Le Informazioni Presenti Sul Sito Non Costituiscono Consulenza Medica. Non Vendiamo Nulla. L'Accuratezza Della Traduzione Non È Garantita. Disclaimer
Cefalosporine, 2a generazione
Cefaclor
Riepilogo della droga
Cos'è Cefaclor?
Cefaclor è un tipo di cefalosporina antibiotico Utilizzato per trattare un'ampia varietà di infezioni batteriche (ad es. Urina per la pelle dell'orecchio medio e infezioni del tratto respiratorio).
Quali sono gli effetti collaterali di Cefaclor?
Gli effetti collaterali di Cefaclor includono:
- diarrea
- Sconturoso stomaco
- mal di testa
- nausea
- vomito
- prurito o scarico vaginale o
- Reazioni di ipersensibilità.
Dosaggio per cefaclor?
Il solito dosaggio adulto di Cefaclor è di 250 mg ogni 8 ore.
Quali sostanze o integratori di farmaci interagiscono con Cefaclor?
Cefaclor può interagire con anticoagulanti orali il controllo delle nascite ormonali e altri farmaci. Dì al medico tutti i farmaci e gli integratori che usi.
Cefaclor durante la gravidanza e l'allattamento
Durante la gravidanza cefaclor dovrebbe essere usato solo se prescritto. Di 'al medico se sei incinta o hai intenzione di rimanere incinta prima di prendere Cefaclor. Cefaclor passa nel latte materno. Consulta il medico prima dell'allattamento al seno.
Ulteriori informazioni
Il nostro Centro farmacologico degli effetti collaterali di Cefaclor fornisce una visione completa delle informazioni disponibili sui farmaci sui potenziali effetti collaterali durante l'assunzione di questo farmaco.
Informazioni sui farmaci FDA
- Descrizione del farmaco
- Indicazioni
- Dosaggio
- Effetti collaterali
- Avvertimenti
- Precauzioni
- Overdose
- Farmacologia clinica
- Guida ai farmaci
Per ridurre lo sviluppo di batteri resistenti ai farmaci e mantenere l'efficacia di Cefaclor per la sospensione orale e altri farmaci antibatterici Cefaclor per la sospensione orale USP deve essere utilizzato solo per trattare o prevenire infezioni che sono dimostrate o fortemente sospettate di essere causate da batteri.
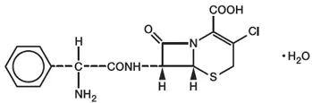
Descrizione per la sospensione orale di Cefaclor
Cefaclor USP è una cefalosporina semisintetica antibiotico per amministrazione orale. È designato chimicamente come 3-cloro-7-d- (2-fenilglicinamido) -3-CEPhem-4-carbossilico monoidrato. La formula chimica per cefaclor è C 15 H 14 Cln 3 O 4 SH. 2 O e il peso molecolare è 385,82.
|
Dopo aver mescolato ogni 5 ml di cefaclor per sospensione orale conterrà Cefaclor monoidrato equivalente a 125 mg (NULL,34 mmol) 250 mg (NULL,68 mmol) o 375 mg (NULL,0 mmol) Cefaclor anidro. Le sospensioni contengono anche saccarosio di lauril solfato di sodio di metilcellulosa e gomma Xanthan Fd
Il colore della polvere di droga nello stato di polvere secca è bianco a bianco sporco. Dopo la ricostituzione si trasforma in una sospensione rossa.
Usi per la sospensione orale di cefaclor
Cefaclor è indicato nel trattamento delle seguenti infezioni se causati da ceppi sensibili dei microrganismi designati:
Otite media causato da Streptococcus pneumoniae haemophilus influenza z Ma stafilococchi e Streptococcus pyogenes
Nota: β-lattamasi-negativa resistente all'ampicillina (BLNAR) ceppi di Haemophilus influenge z Ma dovrebbe essere considerato resistente a cefaclor nonostante apparente in vitro Suscettibilità di alcuni ceppi BLNAR.
Infezioni del tratto respiratorio inferiore compresa la polmonite causata da Streptococcus pneumoniae haemophilus influenzazMa E Streptococcus pyogenes
Nota: β-lattamasi-negativa resistente all'ampicillina (BLNAR) ceppi di Haemophilus influenge z Ma dovrebbe essere considerato resistente a cefaclor nonostante apparente in vitro Suscettibilità di alcuni ceppi BLNAR.
Faringite e tonsillite causato da Streptococcus pyogenes
Nota: La penicillina è il solito farmaco di scelta nel trattamento e nella prevenzione delle infezioni da streptococco tra cui la profilassi della febbre reumatica. Cefaclor è generalmente efficace nell'eradicazione degli streptococchi dal rinofaringe; Tuttavia, non sono disponibili dati sostanziali che stabiliscono l'efficacia di Cefaclor nella successiva prevenzione della febbre reumatica non sono disponibili.
Infezioni del tratto urinario compresa la pielonefrite e la cistite causate da Escherichia coli proteus mirabilis klebsiella spp. e stafilococchi coagulasi negativi
Infezioni della struttura della pelle e della pelle causato da Staphylococcus aureus e Streptococcus pyogenes
ossicodone a cosa serve
Studi di cultura e suscettibilità appropriati dovrebbero essere condotti per determinare la suscettibilità dell'organismo causale a Cefaclor.
Per ridurre lo sviluppo di batteri resistenti ai farmaci e mantenere l'efficacia della capsula di cefaclor e di altri farmaci antibatterici, la capsula di cefaclor dovrebbe essere utilizzata solo per trattare o prevenire le infezioni che sono dimostrate o fortemente sospettate di essere causate da batteri sensibili. Quando sono disponibili informazioni sulla coltura e sulla suscettibilità, dovrebbero essere considerate nella selezione o nella modifica della terapia antibatterica. In assenza di tali dati di epidemiologia locale e modelli di suscettibilità possono contribuire alla selezione empirica della terapia.
Dosaggio for Cefaclor Oral Suspension
Cefaclor è somministrato per via orale.
Adulti
Il solito dosaggio degli adulti è di 250 mg ogni 8 ore. Per infezioni più gravi (come la polmonite) o quelle causate da dosi di organismi meno sensibili possono essere raddoppiate.
Pazienti pediatrici
Il solito dosaggio giornaliero raccomandato per i pazienti pediatrici è di 20 mg/kg/giorno a dosi divise ogni 8 ore. In infezioni più gravi otite media e infezioni causate da organismi meno sensibili 40 mg/kg/giorno sono raccomandati con un dosaggio massimo di 1 g/giorno.
Cefaclor può essere somministrato in presenza di una funzione renale alterata. In tale condizione il dosaggio di solito è invariato (vedi PRECAUZIONI ).
Nel trattamento delle infezioni da streptococco β-emolitico, è necessario somministrato un dosaggio terapeutico di cefaclor per almeno 10 giorni.
Come fornito
CEFACLOR CAPSULE USP 250 mg (Capo blu e capsula di gelatina dura del corpo rosa contenente polvere da bianco a leggermente giallastro impressa con KRC su sia il cappuccio della capsula che il corpo della capsula) contiene cefaclor USP (monoidrato) equivalente a 250 mg di cefaclor anidro.
Bottiglia di 30 - Ndc 61442-171-30
Bottiglia di 100 - Ndc 61442-171-01
Bottiglia di 500 - Ndc 61442-171-05
CEFACLOR CAPSULE USP 500 mg (Capo blu e capsula di gelatina dura del corpo arancione contenente polvere da bianco a leggermente giallastro impressa con KRC500 su capsula e corpo capsule) contiene cefaclor USP (monoidrato) equivalente a 500 mg anidro cefaclor.
Bottiglia di 30 - Ndc 61442-172-30
Bottiglia di 100 - Ndc 61442-172-01
Bottiglia di 500 - Ndc 61442-172-05
Conservare a 20 ° C - 25 ° C (da 68 ° C a 77 ° F) [vedi temperatura ambiente controllata USP].
è il tè sassafras sicuro da bere
Prodotto da: Yung Shin Pharmaceutical Ind. Co. Ltd. Tachia Taichung 43769 Taiwan. Revisionato: set
Effetti collaterali per la sospensione orale di Cefaclor
Gli effetti avversi considerati correlati alla terapia con cefaclor sono elencati di seguito:
Ipersensibilità Le reazioni sono state riportate in circa l'1,5% dei pazienti e includono eruzioni morbilliformi (1 su 100). I test di prurito orticaria e di Coombs positivi si verificano ciascuno in meno di 1 su 200 pazienti.
Casi di simile a una cattiva siero simile Sono state riportate reazioni con l'uso di cefaclor. Questi sono caratterizzati da risultati di erite eritema multiforme e altre manifestazioni cutanee accompagnate da artrite/artralgia con o senza febbre e differiscono dalla classica malattia sierica in quanto vi è linfoadenopatia raramente associata e proteinuria senza circolazione di complessi immuniti e senza evidenza fino ad oggi di sequele della reazione. Occasionalmente possono verificarsi sintomi solitari ma non rappresentano un simile a una cattiva siero simile reazione. Mentre sono in corso ulteriori indagini siero-dissolvenza Le reazioni sembrano essere dovute all'ipersensibilità e più spesso si verificano durante o dopo un secondo (o successivo) decorso di terapia con cefaclor. Tali reazioni sono state riportate più frequentemente nei pazienti pediatrici che negli adulti con un verificarsi complessiva che va da 1 su 200 (NULL,5%) in uno studio focalizzato a 2 in 8346 (NULL,024%) in studi clinici globali (con un'incidenza in pazienti pediatrici in studi clinici dello 0,055%) a 1 in 38000 (NULL,003%) in rapporti di eventi spontanei. Segni e sintomi di solito si verificano pochi giorni dopo l'inizio della terapia e si placano entro pochi giorni dalla cessazione della terapia; Occasionalmente queste reazioni hanno comportato un ricovero in ospedale di solito a breve durata (ricovero mediano = da 2 a 3 giorni in base agli studi di sorveglianza post -marketing). In coloro che richiedono il ricovero in ospedale i sintomi sono andati da lievi a gravi al momento del ricovero con più reazioni gravi che si verificano nei pazienti pediatrici. Gli antistaminici e i glucocorticoidi sembrano migliorare la risoluzione dei segni e dei sintomi. Non sono state segnalate sequele serie.
Reazioni di ipersensibilità più gravi tra cui la necrolisi epidermica tossica della sindrome di Stevens-Johnson e l'anafilassi sono state riportate raramente. Gli eventi anafilattoidi possono essere manifestati da sintomi solitari tra cui edema dell'astenia dell'angiedema (incluso faccia e arti) la dispnea parestesie sincope ipotensione o vasodilatazione. L'anafilassi può essere più comune nei pazienti con una storia di allergia alla penicillina.
Raramente i sintomi di ipersensibilità possono persistere per diversi mesi.
Gastrointestinale I sintomi si verificano in circa il 2,5% dei pazienti e includono diarrea (1 su 70).
L'inizio dei sintomi pseudomembrani di colite possono verificarsi durante o dopo il trattamento antibiotico. (Vedere Avvertimenti ). Nausea E vomito have been reported rarely. As with some penicillins E some other cephalosporins transient hepatitis E cholestatic jaundice have been reported rarely.
Altro Gli effetti considerati correlati alla terapia includevano eosinofilia (1 su 50 pazienti) moniliasi genitale o vaginite (circa 1 su 50 pazienti) e raramente trombocitopenia o nefrite interstiziale reversibile.
Relazione causale incerta
CNS - Sono state riportate raramente reversibili iperattività di agitazione nervosismo Insomnia Confusione Ipertonia Dizzine e sonnolenza.
Sono state riportate anomalie transitorie nei risultati dei test di laboratorio clinico. Sebbene fossero di eziologia incerta, sono elencati di seguito per servire come informazioni di avviso per il medico.
Epatico - Lievi aumenti dei valori AST ALT o alcalina fosfatasi (1 su 40).
Ematopoietico - Come è stato anche riportato con altri antibiotici β-lattamici della linfocitosi transitoria leucopenia e raramente anemia emolitica anemia agranulocitosi e neutropenia reversibile di possibile significato clinico.
Ci sono stati rari segnalazioni di aumento del tempo di protrombina con o senza sanguinamento clinico in pazienti che hanno ricevuto cefaclor e coumadina ® in concomitanza.
Renale - Lievi elevazioni nella creatinina BUN o sierica (meno di 1 su 500) o analisi delle urine anormali (meno di 1 su 200).
Reazioni avverse di classe cefalosporina
In addition to the adverse reactions listed above that have been observed in patients treated with cefaclor the following adverse reactions and altered laboratory tests have been reported for cephalosporin-class antibiotics: fever abdominal pain superinfection renal dysfunction toxic nephropathy hemorrhage false positive test for urinary glucose elevated bilirubin elevated LDH and pancytopenia.
Diverse cefalosporine sono state implicate nel innescare convulsioni in particolare nei pazienti con compromissione renale quando il dosaggio non è stato ridotto. Se si verificano convulsioni associate alla terapia farmacologica, il farmaco dovrebbe essere sospeso. La terapia anticonvulsivante può essere somministrata se clinicamente indicata (vedi Dosaggio e amministrazione E OVERDOSE sezioni).
Interazioni farmacologiche per la sospensione orale di Cefaclor
Nessuna informazione fornita
Avvertimenti for Cefaclor Oral Suspension
Prima della terapia con Cefaclor istituita, è necessario fare un'attenta indagine per determinare se il paziente ha avuto precedenti reazioni di ipersensibilità alle cefalosporine di cefalosporine o ad altri farmaci. Se questo prodotto deve essere somministrato ai pazienti sensibili alla penicillina, è necessario esercitare la cautela perché l'ipersensibilità tra gli antibiotici β-lattamici è stato chiaramente documentato e può verificarsi fino al 10% dei pazienti con una storia di allergia alla penicillina.
Se si verifica una reazione allergica a cefaclor interrompere il farmaco. Le gravi reazioni di iper-sensibilità acuta possono richiedere un trattamento con epinefrina e altre misure di emergenza tra cui fluidi endovenosi di ossigeno antistaminici per viaggi di corticosteroidi e gestione delle vie aeree come indicato clinicamente.
Gli antibiotici tra cui Cefaclor dovrebbero essere somministrati con cautela a qualsiasi paziente che abbia dimostrato una qualche forma di allergia in particolare ai farmaci.
Clostridium difficile La diarrea associata (CDAD) è stata riportata con l'uso di quasi tutti gli agenti antibatterici tra cui CeFaclor per la sospensione orale USP e può variare in gravità dalla diarrea lieve alla colite fatale. Il trattamento con agenti antibatterici altera la normale flora del colon che porta alla crescita eccessiva di C. difficile .
C. difficile produce tossine A e B che contribuiscono allo sviluppo di CDAD. Ceppi produttori di ipertoxina di C. difficile causano un aumento della morbilità e della mortalità poiché queste infezioni possono essere refrattarie alla terapia antimicrobica e possono richiedere colectomia. Il CDAD deve essere considerato in tutti i pazienti che presentano diarrea a seguito di uso antibiotico. È stata necessaria un'attenta storia medica da quando è stato segnalato che il CDAD si verifica in due mesi dopo la somministrazione di agenti antibatterici.
Se il CDAD è sospettato o confermato l'uso di antibiotici in corso non diretto contro C. difficile Potrebbe essere necessario interrompere. Appropriato TRATTAMENTO ANTIbiotico di integrazione di proteine per la gestione dei fluidi ed elettroliti C. difficile E surgical evaluation should be instituted as clinically indicated.
Precauzioni for Cefaclor Oral Suspension
Generale
È improbabile che la prescrizione di Cefaclor in assenza di un'infezione batterica comprovata o fortemente sospetta o un'indicazione profilattica fornisca benefici al paziente e aumenti il rischio di sviluppo di batteri resistenti ai farmaci.
L'uso prolungato di cefaclor può comportare la crescita eccessiva di organismi non sensibili. È essenziale un'attenta osservazione del paziente. Se si verifica la superinfezione durante la terapia, è necessario adottare misure appropriate.
Durante il trattamento sono stati riportati test di Coombs diretti positivi con gli antibiotici cefalosporinici. Dovrebbe essere riconosciuto che un test di Coombs positivo può essere dovuto al farmaco, ad es. Negli studi ematologici o nelle procedure trasfusibili di corrispondenza quando i test di antiglobulina vengono eseguiti sul lato minore o nei test di coombs di neonati le cui madri hanno ricevuto antibiotici cefalosporinici prima del parto.
Cefaclor dovrebbe essere somministrato con cautela in presenza di una funzione renale marcatamente compromessa. Poiché l'emivita di Cefaclor in Anuria è di solito non sono necessarie aggiustamenti di dosaggio da 2,3 a 2,8 ore per i pazienti con compromissione renale moderata o grave. L'esperienza clinica con Cefaclor in tali condizioni è limitata; pertanto dovrebbero essere fatti attenti studi clinici e studi di laboratorio.
Come con altri antibiotici β-lattamici, l'escrezione renale di cefaclor è inibita dal probenecide.
Gli antibiotici tra cui le cefalosporine dovrebbero essere prescritti con cautela in soggetti con una storia di malattie gastrointestinali, in particolare la colite.
Mutagenesi della carcinogenesi compromissione della fertilità
Non sono stati condotti studi per determinare il potenziale per la mutagenicità della cancerogenicità o la compromissione della fertilità.
Gravidanza
Effetti teratogeni
Gravidanza Category B . Studi di riproduzione sono stati condotti in topi e ratti a dosi fino a 12 volte la dose umana e nei furetti dati 3 volte la dose massima umana e non hanno rivelato danni al feto a causa di cefaclor. Tuttavia, non ci sono studi adeguati e ben controllati nelle donne in gravidanza. Poiché gli studi sulla riproduzione degli animali non sono sempre predittivi della risposta umana, questo farmaco dovrebbe essere usato durante la gravidanza solo se chiaramente necessario.
Manodopera e consegna
L'effetto di Cefaclor sul lavoro e sulla consegna è sconosciuto.
Madri infermieristiche
Piccole quantità di cefaclor sono state rilevate nel latte materno dopo la somministrazione di singole dosi da 500 mg. I livelli medi erano 0,18 0,20 0,21 e 0,16 mcg/ml rispettivamente a 2 3 4 e 5 ore. Gli importi di traccia sono stati rilevati a 1 ora. L'effetto sui neonati infermieristici non è noto. Attenzione dovrebbe essere esercitata quando Cefaclor viene somministrata a una donna infermieristica.
Uso pediatrico
La sicurezza ed efficacia di questo prodotto per l'uso nei neonati di età inferiore a 1 mese di età non sono state stabilite.
Uso geriatrico
Dei 3703 pazienti in studi clinici di Cefaclor 594 (NULL,0%) erano di 65 anni. Non sono state osservate differenze complessive nella sicurezza o nell'efficacia tra questi soggetti e i soggetti più giovani.
Altro reported clinical experience has not identified differences in responses between the elderly E younger patients but greater sensitivity of some older individuals cannot be ruled out.
Questo farmaco è noto per essere sostanzialmente escreto dal rene (vedi Farmacologia clinica ) e il rischio di reazioni tossiche a questo farmaco può essere maggiore nei pazienti con funzionalità renale alterata. Poiché è più probabile che i pazienti anziani abbiano una riduzione delle cure di funzione renale nella selezione della dose e può essere utile monitorare la funzione renale (vedi Dosaggio e amministrazione ).
Effetti collaterali a lungo termine di Allegra
Informazioni per overdose per la sospensione orale di Cefaclor
Segni e sintomi
I sintomi tossici a seguito di un sovradosaggio di cefaclor possono includere angoscia epigastrica di vomito di nausea e diarrea. La gravità dell'angoscia epigastrica e della diarrea è correlata alla dose. Se sono presenti altri sintomi, è probabile che siano secondari a uno stato di malattia sottostante una reazione allergica o gli effetti di altre intossicazione.
Trattamento
Per ottenere informazioni aggiornate sul trattamento del sovradosaggio, una buona risorsa è il tuo centro di controllo del veleno regionale certificato. I numeri di telefono dei centri di controllo del veleno certificato sono elencati in Progettazione dei medici (PDR) . Nel gestire il sovradosaggio considera la possibilità di interazione multipla di overdose di farmaci tra farmaci e cinetica insolita del farmaco nel paziente. A meno che 5 volte la dose normale di cefaclor non sia stata ingerita la decontaminazione gastrointestinale non sarà necessaria.
Proteggi le vie aeree del paziente e supporta la ventilazione e la perfusione. Monitorare e mantenere meticolosamente entro limiti accettabili i segni vitali del paziente Gas nel sangue elettroliti sierici ecc. L'assorbimento di farmaci dal tratto gastrointestinale può essere ridotto dando carbone attivo che in molti casi è più efficace dell'emesi o del lavaggio; Prendi in considerazione il carbone anziché o in aggiunta allo svuotamento gastrico. Dosi ripetute di carbone nel tempo possono accelerare l'eliminazione di alcuni farmaci che sono stati assorbiti. Salvaguardare le vie aeree del paziente quando si impiegano lo svuotamento gastrico o il carbone.
Diuresi forzata la dialisi peritoneale emodialisi o emoperfusione di carbone non è stata stabilita come benefica per un sovradosaggio di cefaclor.
Controindicazioni per la sospensione orale di Cefaclor
Cefaclor è controindicato nei pazienti con allergia nota al gruppo di antibiotici cefalosporine.
Farmacologia clinica for Cefaclor Oral Suspension
Cefaclor è ben assorbito dopo la somministrazione orale ai soggetti a digiuno. L'assorbimento totale è lo stesso se il farmaco è somministrato con o senza cibo; Tuttavia, quando viene preso con il cibo, la concentrazione di picco ottenuta è del 50% al 75% di quella osservata quando il farmaco viene somministrato ai soggetti a digiuno e generalmente appare da tre quarti a 1 ora dopo. Dopo la somministrazione di dosi da 500 mg da 250 mg e 1 g ai soggetti a digiuno livelli sierici di picco medi di circa 7 13 e 23 mcg/ml sono stati ottenuti rispettivamente entro 30-60 minuti. Circa il 60% all'85% del farmaco viene escreto invariato nelle urine entro 8 ore la parte maggiore viene escreta entro le prime 2 ore. Durante questo periodo di picco di 8 ore concentrazioni di urina a seguito delle dosi da 250 mg da 500 mg e 1 g erano rispettivamente di circa 600 900 e 1900 mcg/ml. L'emivita sierica nei soggetti normali è da 0,6 a 0,9 ore. Nei pazienti con funzione renale ridotta l'emivita sierica di cefaclor è leggermente prolungata. In quelli con completa assenza di funzione renale, l'emivita plasmatica della molecola intatta è da 2,3 a 2,8 ore. Non sono stati determinati percorsi di escrezione nei pazienti con funzione renale marcatamente compromessa. L'emodialisi riduce l'emivita dal 25% al 30%.
Microbiologia
Meccanismo d'azione
Come con altre cefalosporine, l'azione battericida di Cefaclor deriva dall'inibizione della sintesi della parete cellulare.
Meccanismo di resistenza
La resistenza a Cefaclor è principalmente attraverso l'idrolisi delle beta-lattamasi Alterazione delle proteine leganti la penicillina (PBP) e una ridotta permeabilità. Pseudomonas spp. Acinetobacter calcoaceticus E most strains of Enterococi (Enterococcus faecalis Gruppo D Streptococchi) Enterobacter spp. indole-positive Proteus Morganella Morganii (precedentemente Proteus morganii) Disposizione Rettgeri (precedentemente Proteus rettgeri) E Serrazia spp. are resistant to cefaclor. Cefaclor is inactive against methicillin-resistant stafilococchi. -lactamasenegative ampicillin-resistant strains of H. Influenza z Ma dovrebbe essere considerato resistente a cefaclor nonostante apparente in vitro suscettibilità a questo agente.
Attività antibatterica
Cefaclor ha dimostrato di essere attivo contro la maggior parte dei ceppi dei seguenti microrganismi in vitro E in clinical infections as described in the INDICATIONS AND USAGE section.
Batteri gram-positivi
Staphylococcus aureus (solo meticillina sensibile)
Coagulasi negativa stafilococchi (solo meticillina sensibile)
Streptococcus pneumoniae
Streptococcus pyogenes (Gruppo A -emolitico Streptococchi)
Batteri gram-negativi
Hanno mostrato freddo
Haemophilus influenge z Ma (esclusi ceppi resistenti all'ampicillina-lattamasi-negativi)
Klebsiella spp.
Proteus meraviglioso
le migliori cose a Sydney
Quanto segue in vitro sono disponibili dati Ma il loro significato clinico è sconosciuto. Almeno il 90 percento dei seguenti batteri presenta un in vitro Concentrazioni inibitorie minime (MIC) inferiori o uguali al punto di interruzione sensibile di Cefaclor. Tuttavia, la sicurezza e l'efficacia di Cefaclor nel trattamento delle infezioni cliniche dovute a questi batteri non è stata stabilita in studi adeguati e ben controllati.
Batteri gram-negativi
Citrobacter diverso
Moraxella catarrhalis
Neisseria gonorrhoeae
Batteri anaerobici
Bacteroides spp.
Peptococcus spp.
Peptostreptococcus spp.
Propionibacterium acnes
Metodi di test di suscettibilità
Se disponibile, il laboratorio di microbiologia clinica dovrebbe fornire il risultato di in vitro Risultati dei test di suscettibilità per i farmaci antimicrobici utilizzati negli ospedali residenti al medico come segnalazioni periodiche che descrivono il profilo di suscettibilità dei patogeni consumati e acquisiti dalla comunità. Questi rapporti dovrebbero aiutare il medico a selezionare un farmaco antibatterico per il trattamento.
Tecniche di diluizione
I metodi quantitativi vengono utilizzati per determinare le concentrazioni minime inibitorie antimicrobiche (MIC). Questi microfoni forniscono stime della suscettibilità dei batteri ai composti antimicrobici. I microfoni devono essere determinati utilizzando un metodo standardizzato (agar brodo o microdiluizione) 13 . I valori MIC devono essere interpretati in base ai criteri forniti nella Tabella 1.
Diffusione tecnica
I metodi quantitativi che richiedono la misurazione dei diametri delle zone forniscono anche stime riproducibili della suscettibilità dei batteri ai composti antimicrobici. La dimensione della zona fornisce una stima della suscettibilità dei batteri ai composti antimicrobici. La dimensione della zona deve essere determinata utilizzando un metodo di prova standardizzato 23 .
Questa procedura utilizza dischi di carta impregnati di cefaclor 30-mcg per testare la suscettibilità dei microrganismi a Cefaclor. I criteri interpretativi di diffusione del disco sono forniti nella Tabella 1.
Tabella 1: criteri interpretativi del test di suscettibilità per cefaclor
| Microrganismi 12 | Concentrazione inibitoria minima (MCG/ML) | Diametro della zona (mm) | ||||
| S | I | R | S | I | R | |
| Streptococcus pneumoniae | ≤1 | 2 | ≥4 | - | - | - |
| 1 La suscettibilità dello stafilococchi a cefaclor può essere dedotta dal test solo penicillina e cefoxitina o oxacillina 2 Suscettibilità di Streptococcus pyogenes a cefaclor può anche essere dedotto dal test della penicillina |
Un rapporto di sensibile indica che è probabile che antimicrobico inibisca la crescita del patogeno se il composto antimicrobico raggiunge le concentrazioni nel sito di infezione necessaria per inibire la crescita del patogeno. Un rapporto di intermedio indica che il risultato dovrebbe essere considerato equivoco e se il microrganismo non è completamente suscettibile ai farmaci clinicamente fattibili alternativi, il test dovrebbe essere ripetuto. Questa categoria implica una possibile applicabilità clinica nei siti del corpo in cui il farmaco è concentrato fisiologicamente o in situazioni in cui è possibile utilizzare un elevato dosaggio di farmaco. Questa categoria fornisce anche una zona tampone che impedisce a piccoli fattori tecnici incontrollati di causare gravi discrepanze nell'interpretazione. Un rapporto di resistente indica che non è probabile che l'antimicrobico inibisca la crescita del patogeno se il composto antimicrobico raggiunge le concentrazioni di solito realizzabili nel sito di infezione; Altra terapia dovrebbe essere selezionata.
Controllo di qualità
Le procedure di test di suscettibilità standardizzate richiedono l'uso di controlli di laboratorio per monitorare e garantire l'accuratezza e la precisione di forniture e reagenti utilizzati nel test e le tecniche delle persone che eseguono il test. La polvere di cefaclor standard dovrebbe fornire la seguente gamma di valori MIC indicati nella Tabella 2. Per la tecnica di diffusione utilizzando il disco da 30 mcg, è necessario raggiungere i criteri nella Tabella 2.
Tabella 2: intervalli di controllo di qualità accettabili per cefaclor
| Ceppo QC | Concentrazione inibitoria minima (MCG/ML) | Diametro della zona (mm) |
| Hanno mostrato freddo ATCC 25922 | 1 - 4 | 23 - 27 |
| Haemophilus influenge z Ma ATCC 49766 | 1 - 4 | 25 - 31 |
| Staphylococcus aureus ATCC 25923 | - | 27 - 31 |
| Staphylococcus aureus ATCC 29213 | 1 - 4 | - |
| Streptococcus pneumoniae ATCC 49619 | 1 - 4 | 24 - 32 |
Riferimenti
1. Istituto di standard clinici e di laboratorio (CLSI). Metodi per la diluizione test di suscettibilità antimicrobica per i batteri che crescono aerobicamente; Standard approvato - Decima edizione. Documento CLSI M07-A10 Institute Clinical and Laboratory Standards 950 West Valley Road Suite 2500 Wayne Pennsylvania 19087 USA 2015.
2. Istituto di standard clinici e di laboratorio (CLSI). Standard di prestazione per test di suscettibilità alla diffusione del disco antimicrobico; Standard approvato - Dodicesima edizione. Documento CLSI M02-A12 Istituto di standard clinici e di laboratorio 950 West Valley Road Suite 2500 Wayne Pennsylvania 19087 USA 2015.
3. Istituto di standard clinici e di laboratorio (CLSI). Standard di prestazione per test di suscettibilità antimicrobica; Twenty-ofshth Informational Supplement. Documento CLSI M100-S25. Istituto di standard clinici e di laboratorio 950 West Valley Road Suite 2500 Wayne Pennsylvania 19087 USA 2015.
Informazioni sul paziente per la sospensione orale di Cefaclor
I pazienti dovrebbero essere consigliati che i farmaci antibatterici tra cui Cefaclor per la sospensione orale dovrebbero essere usati solo per trattare le infezioni batteriche. Non trattano le infezioni virali (ad esempio il raffreddore comune). Quando è prescritto Cefaclor per la sospensione orale per il trattamento di un'infezione batterica, i pazienti dovrebbero essere detto che, sebbene sia comune sentirsi meglio all'inizio del corso della terapia, i farmaci dovrebbero essere presi esattamente come indicato. Saltare la dose o non completare l'intero corso della terapia può (1) ridurre l'efficacia del trattamento immediato e (2) aumentare la probabilità che i batteri sviluppino resistenza e non saranno curabili da Cefaclor per la sospensione orale o altri farmaci antibatterici in futuro.
La diarrea è un problema comune causato dagli antibiotici che di solito termina quando l'antibiotico viene interrotto. A volte dopo aver iniziato il trattamento con i pazienti con antibiotici possono sviluppare feci acquose e sanguinanti (con o senza crampi di stomaco e febbre) anche fino a due o più mesi dopo aver preso l'ultima dose dell'antibiotico. Se ciò si verifica, i pazienti devono contattare il proprio medico il più presto possibile.