.4 (-1.00.2) |
| 010 Numero di pazienti | 90 | 50 | |
| Basale media | 3.7 | 3.5 | |
| Cambiamento medio rispetto al basale | -1,6 (2.4) | -1.1 (2.1) | -0.5 (-1.10.1) |
| Numero di minzioni per 24 ore | |||
| 008 Numero di pazienti | 118 | 56 | |
| Basale media | 11.5 | 11.7 | |
| Cambiamento medio rispetto al basale | -2,7 (3.8) | -1,6 (3.6) | -1.2* (-2.0-0.4) |
| 009 Numero di pazienti | 128 | 64 | |
| Basale media | 11.2 | 11.3 | |
| Cambiamento medio rispetto al basale | -2.3 (2.1) | -1.4 (2.8) | -0.9* (-1.5-0.3) |
| 010 Numero di pazienti | 108 | 56 | |
| Basale media | 11.6 | 11.6 | |
| Cambiamento medio rispetto al basale | -1,7 (2.3) | -1.4 (2.8) | -0.38 (-1.10.3) |
| Volume annullato per micturizione (ML) | |||
| 008 Numero di pazienti | 118 | 56 | |
| Basale media | 166 | 157 | |
| Cambiamento medio rispetto al basale | 38 (54) | 6 (42) | 32* (1846) |
| 009 Numero di pazienti | 129 | 64 | |
| Basale media | 155 | 158 | |
| Cambiamento medio rispetto al basale | 36 (50) | 10 (47) | 26* (1438) |
| 010 Numero di pazienti | 108 | 56 | |
| Basale media | 155 | 160 | |
| Cambiamento medio rispetto al basale | 31 (45) | 13 (52) | 18* (432) |
| SD = deviazione standard. * La differenza tra Detrol e Placebo era statisticamente significativa. |
Informazioni sul paziente per Detrol
Detrol®
(De-Trol)
(Tolterodina Tartrate) compresse
Leggi le informazioni sul paziente fornite con Detrol prima di iniziare a usarlo e ogni volta che ottieni una ricarica. Potrebbero esserci nuove informazioni. Questo volantino non prende il posto di parlare con il medico delle tue condizioni o del trattamento. Solo il medico può determinare se il trattamento con Detrol è giusto per te.
Cos'è Detrol?
Detrol è un medicinale di prescrizione per adulti usato per trattare i seguenti sintomi a causa di una condizione chiamata vescica iperattiva:
- Esorta l'incontinenza urinaria: un forte bisogno di urinare con perdite o incidenti bagnati
- Urgenza: un forte bisogno di urinare subito
- Frequenza: urinare spesso
Detrol LA (Tolterodine Tartrato di capsule di rilascio esteso) non ha aiutato i sintomi della vescica iperattiva quando studiato nei bambini.
Cos'è la vescica iperattiva?
La vescica iperattiva avviene quando non è possibile controllare il muscolo della vescica. Quando il muscolo si contrae troppo spesso o non può essere controllato, si ottengono sintomi di vescica iperattiva che sono perdite di urina (sollecitazione dell'incontinenza urinaria) che necessitano immediatamente (urgenza) e che hanno bisogno di urinare spesso (frequenza).
Chi non dovrebbe prendere Detrol?
Non prendere Detrol se tu:
- Non sono in grado di svuotare la vescica (ritenzione urinaria)
- Hanno ritardato o lento svuotamento dello stomaco (ritenzione gastrica)
- Avere un problema agli occhi chiamato angolo stretto non controllato glaucoma
- Sono allergici al detrollo o a uno qualsiasi dei suoi ingredienti. Vedi la fine di questo opuscolo per un elenco completo di ingredienti
- Sono allergici a Toviaz che contiene fesoterodina.
Cosa dovrei dire al mio medico prima di iniziare Detrol?
Prima di iniziare Detrol, racconta al medico di tutte le tue condizioni mediche e di altro tipo che possono influire sull'uso di Detrol, incluso:
- Problemi di stomaco o intestinali o problemi con costipazione
- Problemi svuotando la vescica o se hai un flusso di urina debole
- Trattamento per un problema agli occhi chiamato glaucoma ad angolo stretto
- Problemi epatici
- Problemi renali
- Una condizione chiamata Myastenia gravis
- Se tu o qualche familia
- Se sei incinta o cerchi di rimanere incinta. Non è noto se Detrol potesse danneggiare il tuo bambino non ancora nato.
- Se stai allattando al seno. Non è noto se Detrol passa nel latte materno o se può danneggiare il tuo bambino. Parla con il tuo medico del modo migliore per nutrire il tuo bambino se prendi Detrol.
Racconta al tuo medico di tutte le medicine che prendi tra cui medicine prescritte e non prescription vitamine e integratori a base di erbe. Altre medicine possono influenzare il modo in cui il tuo corpo gestisce Detrol. Il medico può utilizzare una dose inferiore di detrol se si sta assumendo:
- Alcuni medicinali per funghi o infezioni da lievito
- Alcuni medicinali per le infezioni batteriche
- Sandimmune® (ciclosporina) o Velban® (vinblastina)
Chiedi al tuo medico o al farmacista un elenco di questi medicinali se non sei sicuro.
Conosci le medicine che prendi. Tienilo con te un elenco per mostrare il tuo medico o il farmacista ogni volta che ottieni un nuovo medicinale.
Come dovrei prendere Detrol?
- Prendi Detrol esattamente come il tuo medico ti dice di prenderlo.
- Il tuo medico ti dirà quante compresse di Detrol prendere e quando prenderli.
- Non cambiare la tua dose se non dirlo dal medico.
- Puoi prendere Detrol con o senza cibo.
- Prendi Detrol gli stessi tempi ogni giorno.
- Se perdi una dose di Detrol, prendi la tua prossima dose regolare al prossimo orario regolare. Non provare a compensare la tua dose persa.
- Se prendi troppo Detrol chiama il medico o vai subito al pronto soccorso dell'ospedale.
Cosa dovrei evitare mentre prendi Detrol?
Medici come Detrol possono causare vertigini e sonnolenza sfocate. Non guidare i macchinari a funzionare o fare altre attività pericolose fino a quando non sai come Detrol ti colpisce.
Quali sono i possibili effetti collaterali di Detrol?
Detrol può causare reazioni allergiche che possono essere gravi. I sintomi di una grave reazione allergica possono includere gonfiore della gola o della lingua. Se si verificano questi sintomi, dovresti smettere di prendere Detrol e ottenere subito assistenza medica di emergenza.
Gli effetti collaterali più comuni con Detrol sono:
- Bocca secca
- Vertigini
- Mal di testa
- Dolori di stomaco
- Stipsi
Di 'al medico se hai effetti collaterali che ti danno fastidio o che non vanno via.
Questi non sono tutti gli effetti collaterali con Detrol. Per un elenco completo chiedi al medico o al farmacista.
Chiama il medico per consigli medici sugli effetti collaterali. È possibile segnalare gli effetti collaterali alla FDA al numero 1-800-FDA-1088.
Come memorizzi Detrol?
- Conservare Detrol a temperatura ambiente (da 59 a 86 ° F).
- Tienilo in un luogo asciutto.
Mantieni Detrol e tutti i medicinali fuori dalla portata dei bambini.
Generale Information about DETROL
Le medicine sono talvolta prescritte per condizioni che non sono menzionate nel volantino delle informazioni del paziente. Usa solo Detrol come ti dice il medico. Non dare Detrol ad altre persone anche se hanno gli stessi sintomi che hai. Potrebbe danneggiare loro.
Questo volantino riassume le informazioni più importanti su Detrol. Se desideri più informazioni, parla con il tuo medico. Puoi chiedere al tuo medico o al farmacista informazioni su Detrol che è scritto per gli operatori sanitari.
Quali sono gli ingredienti di Detrol?
Ingredienti attivi: Tartrato di tolterodina
Ingredienti inattivi: L'idrogeno fosfato di callulosio di cellulosa di cellulosio di cellulosa di cellulosa di cellulosa di cellulosa di magristallosio di ad amido di sodio di sodio di sodio glicolato di sodio (da pH da 3,0 a 5,0) di acido stearico e dioossido di titanio.
L'etichetta di questo prodotto potrebbe essere stata aggiornata. Per le attuali informazioni sulla prescrizione completa, visitare www.pfizer.com.