Le Informazioni Presenti Sul Sito Non Costituiscono Consulenza Medica. Non Vendiamo Nulla. L'Accuratezza Della Traduzione Non È Garantita. Disclaimer
HIV, combinazioni d'arte
Atripla
Riepilogo della droga
Cos'è Atripla?
Atripla (efavirenz/emtricitabine/tenofovir disoproxil fumarate) è un antivirale farmaci che tratta l'HIV che causa la sindrome da immunodeficienza acquisita (AIDS). Atripla non è una cura per l'HIV o l'AIDS.
Quali sono gli effetti collaterali per Atripla?
Atripla può causare gravi effetti collaterali tra cui:
- orticaria
- Difficoltà a respirare
- gonfiore della lingua o della gola
- febbre
- mal di gola
- occhi ardenti
- Dolore della pelle
- Eruzione cutanea rossa o viola con vesciche e peeling
- dolore medico insolito
- difficoltà a respirare
- dolori di stomaco
- vomito
- frequenza cardiaca irregolare
- vertigini
- Sentirsi freddo
- debolezza
- stanchezza
- Pensieri o comportamenti insoliti
- rabbia
- grave depressione
- Pensieri di ferire te stesso o gli altri
- allucinazioni
- convulsioni
- Aumentata sete e minzione
- Dolore muscolare
- debolezza
- gonfiore intorno alla tua parte centrale
- mal di stomaco superiore destro
- perdita di appetito
- urina scura
- sgabelli color argilla
- Ingialcare la pelle o gli occhi (ittero)
- sudori notturni
- ghiandole gonfie
- herpes labiale
- tosse
- sibilante
- diarrea
- perdita di peso
- problemi a parlare o deglutire
- Problemi con l'equilibrio o il movimento degli occhi
- sensazione di puntura
- gonfiore al collo o alla gola (tiroide allargata)
- cambiamenti mestruali e
- impotenza
Ottieni subito assistenza medica se hai uno qualsiasi dei sintomi sopra elencati.
Gli effetti collaterali comuni di Atripla includono:
- vertigini
- difficoltà a dormire
- sonnolenza
- sogni insoliti e
- difficoltà a concentrarsi.
Gli effetti collaterali possono iniziare 1-2 giorni dopo l'inizio di Atripla e di solito scomparire in 2-4 settimane. Altri effetti collaterali di Atripla includono:
- stanchezza
- mal di testa
- nausea
- vomito
- gas
- mal di stomaco
- diarrea E
- Scolorimento della pelle (come piccoli punti/lentiggini che si oscurano i palmi delle mani/suole dei piedi) e
- Cambiamenti nella forma o nella posizione del grasso corporeo (specialmente nelle braccia gambe sul collo del collo e la vita).
Di 'al medico se hai gravi effetti collaterali di Atripla, incluso:
- Perdita di peso inspiegabile
- dolori muscolari persistenti o debolezza
- Dolore articolare
- intorpidimento o formicolio delle mani/piedi/braccia/gambe
- grave stanchezza
- Cambiamenti della visione
- mal di testa grave o persistenti
- Segni di infezione (come i brividi della febbre che respirano le piaghe della pelle non guarite)
- Segni di una tiroide iperattiva (come l'irritabilità nervosismo Intolleranza rapida/martellante/irregolare Occhi sporgenti di cuore insolito nel collo o tiroide noto come gozzo) o
- Segni di un certo problema nervoso noto come sindrome di Guillain-Barre (come difficoltà a respirare/deglutire/muovere gli occhi che si abbattono la paralisi del viso discorso sporco).
Cerca cure mediche o chiama il 911 contemporaneamente se hai i seguenti gravi effetti collaterali:
- Sintomi di occhiali gravi come la perdita di visione improvvisa del tunnel della visione sfocata Dolore alla visione o gonfiore o vedere aloni attorno alle luci;
- Sintomi cardiaci gravi come battiti cardiaci irregolari o martellanti veloci; svolazzando nel petto; fiato corto; e improvviso vertigini giuria o svenuta;
- Grave mal di testa confusione Il braccio del linguaggio bloccato o la debolezza delle gambe problemi perdite perdita di coordinamento sentendoti instabili muscoli molto rigidi ad alta febbre abbondante sudorazione o tremori.
Questo documento non contiene tutti i possibili effetti collaterali e altri possono verificarsi. Verificare con il tuo medico ulteriori informazioni sugli effetti collaterali.
Dosaggio per atripla
La dose per adulti di Atripla è una compressa una volta presa al giorno presi per via orale a stomaco vuoto. Il dosaggio al momento di coricarsi può migliorare la tollerabilità dei sintomi del sistema nervoso.
Quali sostanze o integratori di farmaci interagiscono con Atripla?
Atripla può interagire con:
- aciclovir
- Ganciclovir
- valacyclovir
- Valganciclovir
- sertralina
- metadone
- Adefovir
- Cidofovir
- fluidi di sangue
- Farmaci di colesterolo
- antibiotici
- Bloccanti del canale di calcio
- medicine convulsive o
- Altre medicine per l'HIV
Di 'al medico tutti i farmaci che usi.
Atripla durante la gravidanza e l'allattamento
Atripla non è raccomandato per l'uso durante la gravidanza. Può danneggiare un feto soprattutto se assunto durante i primi 3 mesi di gravidanza. Le donne in età fertile dovrebbero avere un test di gravidanza prima di iniziare Atripla. Consultare il medico per l'uso di 2 forme di controllo delle nascite (come i preservativi con le pillole del controllo delle nascite) durante il trattamento e per 3 mesi dopo la fine del trattamento. L'Atripla riduce l'efficacia del controllo ormonale delle nascite, quindi deve essere utilizzata la protezione della barriera. Se rimani incinta o pensi di essere incinta dillo al medico. Discutere altre opzioni di trattamento dell'HIV durante la gravidanza per ridurre il rischio di trasmissione dell'HIV al bambino. Non è noto se questo farmaco passi nel latte materno. Poiché il latte materno può trasmettere l'HIV non allattare.
Ulteriori informazioni
Il nostro centro farmacologico Atripla (Efavirenz/Emtricitabine/Tenofovir Disoproxil Fumarate) fornisce una visione completa delle informazioni disponibili sui farmaci sui potenziali effetti collaterali durante l'assunzione di questo farmaco.
Informazioni sui farmaci FDA
- Descrizione del farmaco
- Indicazioni
- Effetti collaterali
- Interazioni farmacologiche
- Avvertimenti
- Overdose
- Farmacologia clinica
- Guida ai farmaci
AVVERTIMENTO
Esacerbazione post -trattamento dell'epatite B
L'ATRIPLA non è approvata per il trattamento dell'infezione da virus dell'epatite B cronico (HBV) e la sicurezza e l'efficacia di Atripla non sono state stabilite in pazienti coinfettati con HBV e HIV-1. Le gravi esacerbazioni acute dell'epatite B sono state riportate in pazienti che hanno interrotto Emtriva o Viread che sono componenti di Atripla. La funzione epatica dovrebbe essere monitorata da vicino con il follow-up clinico e di laboratorio per almeno diversi mesi in pazienti che sono stati infettati con HIV-1 e HBV e interrompere Atripla. Se l'inizio appropriato della terapia anti-epatite B può essere giustificata [vedere avvisi e PRECAUZIONI ].
Descrizione per Atripla
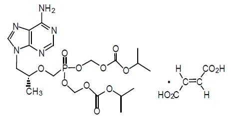
Atripla è una compressa di combinazione a dose fissa contenente efavirenz emtricitabina e tenofovir DF. Sustiva è il nome del marchio per Efavirenz un inibitore della trascrittasi inversa non nucleoside (NNRTI). Emtriva è il nome del marchio per emtricitabina Un analogo nucleosidico sintetico della citidina. Viread è il marchio per tenofovir df che viene convertito in vivo a tenofovir un analogo di nucleoside aciclico fosfonato (nucleotide) di adenosina 5'-monoposfato. Viread ed Emtriva sono i componenti di Truvada.
Le compresse Atripla sono per la somministrazione orale. Ogni compressa contiene 600 mg di efavirenz 200 mg di emtricitabina e 300 mg di tenofovir df (che equivale a 245 mg di tenofovir disoproxil) come ingredienti attivi. Le compresse includono i seguenti ingredienti inattivi: croscarmellosio di sodio idrossipropil cellulosa magnesio stearato microcristallino cellulosa e lauril solfato di sodio. Le compresse sono rivestite di film con un materiale di rivestimento contenente ossido di ferro nero polietilenlico glicole polivinilico di ossido di ferro rosso e biossido di titanio.
Efavirenz
Efavirenz is chemically described as (S)-6-chloro-4-(cyclopropylethynyl)-14dihydro-4-(trifluoromethyl)-2H-31-benzoxazin-2-one. Its molecular formula is C 14 H 9 CLF 3 NO 2 E la sua formula strutturale è:
|
Efavirenz is a white to slightly pink crystalline powder with a molecular mass of 315.68. It is practically insoluble in water (less than 10 μg/mL).
Emtricitabina
Il nome chimico dell'emtricitabina è 5-fluoro-1- (2R5S)-[2 (idrossimetil) -13-ossathiolan-5-il] citosina. L'emtricitabina è il (-) enantiomero di un analogo thio di citidina che differisce dagli altri analoghi della citidina in quanto ha un fluoro nella posizione 5.
Ha una formula molecolare di C 8 H 10 Fn 3 O 3 S e un peso molecolare di 247,24. Ha la seguente formula strutturale:
|
Emtricitabina is a white to off-white crystalline powder with a solubility of approximately 112 mg/mL in water at 25°C.
A cosa servono le compresse di Montelukast
Tenofovir df
Tenofovir df is a fumaric acid salt of the bisisopropoxycarbonyloxymethyl ester derivative of tenofovir. The chemical name of tenofovir DF is 9-[(R)-2[[bis[[(isopropoxycarbonyl)oxy]methoxy]phosphinyl]methoxy]propyl]adenine fumarate (1:1). Ha una formula molecolare di C 19 H 30 N 5 O 10 P • c 4 H 4 O 4 e un peso molecolare di 635,52. Ha la seguente formula strutturale:
|
Tenofovir df is a white to off-white crystalline powder with a solubility of 13.4 mg/mL in water at 25 °C.
Usi per Atripla
Atripla ® è indicato come regime completo o in combinazione con altri agenti antiretrovirali per il trattamento dell'infezione da HIV-1 negli adulti e nei pazienti pediatrici che pesano almeno 40 kg.
Dosaggio per atripla
Test prima dell'iniziazione e durante il trattamento con Atripla
Prima o quando si inizia i pazienti con test Atripla per l'infezione da virus dell'epatite B [vedi AVVERTIMENTOS AND PRECAUZIONI ].
Prima dell'iniziazione e durante l'uso di Atripla su un programma clinicamente appropriato valutare la creatinina sierica di clearance della creatinina al glucosio e proteina delle urine in tutti i pazienti. Nei pazienti con malattia renale cronica valuta anche il fosforo sierico [vedi AVVERTIMENTOS AND PRECAUZIONI ].
Monitorare la funzione epatica prima e durante il trattamento con atripla [vedi AVVERTIMENTOS AND PRECAUZIONI ].
Eseguire test di gravidanza prima dell'inizio di Atripla negli adolescenti e negli adulti di potenziale di gravidanza [vedi AVVERTIMENTOS AND PRECAUZIONI Utilizzare in popolazioni specifiche ].
Dosaggio raccomandato per adulti e pazienti pediatrici che pesano almeno 40 kg
Atripla is a three-drug fixed-dose combination product containing 600 mg of efavirenz (EFV) 200 mg of emtricitabine (FTC) E 300 mg of tenofovir disoproxil fumarate (TDF). The recommended dosage of Atripla in adults E pediatric patients weighing at least 40 kg is one tablet once daily taken orally on an empty stomach. Dosing at bedtime may improve the tolerability of nervous system symptoms [see Farmacologia clinica ].
Non raccomandato nei pazienti con compromissione renale moderata o grave
Atripla is not recommended in patients with moderate or severe renal impairment (estimated creatinine clearance below 50 mL/min) [see AVVERTIMENTOS AND PRECAUZIONI Utilizzare in popolazioni specifiche ].
Non raccomandato nei pazienti con compromissione epatica da moderata a grave
Atripla is not recommended in patients with moderate to severe hepatic impairment (Child Pugh B or C) [see AVVERTIMENTOS AND PRECAUZIONI E Utilizzare in popolazioni specifiche ].
Regolazione del dosaggio con Rifampin
Se l'Atripla viene somministrata con rifampina in pazienti che pesano 50 kg o più, prendi una compressa di Atripla una volta al giorno seguita da un ulteriore 200 mg al giorno di Efavirenz [vedi Interazioni farmacologiche E Farmacologia clinica ].
Come fornito
Forme di dosaggio e punti di forza
Atripla tablets are pink capsule shaped film coated debossed with 123 on one side E plain faced on the other side. Each tablet contains 600 mg of efavirenz 200 mg of emtricitabine E 300 mg of tenofovir disoproxil fumarate (equivalent to 245 mg of tenofovir disoproxil).
Archiviazione e maneggevolezza
Atripla Le compresse sono a forma di capsula rosa rivestita con pellicola con 123 da un lato e di fronte a una chiacchierata dall'altra parte. Ogni bottiglia contiene 30 compresse ( Ndc 15584-0101-1) e essiccant in gel di silice ed è chiuso con una chiusura resistente ai bambini.
Conservare a 25 ° C (77 ° F); Escursioni consentite a 15-30 ° C (59–86 ° F) [vedi temperatura ambiente controllata da USP].
- Mantieni il contenitore strettamente chiuso.
- Dispensare solo nel contenitore originale.
Prodotto e distribuito da: Gilead Sciences Inc. Foster City CA 94404. Revisionato: luglio 2018
Effetti collaterali for Atripla
Le seguenti reazioni avverse sono discusse in altre sezioni dell'etichettatura:
- Gravi esacerbazioni acute dell'epatite B nei pazienti coinfettati con HIV-1 e HBV [vedi AVVERTIMENTOS AND PRECAUZIONI ].
- Rash [vedi AVVERTIMENTOS AND PRECAUZIONI ].
- Epatotossicità [vedi AVVERTIMENTOS AND PRECAUZIONI ].
- Sintomi psichiatrici [vedi AVVERTIMENTOS AND PRECAUZIONI ].
- Sintomi del sistema nervoso [vedi AVVERTIMENTOS AND PRECAUZIONI ].
- Nuovo insorgenza o peggioramento della compromissione renale [vedi AVVERTIMENTOS AND PRECAUZIONI ].
- Tossicità dell'embrione-fetale [vedi AVVERTIMENTOS AND PRECAUZIONI ].
- Perdita ossea e difetti di mineralizzazione [vedi AVVERTIMENTOS AND PRECAUZIONI ].
- Convulsioni [vedi AVVERTIMENTOS AND PRECAUZIONI ].
- Acidosi lattica/epatomegalia grave con steatosi [vedi AVVERTIMENTOS AND PRECAUZIONI ].
- Sindrome di ricostituzione immunitaria [vedi AVVERTIMENTOS AND PRECAUZIONI ].
- Ridistribuzione dei grassi [vedi AVVERTIMENTOS AND PRECAUZIONI ].
Esperienza di studi clinici
Poiché gli studi clinici sono condotti in condizioni di reazione avverse ampiamente variabili osservate negli studi clinici di un farmaco non possono essere paragonati direttamente ai tassi negli studi clinici di un altro farmaco e potrebbero non riflettere i tassi osservati nella pratica.
Studi clinici su soggetti adulti
Lo studio 934 è stato uno studio controllato attivo in aperto in cui i soggetti 511 antiretrovirali-naïve hanno ricevuto FTC TDF somministrato in combinazione con EFV (n = 257) o zidovudina (AZT)/Lamivudina (3TC) somministrato in combinazione con EFV (n = 254).
Le reazioni avverse più comuni (incidenza maggiore o uguale al 10% di qualsiasi gravità) che si verificano nello studio 934 includono affaticamento della diarrea affaticamento del mal di testa alla depressione anomennea ed eruzione cutanea. Le reazioni avverse osservate nello studio 934 erano generalmente coerenti con quelle osservate negli studi precedenti dei singoli componenti (Tabella 1).
Tabella 1 Reazioni avverse selezionate a (Gradi 2–4) riportati in ≥5% in entrambi i gruppi di trattamento nello studio 934 (0-144 settimane)
| FTC TDF EFV b | It/3tc efv | |
| N = 257 | N = 254 | |
| Fatica | 9% | 8% |
| Depressione | 9% | 7% |
| Nausea | 9% | 7% |
| Diarrea | 9% | 5% |
| Vertigini | 8% | 7% |
| Infezioni del tratto respiratorio superiore | 8% | 5% |
| Sinusite | 8% | 4% |
| Evento erutto c | 7% | 9% |
| Mal di testa | 6% | 5% |
| Insonnia | 5% | 7% |
| Ansia | 5% | 4% |
| Rinofaringngite | 5% | 3% |
| Vomito | 2% | 5% |
| a Le frequenze delle reazioni avverse si basano su tutti gli eventi avversi emergenti dal trattamento, indipendentemente dalla relazione con lo studio del farmaco. b Dalle settimane da 96 a 144 dei soggetti di prova hanno ricevuto FTC/TDF somministrato in combinazione con EFV al posto di FTC TDF con EFV. c L'evento erutto include eruzione cutanea eruttativa eruzione cutanea generalizzata generalizzata rash maculare maculopapolare eruzione cutanea vescicolare. |
Nello studio 073 soggetti con soppressione virologica stabile sulla terapia antiretrovirale e nessuna storia di insufficienza virologica sono stati randomizzati a ricevere Atripla o a rimanere sul loro regime di base. Le reazioni avverse osservate nello studio 073 erano generalmente coerenti con quelle osservate nello studio 934 e quelle osservate con i singoli componenti di Atripla quando ciascuno è stato somministrato in combinazione con altri agenti antiretrovirali.
Efavirenz Emtricitabina or TDF
Oltre alle reazioni avverse nello studio 934 e nello studio 073 sono state osservate le seguenti reazioni avverse negli studi clinici di EFV FTC o TDF in combinazione con altri agenti antiretrovirali.
Efavirenz
Le reazioni avverse più significative osservate nei soggetti trattati con EFV erano i sintomi del sistema nervoso [vedi AVVERTIMENTOS AND PRECAUZIONI ] sintomi psichiatrici [vedi AVVERTIMENTOS AND PRECAUZIONI ] ed eruzione cutanea [vedi AVVERTIMENTOS AND PRECAUZIONI ].
Le reazioni avverse selezionate di intensità da moderata a grave osservata in maggiore o uguale al 2% dei soggetti trattati con EFV in due studi clinici controllati includevano il dolore alla concentrazione alterata Sogni anormali di sonnolenza anoressia Dispepsia Addominale Nervosismo e prurito.
È stata anche segnalata la pancreatite sebbene non sia stata stabilita una relazione causale con EFV. Sono stati osservati aumenti asintomatici dei livelli sierici di amilasi in un numero significativamente più elevato di soggetti trattati con EFV 600 mg rispetto ai soggetti di controllo.
È stato riportato scolorimento della pelle con una frequenza più elevata tra i soggetti trattati con FTC; È stato manifestato per iperpigmentazione sui palmi e/o sulle suole ed era generalmente lieve e asintomatico. Il meccanismo e il significato clinico sono sconosciuti.
Studi clinici su soggetti pediatrici
Efavirenz
La valutazione delle reazioni avverse si basa su tre studi clinici pediatrici in 182 soggetti pediatrici infetti da HIV-1 che hanno ricevuto EFV in combinazione con altri agenti antiretrovirali per una mediana di 123 settimane. The type and frequency of adverse reactions in the three trials were generally similar to that of adult subjects with the exception of a higher incidence of rash which was reported in 32% (59/182) of pediatric subjects compared to 26% of adults and a higher frequency of Grade 3 or 4 rash reported in 3% (6/182) of pediatric subjects compared to 0.9% of adults [see AVVERTIMENTOS AND PRECAUZIONI ].
Emtricitabina
Oltre alle reazioni avverse riportate nell'anemia degli adulti e l'iperpigmentazione sono state osservate rispettivamente nel 7% e nel 32% di soggetti pediatrici che hanno ricevuto un trattamento con FTC nel più grande di due studi pediatrici non controllati in aperto (n = 116).
Tenofovir df
In uno studio clinico pediatrico condotto in soggetti da 12 a meno di 18 anni le reazioni avverse osservate nei soggetti pediatrici che hanno ricevuto un trattamento con TDF (n = 81) erano coerenti con quelle osservate negli studi clinici di TDF negli adulti [vedi AVVERTIMENTOS AND PRECAUZIONI ].
Anomalie di laboratorio
Efavirenz Emtricitabina E Tenofovir df
Le anomalie di laboratorio osservate nello studio 934 erano generalmente coerenti con quelle osservate negli studi precedenti (Tabella 2).
Tabella 2 Anomalie di laboratorio significative riportate in ≥1% dei soggetti in entrambi i gruppi di trattamento nello studio 934 (0-144 settimane)
| FTC TDF EFV a | It/3tc efv | |
| N = 257 | N = 254 | |
| Qualsiasi anomalia di laboratorio di grado 3 | 30% | 26% |
| Colesterolo a digiuno (> 240 mg/dl) | 22% | 24% |
| Creatina chinasi (M:> 990 U/L) (F:> 845 U/L) | 9% | 7% |
| Siero amilasi (> 175 U/L) | 8% | 4% |
| Fosfatasi alcalina (> 550 U/L) | 1% | 0% |
| AST (M:> 180 U/L) (F:> 170 U/L) | 3% | 3% |
| TUTTO (M:> 215 U/L) (F:> 170 U/L) | 2% | 3% |
| Emoglobina ( <8.0 mg/dL) | 0% | 4% |
| Iperglicemia (> 250 mg/dl) | 2% | 1% |
| Ematuria (> 75 RBC/HPF) | 3% | 2% |
| Glicosuria (≥3) | <1% | 1% |
| Neutrofili ( <750/mm 3 ) | 3% | 5% |
| Trigliceridi a digiuno (> 750 mg/dl) | 4% | 2% |
| a Dalle settimane da 96 a 144 dei soggetti di prova hanno ricevuto FTC/TDF somministrato in combinazione con EFV al posto di FTC TDF con EFV. |
Le anomalie di laboratorio osservate nello studio 073 erano generalmente coerenti con quelle nello studio 934.
Eventi epatici
Nello studio 934 19 soggetti trattati con EFV FTC e TDF e 20 soggetti trattati con EFV e zidovudina/lamivudina a dosi fissa erano l'antigene di superficie dell'epatite B o l'anticorpo di epatite C positivo. Tra questi soggetti con coinfezione un soggetto (1/19) nel braccio EFV FTC e TDF ha avuto aumenti delle transaminasi a più di cinque volte ULN per 144 settimane. Nel braccio di zidovudina/lamivudina a dosi fissa due soggetti (2/20) avevano aumenti delle transaminasi a più di cinque volte ULN per 144 settimane. Nessun soggetto con coinfezione HBV e/o HCV è stato interrotto dal processo a causa di disturbi epatobiliari [vedi AVVERTIMENTOS AND PRECAUZIONI ].
Esperienza post -marketing
Le seguenti reazioni avverse sono state identificate durante l'uso post -approvazione di EFV FTC o TDF. Poiché le reazioni post -marketing sono riportate volontariamente da una popolazione di dimensioni incerte, non è sempre possibile stimare in modo affidabile la loro frequenza o stabilire una relazione causale con l'esposizione ai farmaci.
Efavirenz
Disturbi cardiaci
Palpitazioni
Disturbi dell'orecchio e del labirinto
Tinnitus vertigini
Disturbi endocrini
Ginecomastia
Disturbi degli occhi
Visione anormale
Disturbi gastrointestinali
Costipazione malabsorbimento
Disturbi generali e condizioni del sito di amministrazione
Astenia
Disturbi epatobiliari
Enzima epatico aumenta l'insufficienza epatica epatite
Disturbi del sistema immunitario
Reazioni allergiche
Metabolismo e disturbi nutrizionali
Ridistribuzione/accumulo di grasso corporeo [vedi AVVERTIMENTOS AND PRECAUZIONI ] Ipercolesterolemia Ipertrigliceridemia
Quello che viene in arrivo MG la morfina
Disturbi del tessuto muscoloscheletrico e connettivo
Myalgia di Artralgia Micoopatia
Disturbi del sistema nervoso
Coordinamento anormale Atassia Cerebellare coordinamento e disturbi dell'equilibrio Convulsioni Ipoestesia parestesia Neuropatia tremore
Disturbi psichiatrici
Reazioni aggressive Delusioni di agitazione Delusioni emotive Mania Neurosis Paranoia Psicosi suicida Catatonia
Disturbi toracici e mediastinali respiratori
Dispnea
Disturbi della pelle e dei tessuti sottocutanei
Sindrome di Dermatite fotoallergica multiforme di lavaggio
Emtricitabina
Non sono state identificate reazioni avverse post -marketing per l'inclusione in questa sezione.
Tenofovir df
Disturbi del sistema immunitario
Reazione allergica incluso l'angiedema
Metabolismo e disturbi nutrizionali
Acidosi lattica ipofosfatemia ipofosfatemia
Disturbi toracici e mediastinali respiratori
Dispnea
Disturbi gastrointestinali
Pancreatite ha aumentato il dolore addominale dell'amilasi
Disturbi epatobiliari
Epatite epatica Epatite aumentata gli enzimi epatici (più comunemente AST Alt Gamma GT)
Disturbi della pelle e dei tessuti sottocutanei
Eruzione cutanea
Disturbi del tessuto muscoloscheletrico e connettivo
Rabdomiolisi osteomalacia (manifestata come dolore osseo e che può contribuire alle fratture) Miopatia di debolezza muscolare
Disturbi renali e urinari
Insufficienza renale acuta insufficienza renale Necrosi tubulare acuta sindrome della tubulopatia renale prossimale Nefrite interstiziale (compresi i casi acuti) Diabete nefrogenico Insipido Insufficienza renale Aumenta la creatinina proteinuria poliuria
Disturbi generali e condizioni del sito di amministrazione
Astenia
Le seguenti reazioni avverse elencate sotto le intestazioni del sistema corporeo sopra possono verificarsi come conseguenza della tubulopatia renale prossimale: la rabdomiolisi osteomalacia ipokalemia di debolezza muscolare Ipofosfatemia.
Interazioni farmacologiche for Atripla
Efavirenz
Efavirenz has been shown in vivo indurre CYP3A e CYP2B6. Altri composti che sono substrati di CYP3A o CYP2B6 possono aver ridotto le concentrazioni plasmatiche quando somministrate con EFV.
I farmaci che inducono l'attività del CYP3A (ad es. Rifabutina di rifampina fenobarbitale) dovrebbero aumentare la clearance di EFV con conseguente riduzione delle concentrazioni plasmatiche [vedi Dosaggio e amministrazione ].
Sono disponibili informazioni limitate sul potenziale per un'interazione farmacodinamica tra EFV e farmaci che prolungano l'intervallo QTC. Il prolungamento del QTC è stato osservato con l'uso di EFV [vedi Farmacologia clinica ]. Consider alternatives to Atripla when coadministered with a drug with a known risk of Torsade de Pointes.
Farmaci che colpiscono la funzione renale
FTC e tenofovir sono eliminati principalmente dai reni [vedi Farmacologia clinica ]. Coadministration of Atripla with drugs that are eliminated by active tubular secretion may increase concentrations of FTC tenofovir E/or the coadministered drug. Some examples include but are not limited to aciclovir Adefovir dipivoxil Cidofovir Ganciclovir valacyclovir Valganciclovir aminoglycosides (e.g. gentamicin) E high-dose or multiple NSAIDs [see AVVERTIMENTOS AND PRECAUZIONI ]. Drugs that decrease renal function may increase concentrations of FTC E/or tenofovir.
Interazioni stabilite e potenzialmente significative
Altre importanti informazioni di interazione farmacologica per Atripla sono riassunte nella Tabella 3. Le interazioni farmacologiche descritte si basano su studi condotti con Atripla i componenti di Atripla (EFV FTC o TDF) come singoli agenti o sono potenziali interazioni farmacologiche [vedi Farmacologia clinica ].
Tabella 3 stabilita e potenzialmente significativa a Interazioni farmacologiche
| Classe di droga concomitante: nome del farmaco | Effetto | Commento clinico |
| Agenti antivirali dell'HIV | ||
| Protease inibitore: atazanavir | ↓ Atazanavir ↑ tenofovir | La somministrazione di co -somministrazione di azanavir con atripla non è raccomandata. L'effetto combinato di EFV più TDF sulle concentrazioni plasmatiche di Atazanavir non è noto. Non ci sono dati sufficienti per supportare le raccomandazioni di dosaggio per Atazanavir o Atazanavir/Ritonavir in combinazione con Atripla. |
| Protease inibitore: fosamprenavir calcium | ↓ impronta digitale | Fosamprenavir (non costante): non sono state stabilite dosi appropriate di Fosamprenavir e Atripla rispetto alla sicurezza e all'efficacia. FOSAMPRENAVIR/RITONAVIR: si raccomanda un ulteriore 100 mg/giorno (300 mg in totale) di ritonavir quando Atripla viene somministrata con Fosamprenavir/Ritonavir una volta al giorno. Non è richiesto alcun cambiamento nella dose di Ritonavir quando Atripla viene somministrata con Fosamprenavir più Ritonavir due volte al giorno. |
| Protease inibitore: indinavir | ↓ Indinavir | La dose ottimale di indinavir se somministrata in combinazione con EFV non è nota. L'aumento della dose di indinavir a 1000 mg ogni 8 ore non compensa l'aumento del metabolismo dell'indinavir a causa dell'EFV. |
| Protease inibitore: darunavir/ritonavir | ↑ tenofovir | Monitorare i pazienti che ricevono Atripla in concomitanza con darunavir potenziato con ritonavir per reazioni avverse associate al TDF. Interrompere l'atripla nei pazienti che sviluppano reazioni avverse associate al TDF. |
| Lopinavir/Ritonavir | ↓ Lopinavir ↑ tenofovir | Non utilizzare una volta la somministrazione quotidiana di lopinavir/ritonavir. L'aumento della dose di lopinavir/ritonavir è raccomandato a tutti i pazienti quando è stato somministrato con EFV. Fare riferimento alle informazioni complete sulla prescrizione per lopinavir/ritonavir per una guida sulla somministrazione di co-somministrazione con regimi contenenti EFV o tenofovir come Atripla. I pazienti devono essere monitorati per le reazioni avverse tenofovirassociate. Interrompere l'atripla nei pazienti che sviluppano reazioni avverse associate al TDF. |
| Protease inibitore: ritonavir | ↑ Ritonavir ↑ Efavirenz | Quando Ritonavir 500 mg ogni 12 ore veniva amministrato con EFV 600 mg una volta al giorno la combinazione era associata a una frequenza più elevata di esperienze cliniche avverse (ad esempio parestesia di nausea di vertigini) e anomalie di laboratorio (enzimi epatici elevati). Il monitoraggio degli enzimi epatici è raccomandato quando Atripla viene utilizzato in combinazione con Ritonavir. |
| Protease inibitore: saquinavir | ↓ Saqinavir | Non sono state stabilite dosi appropriate della combinazione di EFV e Saqinavir/Ritonavir rispetto alla sicurezza e all'efficacia. |
| Antagonista del co-recettore CCR5: maraviroc | ↓ Maraviroc | Fare riferimento alle informazioni complete sulla prescrizione per Maraviroc per una guida sulla somministrazione di co -somministrazione con Atripla. |
| NRTI: didanosine | ↑ didanosina | I pazienti che ricevono Atripla e didanosina devono essere monitorati da vicino per le reazioni avverse associate alla didanosina. Interrompere la didanosina nei pazienti che sviluppano reazioni avverse associate alla didanosina. Concentrazioni di didanosina più elevate potrebbero potenziare le reazioni avverse di didanosineassociate tra cui pancreatite e neuropatia. La soppressione dei conteggi delle cellule CD4 è stata osservata in pazienti che hanno ricevuto TDF con didanosina 400 mg al giorno. Nei pazienti che pesano superiori a 60 kg riducono la dose di didanosina a 250 mg quando è somministrata con Atripla. Nei pazienti che pesano meno di 60 kg riducono la dose di didanosina a 200 mg quando è somministrata con Atripla. Quando Atripla e Videx EC sono stati portati in condizioni a digiuno o con un pasto leggero (meno di 400 kcal 20% di grasso). |
| Nnrti: Other NNRTIs | ↑ o ↓ efavirenz e/o nnrti | La combinazione di due NNRTI non ha dimostrato di essere utile. Atripla contiene EFV e non dovrebbe essere somministrato con altri NNRTI. |
| Inibitore del trasferimento del filo integrasi: altegravir | ↓ raltegravir | Il significato clinico di questa interazione non è stato valutato direttamente. |
| Epatite C Agenti antivirali | ||
| boceprevir | ¾ boceprevir | Le concentrazioni plasmatiche di depressione di boceprevir sono state diminuite quando il boceprevir è stato somministrato con EFV che può comportare la perdita di effetto terapeutico. La combinazione dovrebbe essere evitata. |
| elbasvir/grazoprevir | ↓ я El Elvirvirvirvir ↓ Grazoprevir | La somministrazione co -somministrazione di atripla con elbasvir/grazoprevir è controindicata [vedi Controindicazioni ] perché può portare alla perdita di risposta virologica a Elbasvir/Grazoprevir. |
| glecaprevir/pibrentasvir | ↓ pibrentasvir ↓ Glecaprevir | La somministrazione di co -somministrazione di Atripla non è raccomandata perché può portare a una ridotta effetto terapeutico di pibrentasvir/Glecaprevir. |
| ledipasvir/sofosbuvir | ↑ tenofovir | Pazienti che ricevono Atripla e Harvoni ® (Ledipasvir/sofosbuvir) in concomitanza deve essere monitorato per le reazioni avverse associate al TDF. |
| simeprevir | ↓ SIMEPREVIR ↔ Efavirenz | La somministrazione concomitante di Simeprevir con EFV non è raccomandata perché può comportare la perdita di effetto terapeutico di Simeprevir. |
| sofosbuvir/velpatasvir sofosbuvir/velpatasvir/ voxilaprevir | ↑ tenofovir ↓ Velpatasvir ↓ Voxilaprevir | Controllo della co-amministrazione di regimi contenenti EFV ed EPCLUSA ® (Sofosbuvir/Velpatasvir) o Vosevi ® (Sofosbuvir/Velpatasvir/Voxilaprevir) non è raccomandato. |
| Altri agenti | ||
| Anticoagulante: warfarin | ↑ o ↓ warfarin | Concentrazioni plasmatiche ed effetti potenzialmente aumentati o diminuiti da EFV. |
| Anticonvulsiranti: carbamazepine | ↓ Carbamazepina £ efavirenz | Non ci sono dati sufficienti per formulare una raccomandazione di dose per Atripla. È necessario utilizzare un trattamento anticonvulsivante alternativo. |
| phenytoin phenobarbital | ↓ anticonvulsivante £ efavirenz | Potenziale di riduzione nei livelli plasmatici anticonvulsivanti e/o EFV; Dovrebbe essere condotto il monitoraggio periodico dei livelli plasmatici anticonvulsivanti. |
| Antidepressivi: bupropion | ↓ buproprion | Si ritiene che l'effetto dell'EFV sull'esposizione al bupropione sia dovuto all'induzione del metabolismo del bupropione. Gli aumenti del dosaggio di bupropione devono essere guidati dalla risposta clinica ma la dose massima raccomandata di bupropione non deve essere superata. |
| sertralina | ↓ sertralina | Gli aumenti della dose di sertralina dovrebbero essere guidati dalla risposta clinica. |
| Antifungini: itraconazole | ↓ itraconazolo ↓ idrossietraconazolo | Poiché non è possibile prendere in considerazione alcuna raccomandazione di dose per itraconazolo. |
| ketoconazole | ↓ ketoconazolo | Non sono stati condotti studi di interazione farmacologica con Atripla e ketoconazolo. Efavirenz ha il potenziale per ridurre le concentrazioni plasmatiche di ketoconazolo. |
| posaconazole | ↓ posaconazolo | Evita l'uso concomitante a meno che il beneficio non superi i rischi. |
| voriconazole | ↓ Voriconazolo ↑ Efavirenz | La somministrazione co -somministrazione di atripla con voriconazolo è controindicata [vedi Controindicazioni ] perché può portare a una ridotta effetto terapeutico del voriconazolo e ad un aumento del rischio di reazioni avverse associate all'EFV |
| Anti-infettivo: clarithromycin | ↓ Claritromicina ↑ Metabolite 14-OH | Prendi in considerazione le alternative agli antibiotici macrolidi a causa del rischio di prolungamento dell'intervallo QT. |
| Antimycobacteriale: rifabutin | ↓ Rifabutina | Aumenta la dose giornaliera di rifabutina del 50%. Prendi in considerazione il raddoppio della dose di rifabutina nei regimi in cui la rifabutina viene somministrata 2 o 3 volte a settimana. |
| rifampin | £ efavirenz | Se l'ATRIPLA è somministrata con il rifampina con i pazienti che pesano 50 kg o più un ulteriore 200 mg/giorno di EFV si raccomanda. |
| Antimalarici: artemether/ lumefantrina | ↓ Artemether ↓ Diidroartemisinina ↓ lumefantrina | Prendi in considerazione le alternative a artemether/lumefantrina a causa del rischio di prolungamento dell'intervallo di QT [vedi AVVERTIMENTOS AND PRECAUZIONI ]. |
| atovaquone/proguanil | ↓ Atovaquone ↓ proguanil | Non è raccomandata la somministrazione concomitante di atovaquone/proguanil con atripla. |
| Bloccanti del canale di calcio: diltiazem | ↓ Diltiazem ↓ desacetil diltiazem ↓ N-monodesmetil diltiazem | Gli aggiustamenti della dose di diltiazem devono essere guidati dalla risposta clinica (fare riferimento alle informazioni complete di prescrizione per Diltiazem). Non è necessaria alcuna regolazione della dose di atripla se somministrato con diltiazem. |
| Others e.g. felodipine nicardipine nifedipine verapamil | ↓ Blocatore del canale di calcio | Non sono disponibili dati sulle potenziali interazioni di EFV con altri bloccanti del canale di calcio che sono substrati del CYP3A. Il potenziale esiste per la riduzione delle concentrazioni plasmatiche del bloccante del canale di calcio. Gli aggiustamenti della dose devono essere guidati dalla risposta clinica (fare riferimento alle informazioni complete sulla prescrizione per il bloccante del canale del calcio). |
| HMG-CoA reduttasi inibitori: atorvastatin pravastatin simvastatin | ↓ Atorvastatina ↓ pravastatina ↓ simvastatina | Le concentrazioni plasmatiche di atorvastatina pravastatina e simvastatina sono diminuite con EFV. Consultare le informazioni complete sulla prescrizione per l'inibitore HMG-CoA reduttasi per la guida sulla pubblicizzazione della dose. |
| Contraccettivi ormonali: Orale: ethinyl estradiol/norgestimate | ↓ metaboliti attivi di norgesima | Un metodo affidabile di contraccezione barriera deve essere utilizzato oltre ai contraccettivi ormonali. Efavirenz non ha avuto alcun effetto sulle concentrazioni di etinil estradiolo, ma i livelli di progestinico (Norelgestromin e Levonorgestrel) sono stati notevolmente ridotti. Non è stato osservato alcun effetto di etinil estradiolo/norgesimo sulle concentrazioni plasmatiche di EFV. |
| Impiantare: etonogestrel | ENT ETONOGESTREL | Un metodo affidabile di contraccezione barriera deve essere utilizzato oltre ai contraccettivi ormonali. Si può prevedere una riduzione dell'esposizione di etonogestrel. Ci sono stati segnalazioni post -marketing di fallimento contraccettivo con etonogestrel nei pazienti efvexposti. |
| Immunosoppressori: cyclosporine tacrolimus sirolimus E others metabolized by CYP3A | ↓ immunosoppressore | Si può prevedere una riduzione dell'esposizione dell'immunosoppressore a causa dell'induzione del CYP3A da parte di EFV. Si prevede che questi immunosoppressori influenzino l'esposizione di EFV. Potrebbero essere richieste regolazioni della dose dell'immunosoppressore. Un attento monitoraggio delle concentrazioni di immunosoppressori per almeno 2 settimane (fino a raggiungere le concentrazioni stabili) si raccomanda quando si avvia o si interrompe il trattamento con Atripla. |
| Analgesico narcotico: metadone | ↓ metadone | La somministrazione di co-somministrazione di EFV negli individui infetti da HIV-1 con una storia di uso di droghe per iniezione ha comportato segni di ritiro degli oppiacei. La dose di metadone è stata aumentata di una media del 22% per alleviare i sintomi di astinenza. I pazienti devono essere monitorati per i segni di astinenza e la loro dose di metadone è aumentata a seconda di quando alleviare i sintomi di astinenza. |
| a Questo tavolo non è tutto compreso. |
Efavirenz Assay Interference
Interazione di test dei cannabinoidi: Efavirenz non si lega ai recettori dei cannabinoidi. I risultati dei test di cannabinoidi di urina falsipositivi sono stati riportati con alcuni test di screening in soggetti infetti e infetti da HIV che ricevono EFV. Si consiglia la conferma di test di screening positivi per cannabinoidi con un metodo più specifico.
Avvertimenti per Atripla
Incluso come parte del PRECAUZIONI sezione.
Precauzioni per Atripla
I pazienti sono stati infettati con HIV-1 e HBV
Si raccomanda che tutti i pazienti con HIV-1 siano testati per la presenza di HBV cronico prima di iniziare la terapia antiretrovirale. L'ATRIPLA non è approvata per il trattamento dell'infezione da HBV cronica e la sicurezza e l'efficacia di Atripla non sono state stabilite in pazienti con HBV e HIV-1. Le gravi esacerbazioni acute dell'epatite B sono state riportate in pazienti che sono stati infettati con HBV e HIV-1 e hanno interrotto l'emtricitabina o il tenofovir Df due dei componenti di Atripla. In alcuni pazienti infettati da HBV e trattati con emtricitabina, le esacerbazioni dell'epatite B erano associate alla decompensa epatica e all'insufficienza epatica. I pazienti che sono stati infettati con HIV-1 e HBV devono essere attentamente monitorati con il follow-up clinico e di laboratorio per almeno diversi mesi dopo aver interrotto il trattamento con ATRIPLA. Se appropriato l'inizio della terapia anti-epatite B può essere giustificata.
Atripla should not be administered with HEPSERA® (Adefovir dipivoxil) [Vedere Interazioni farmacologiche ].
Interazioni farmacologiche
Efavirenz plasma concentrations may be altered by substrates inhibitors or inducers of CYP3A. Likewise efavirenz may alter plasma concentrations of drugs metabolized by CYP3A or CYP2B6. The most prominent effect of efavirenz at steady state is induction of CYP3A E CYP2B6 [Vedere Interazioni farmacologiche ].
Acidosi lattica/epatomegalia grave con steatosi
L'acidosi lattica e l'epatomegalia grave con steatosi, compresi i casi fatali, sono stati riportati con l'uso di analoghi nucleosidici tra cui tenofovir DF e componenti di emtricitabina di Atripla da solo o in combinazione con altri antiretrovirali. Il trattamento con Atripla dovrebbe essere sospeso in qualsiasi paziente che sviluppi risultati clinici o di laboratorio che suggeriscono l'acidosi lattica o l'epatotossicità pronunciata (che può includere epatomegalia e steatosi anche in assenza di marcati aumenti transaminasi).
Condominister con prodotti correlati
Atripla is a fixed-dose combination of efavirenz emtricitabine E tenofovir DF. Do not coadminister Atripla with other drugs containing emtricitabine tenofovir DF or tenofovir alafenamide including COMPLERA® DESCOVY® EMTRIVA® GENVOYA® ODEFSEY® STRIBILD® TRUVADA® VEMLIDY® or VIREAD®. SUSTIVA® (efavirenz) should not be coadministered with Atripla unless needed for dose-adjustment (e.g. with rifampin) [Vedere Dosaggio e amministrazione Interazioni farmacologiche ]. Due to similarities between emtricitabine E lamivudine Atripla should not be coadministered with drugs containing lamivudine including Combivir (lamivudine/zidovudine) Epivir or Epivir-HBV (lamivudine) Epzicom (abacavir sulfate/lamivudine) or Trizivir (abacavir sulfate/lamivudine/zidovudine).
Prolungamento QTC
È stato osservato il prolungamento del QTC con l'uso di efavirenz [vedi Interazioni farmacologiche E Farmacologia clinica ]. Consider alternatives to Atripla when coadministered with a drug with a known risk of Torsade de Pointes or when administered to patients at higher risk of Torsade de Pointes.
Sintomi psichiatrici
Sono state riportate gravi esperienze avverse psichiatriche nei pazienti trattati con Efavirenz. In prove controllate di 1008 soggetti trattati con regimi contenenti efavirenz per una media di 2,1 anni e 635 soggetti trattati con regimi di controllo per una media di 1,5 anni la frequenza (indipendentemente dalla causalità) di eventi psichiatrici specifici (NULL,9%) suicidati (NULL,9%) suicidati (NULL,9%). tentativi di suicidio non fatale (NULL,5% 0%) comportamento aggressivo (NULL,4% 0,5%) reazioni paranoiche (NULL,4% 0,3%) e reazioni maniacali (NULL,2% 0,3%). Quando i sintomi psichiatrici simili a quelli sopra indicati sono stati combinati e valutati come gruppo in un'analisi multifattoriale dei dati dello studio AI266006 (006) il trattamento con Efavirenz è stato associato ad un aumento del verificarsi di questi sintomi psichiatrici selezionati. Altri fattori associati ad un aumento del verificarsi di questi sintomi psichiatrici sono stati la storia della storia psichiatrica di droghe per iniezione e la ricezione di farmaci psichiatrici all'ingresso di prova; Associazioni simili sono state osservate in entrambi i gruppi di trattamento di Efavirenz e di controllo. Nello studio 006 insorgenza di nuovi seri sintomi psichiatrici si sono verificati durante lo studio sia per soggetti trattati con Efavirenz che trattati con controllo. L'uno percento dei soggetti trattati con Efavirenz ha interrotto o interrotto il trattamento a causa di uno o più di questi sintomi psichiatrici selezionati. Ci sono stati anche occasionali segnalazioni post-marketing sulla morte da parte del suicidio comportamento simile alla psicosi e della catatonia, sebbene una relazione causale con l'uso di Efavirenz non possa essere determinata da questi rapporti. I pazienti con gravi esperienze avverse psichiatriche dovrebbero cercare una valutazione medica immediata per valutare la possibilità che i sintomi possano essere correlati all'uso di efavirenz e in tal caso per determinare se i rischi della terapia continua superano i benefici [vedi Reazioni avverse ].
Sintomi del sistema nervoso
Il cinquantatre per cento (531/1008) dei soggetti che hanno ricevuto efavirenz in studi controllati hanno riportato sintomi del sistema nervoso centrale (qualsiasi grado indipendentemente dalla causalità) rispetto al 25% (156/635) dei soggetti che hanno ricevuto regimi di controllo. Questi sintomi includevano vertigini (NULL,1%dei 1008 soggetti) insonnia (NULL,3%) concentrazione compromessa (NULL,3%) sonnolenza (NULL,0%) sogni anormali (NULL,2%) e allucinazioni (NULL,2%). Altri sintomi segnalati sono stati l'agitazione della confusione di euforia di amnesia stupore pensiero anormale e depersonalizzazione. La maggior parte di questi sintomi era da lieve a moderata (NULL,7%); I sintomi erano gravi nel 2,0% dei soggetti. Di conseguenza, il 2,1% dei soggetti ha interrotto la terapia. Questi sintomi di solito iniziano durante il primo o il secondo giorno di terapia e generalmente si risolvono dopo le prime 2-4 settimane di terapia. Dopo 4 settimane di terapia la prevalenza dei sintomi del sistema nervoso di almeno una gravità moderata variava dal 5% al 9% nei soggetti trattati con regimi contenenti efavirenz e dal 3% al 5% nei soggetti trattati con un regime di controllo. I pazienti dovrebbero essere informati che questi sintomi comuni probabilmente miglioreranno con la terapia continua e non erano predittivi del successivo inizio dei sintomi psichiatrici meno frequenti [vedi Sintomi psichiatrici ]. Dosing at bedtime may improve the tolerability of these nervous system symptoms [Vedere Dosaggio e amministrazione ].
Analisi dei dati a lungo termine dallo studio 006 (follow-up mediano 180 settimane 102 settimane e 76 settimane per i soggetti trattati con efavirenz zidovudine lamivudine efavirenz indinavir e indinavir zidovudina lamivudine rispettivamente) braccio di controllo contenenti indinavir.
I pazienti che ricevono Atripla devono essere avvisati del potenziale per gli effetti del sistema nervoso centrale additivo quando l'Atripla viene utilizzata in concomitanza con alcol o farmaci psicoattivi.
I pazienti che manifestano sintomi del sistema nervoso centrale come vertigini compromesse e/o sonnolenza dovrebbero evitare compiti potenzialmente pericolosi come la guida o la operazione operativa.
Nuovo insorgenza o peggioramento della compromissione renale
Emtricitabina E tenofovir are principally eliminated by the kidney; however efavirenz is not. Since Atripla is a combination product E the dose of the individual components cannot be altered patients with estimated creatinine clearance below 50 mL/min should not receive Atripla.
È stata segnalata la compromissione renale che comprende casi di insufficienza renale acuta e sindrome di Fanconi (lesione tubulare renale con ipofosfatemia grave) con l'uso di tenofovir DF [vedi Reazioni avverse ].
Si raccomanda di valutare la clearance della creatinina stimata in tutti i pazienti prima di iniziare la terapia e come clinicamente appropriato durante la terapia con ATRIPLA. Nei pazienti a rischio di disfunzione renale, compresi i pazienti che hanno precedentemente subito eventi renali durante la ricezione di epsera, si raccomanda di valutare il glucosio di urina siero di clearance della creatinina stimata prima dell'inizio di Atripla e periodicamente durante la terapia con Atripla.
Atripla should be avoided with concurrent or recent use of a nephrotoxic agent (e.g. high-dose or multiple non-steroidal anti-inflammatory drugs [NSAIDs]) [Vedere Interazioni farmacologiche ]. Cases of acute renal failure after initiation of high-dose or multiple NSAIDs have been reported in HIV-infected patients with risk factors for renal dysfunction who appeared stable on tenofovir DF. Some patients required hospitalization E renal replacement therapy. Alternatives to NSAIDs should be considered if needed in patients at risk for renal dysfunction.
Il dolore persistente o peggioramento del dolore osseo nelle fratture delle estremità e/o il dolore muscolare o la debolezza possono essere manifestazioni di tubulopatia renale prossimale e dovrebbe richiedere una valutazione della funzione renale nei pazienti a rischio.
Potenziale di rischio riproduttivo
Categoria della gravidanza D: Efavirenz può causare danni fetali quando somministrato durante il primo trimestre a una donna incinta. La gravidanza dovrebbe essere evitata nelle donne che ricevono Atripla. La contraccezione barriera deve essere sempre usata in combinazione con altri metodi di contraccezione (ad esempio contraccettivi ormonali orali o altri). A causa della lunga emivita dell'uso di Efavirenz di adeguate misure contraccettive per 12 settimane dopo l'interruzione di Atripla. Le donne di potenziale di gravidanza dovrebbero sottoporsi a test di gravidanza prima dell'inizio di Atripla. Se questo farmaco viene utilizzato durante il primo trimestre di gravidanza o se il paziente rimane incinta durante l'assunzione di questo farmaco, il paziente dovrebbe essere informato del potenziale danno al feto.
Non ci sono studi adeguati e ben controllati su Atripla nelle donne in gravidanza. Atripla dovrebbe essere utilizzata durante la gravidanza solo se il potenziale beneficio giustifica il potenziale rischio per il feto come nelle donne in gravidanza senza altre opzioni terapeutiche [vedi Utilizzare in popolazioni specifiche ].
Eruzione cutanea
Negli studi clinici controllati il 26% (266/1008) di soggetti adulti trattati con 600 mg di Efavirenz ha sperimentato un'eruzione cutanea nuova ad esordio rispetto al 17% (111/635) di quelli trattati nei gruppi di controllo. L'eruzione cutanea associata alla desquamazione umida o all'ulcerazione delle vesciche si è verificata nello 0,9% (9/1008) di soggetti trattati con efavirenz. L'incidenza di eruzione cutanea di grado 4 (ad es. Sindrome di Eritema multiforme Stevens-Johnson) in soggetti adulti trattati con Efavirenz in tutte le prove e l'accesso ampliato è stato dello 0,1%. Le eruzioni cutanee sono generalmente eruzioni cutanee maculopapolari da lievi a moderate che si verificano entro le prime 2 settimane dall'inizio della terapia con Efavirenz (il tempo mediano all'inizio dell'eruzione cutanea negli adulti è stato di 11 giorni) e nella maggior parte dei soggetti continuano la terapia con Efavirenz Resolds entro 1 mese (durata mediana 16 giorni). Il tasso di interruzione per l'eruzione cutanea negli studi clinici per adulti era dell'1,7% (17/1008). L'ATRIPLA può essere reiniziata nei pazienti che interrompono la terapia a causa dell'eruzione cutanea. L'ATRIPLA dovrebbe essere sospesa in pazienti che sviluppano gravi eruzioni cutanee associate al coinvolgimento della mucosa di desquamazione o alla febbre. Gli antistaminici e/o i corticosteroidi appropriati possono migliorare la tollerabilità e accelerare la risoluzione dell'eruzione cutanea. Per i pazienti che hanno avuto una reazione cutanea potenzialmente letale Controindicazioni ].
Experience with efavirenz in subjects who discontinued other antiretroviral agents of the NNRTI class is limited. Nineteen subjects who discontinued nevirapine because of rash have been treated with efavirenz. Nine of these subjects developed mild-to-moderate rash while receiving therapy with efavirenz and two of these subjects discontinued because of rash.
Eruzione cutanea was reported in 59 of 182 pediatric subjects (32%) treated with efavirenz [Vedere Reazioni avverse ]. Two pediatric subjects experienced Grade 3 eruzione cutanea (confluent eruzione cutanea with febbre generalized eruzione cutanea) E four subjects had Grade 4 eruzione cutanea (erythema multiforme). The median time to onset of eruzione cutanea in pediatric subjects was 28 days (range 3-1642 days). Prophylaxis with appropriate antihistamines before initiating therapy with Atripla in pediatric patients should be considered.
Epatotossicità
Il monitoraggio degli enzimi epatici prima e durante il trattamento è raccomandato per i pazienti con malattia epatica sottostante tra cui l'infezione da epatite B o C; pazienti con marcati aumenti transaminasi; e pazienti trattati con altri farmaci associati alla tossicità epatica [vedi I pazienti sono stati infettati con HIV-1 e HBV ]. A few of the postmarketing reports of hepatic failure occurred in patients with no pre-existing hepatic disease or other identifiable risk factors [Vedere Reazioni avverse ]. Liver enzyme monitoring should also be considered for patients without pre-existing hepatic dysfunction or other risk factors. In patients with persistent elevations of serum transaminases to greater than five times the upper limit of the normal range the benefit of continued therapy with Atripla needs to be weighed against the unknown risks of significant liver toxicity [Vedere Reazioni avverse ].
Effetti ossei di tenofovir DF
Densità minerale ossea
Negli studi clinici negli adulti infetti da HIV-1 tenofovir DF è stato associato a diminuzioni leggermente maggiori nella densità minerale ossea (BMD) e aumenti dei marcatori biochimici del metabolismo osseo che suggeriscono un aumento del turnover osseo rispetto ai comparatori. Anche i livelli di ormone paratiroide sierico e 125 livelli di vitamina D erano più elevati nei soggetti che ricevevano tenofovir DF.
Sono stati condotti studi clinici che valutano il tenofovir DF in soggetti pediatrici e adolescenti. In circostanze normali, la BMD aumenta rapidamente nei pazienti pediatrici. Nei soggetti infetti da HIV-1 di età compresa tra 2 anni a meno di 18 anni gli effetti ossei erano simili a quelli osservati nei soggetti adulti e suggeriscono un aumento del turnover osseo. Il guadagno totale della BMD del corpo era inferiore nei soggetti pediatrici infetti da HIV-1 trattati con HIV-1 rispetto ai gruppi di controllo. Tendenze simili sono state osservate nei soggetti adolescenti infetti da epatite da epatite cronica di età compresa tra 12 anni a meno di 18 anni. In tutti gli studi pediatrici la crescita scheletrica (altezza) sembrava non interessata. Per ulteriori informazioni, consultare le informazioni sulla prescrizione di viread.
sodio sulfacetamide e lavaggio del viso di zolfo
Gli effetti dei cambiamenti associati a DF di Tenofovir nei marcatori BMD e biochimici sulla salute delle ossa a lungo termine e il rischio di frattura futura non sono noti. La valutazione della BMD dovrebbe essere considerata per i pazienti adulti e pediatrici che hanno una storia di frattura ossea patologica o altri fattori di rischio per l'osteoporosi o la perdita ossea. Sebbene l'effetto della supplementazione con calcio e vitamina D non sia stato studiato tale supplementazione può essere utile per tutti i pazienti. Se si sospettano anomalie ossee, è necessario ottenere una consultazione appropriata.
Difetti di mineralizzazione
Casi di osteomalacia associati alla tubulopatia renale prossimale manifestate come dolore osseo o dolore alle estremità e che possono contribuire alle fratture sono stati riportati in associazione con l'uso di tenofovir DF [vedi Reazioni avverse ]. Arthralgias E Dolore muscolare or debolezza have also been reported in cases of proximal renal tubulopathy. Hypophosphatemia E osteomalacia secondary to proximal renal tubulopathy should be considered in patients at risk of renal dysfunction who present with persistent or worsening bone or muscle symptoms while receiving products containing tenofovir DF [Vedere Nuovo insorgenza o peggioramento della compromissione renale ].
Convulsioni
Convulsioni have been observed in adult E pediatric patients receiving efavirenz generally in the presence of known medical history of convulsioni. Caution must be taken in any patient with a history of convulsioni.
I pazienti che ricevono farmaci anticonvulsivanti concomitanti principalmente metabolizzati dal fegato come fenitoina e fenobarbitale possono richiedere un monitoraggio periodico dei livelli plasmatici [vedi Interazioni farmacologiche ].
Sindrome di ricostituzione immunitaria
La sindrome di ricostituzione immunitaria è stata riportata in pazienti trattati con terapia antiretrovirale combinata, comprese i componenti di Atripla. Durante la fase iniziale della combinazione, i pazienti con trattamento antiretrovirale il cui sistema immunitario risponde può sviluppare una risposta infiammatoria a infezioni opportunistiche indolenti o residue (come l'infezione da Mycobacterium avium citomegalovirus pneumocystis jirovecii polmonita [PCP] o tuberculosi) che possono richiedere ulteriori valutazioni e cure.
Sono stati anche segnalati disturbi autoimmuni (come la polimiosite della malattia di Graves e la sindrome di Guillain-Barré) nel contesto della ricostituzione immunitaria; Tuttavia, il tempo di insorgenza è più variabile e può verificarsi molti mesi dopo l'inizio del trattamento.
Ridistribuzione dei grassi
Ridistribuzione/accumulo di grasso corporeo, incluso l'obesità centrale dell'ingrandimento del grasso dorsocervicale (gobba di bufalo) per perdita di periferia per la perdita di viso all'ingrandimento del seno e all'aspetto dei cushingoidi è stato osservato in pazienti che hanno ricevuto terapia antiretrovirale, compresa l'efavirenz. Il meccanismo e le conseguenze a lungo termine di questi eventi sono attualmente sconosciuti. Una relazione causale non è stata stabilita.
Informazioni sulla consulenza del paziente
Consiglia al paziente di leggere l'etichettatura del paziente approvato dalla FDA ( Informazioni sul paziente ).
Interazioni farmacologiche
Una dichiarazione per i pazienti e gli operatori sanitari è inclusa nelle etichette delle bottiglie del prodotto: Avviso: scopri i medicinali che non dovrebbero essere assunti con Atripla. Atripla può interagire con alcuni farmaci; Pertanto consiglia ai pazienti di riferire al proprio medico l'uso di qualsiasi altra prescrizione o vitamine di farmaci non prescription o integratori a base di erbe.
Informazioni generali per i pazienti
Informare i pazienti che l'ATRIPLA non è una cura per l'infezione da HIV-1 e i pazienti possono continuare a sperimentare malattie associate all'infezione da HIV-1, comprese le infezioni opportunistiche. I pazienti dovrebbero rimanere sotto la cura di un medico quando si utilizzano Atripla.
Consiglia ai pazienti di evitare di fare cose che possono diffondere l'HIV-1 ad altri:
- Non condividere aghi o altre attrezzature per iniezione.
- Non condividere oggetti personali che possono avere fluidi di sangue o corpo su di essi come spazzolini da denti e pale di rasoio.
- Non fare alcun tipo di sesso senza protezione. Pratica sempre il sesso sicuro usando un preservativo in lattice o poliuretano per abbassare la possibilità di contatto sessuale con secrezioni vaginali del seme o sangue.
- Non allattare al seno. Alcune medicine ad Atripla possono essere passate al tuo bambino nel latte materno. Non sappiamo se potrebbe danneggiare il tuo bambino. Anche le madri con HIV-1 non dovrebbero allattare perché l'HIV-1 può essere passata al bambino nel latte materno.
Consiglia ai pazienti che:
- Gli effetti a lungo termine di Atripla sono sconosciuti.
- La ridistribuzione o l'accumulo di grasso corporeo possono verificarsi nei pazienti che ricevono terapia antiretrovirale e che la causa e gli effetti sulla salute a lungo termine di queste condizioni non sono noti [vedi AVVERTIMENTOS AND PRECAUZIONI ].
- Atripla should not be coadministered with COMPLERA DESCOVY EMTRIVA GENVOYA ODEFSEY STRIBILD TRUVADA VEMLIDY or VIREAD; or drugs containing lamivudine including Combivir Epivir Epivir-HBV Epzicom or Trizivir. SUSTIVA should not be coadministered with Atripla unless needed for dose adjustment [Vedere AVVERTIMENTOS AND PRECAUZIONI ].
- Atripla should not be administered with HEPSERA [Vedere AVVERTIMENTOS AND PRECAUZIONI ].
I pazienti sono stati infettati con HIV-1 e HBV
Consiglia ai pazienti che sono state riportate gravi esacerbazioni acute dell'epatite B in pazienti che sono stati infettati con HBV e HIV-1 e hanno interrotto EMTiva (emtricitabina) o viread (tenofovir DF) che sono componenti di Atripla [vedi AVVERTIMENTOS AND PRECAUZIONI ].
Acidosi lattica e grave epatomegalia
Informare i pazienti che sono state riportate acidosi lattica e grave epatomegalia con steatosi, compresi i casi fatali. Il trattamento con Atripla deve essere sospeso in qualsiasi paziente che sviluppi sintomi clinici che suggeriscono acidosi lattica o pronunciata epatotossicità [vedi AVVERTIMENTOS AND PRECAUZIONI ].
Nuovo insorgenza o peggioramento della compromissione renale
Informare i pazienti che è stata riportata la compromissione renale, inclusi casi di insufficienza renale acuta e sindrome di Fanconi. Consiglia ai pazienti di evitare l'uso di atripla con un uso simultaneo o recente di un agente nefrotossico (ad esempio FANS ad alte dosi o multipli) [vedi AVVERTIMENTOS AND PRECAUZIONI ].
Effetti ossei di tenofovir DF
Informare i pazienti che diminuiscono nella densità minerale ossea sono stati osservati con l'uso di tenofovir DF. Consiglia ai pazienti che il monitoraggio della densità minerale ossea può essere eseguito in pazienti che hanno una storia di frattura ossea patologica o altri fattori di rischio per l'osteoporosi o la perdita ossea [vedi AVVERTIMENTOS AND PRECAUZIONI ].
Istruzioni per il dosaggio
Consiglia ai pazienti di prendere Atripla per via orale a stomaco vuoto e che è importante prendere Atripla in un normale programma di dosaggio per evitare le dosi mancanti.
Sintomi del sistema nervoso
- Informare i pazienti che i sintomi del sistema nervoso centrale (NSS), incluso l'insonnia di vertigini, compromessa la sonnolenza della concentrazione e i sogni anormali sono comunemente riportati durante le prime settimane di terapia con Efavirenz. Il dosaggio al momento di coricarsi può migliorare la tollerabilità di questi sintomi che probabilmente miglioreranno con la terapia continua.
- Avviso i pazienti al potenziale di effetti additivi quando l'Atripla viene utilizzata in concomitanza con alcol o farmaci psicoattivi.
- Istruire i pazienti che se sperimentano NSS per evitare compiti potenzialmente pericolosi come la guida o la gestione dei macchinari [vedi AVVERTIMENTOS AND PRECAUZIONI E Dosaggio e amministrazione ].
Sintomi psichiatrici
- Informare i pazienti che sono stati segnalati gravi sintomi psichiatrici, incluso gravi tentativi di suicidio del suicidio del comportamento aggressivo, sintomi simili a psicosi e catatonia sono stati riportati in pazienti che hanno ricevuto efavirenz [vedi AVVERTIMENTOS AND PRECAUZIONI ].
- Consiglia ai pazienti che se sperimentano esperienze avverse psichiatriche gravi, dovrebbero cercare una valutazione medica immediata.
- Consiglia ai pazienti di informare il proprio medico di qualsiasi storia di malattia mentale o abuso di sostanze.
Eruzione cutanea
Informare i pazienti che un effetto collaterale comune è un'eruzione cutanea e che le eruzioni cutanee di solito vanno via senza alcun cambiamento nel trattamento. Tuttavia, poiché l'eruzione cutanea può essere grave consigli ai pazienti di contattare prontamente il proprio medico in caso di eruzione cutanea [vedi AVVERTIMENTOS AND PRECAUZIONI ].
Potenziale di rischio riproduttivo
- Istruire le donne che ricevono Atripla per evitare la gravidanza [vedi AVVERTIMENTOS AND PRECAUZIONI ]. A reliable form of barrier contraception must always be used in combination with other methods of contraception including oral or other hormonal contraception. Because of the long half-life of efavirenz recommend use of adequate contraceptive measures for 12 weeks after discontinuation of Atripla.
- Consiglia alle donne di avvisare il proprio medico se rimangono incinte o pianificano di rimanere incinta mentre prendono Atripla.
- Apprendi le donne del potenziale danno al feto se l'Atripla viene utilizzata durante il primo trimestre di gravidanza o se il paziente rimane incinta durante l'assunzione di questo farmaco.
Tossicologia non clinica
Mutagenesi della carcinogenesi compromissione della fertilità
Efavirenz : Sono stati condotti studi di cancerogenicità a lungo termine su topi e ratti con Efavirenz. I topi sono stati dosati con 0 25 75 150 o 300 mg/kg/giorno per 2 anni. Le incidenze di adenomi e carcinomi epatocellulari e gli adenomi alveolari/bronchiolari polmonari sono state aumentate sopra lo sfondo nelle femmine. Non sono stati osservati aumenti nell'incidenza del tumore sopra lo sfondo. Negli studi in cui i ratti sono stati somministrati efavirenz a dosi di 0 25 50 50 o 100 mg/kg/giorno per 2 anni non sono stati osservati aumenti dell'incidenza del tumore al di sopra dello sfondo. L'esposizione sistemica (basata su AUCS) nei topi era di circa 1,7 volte che negli umani che riceveva la dose di 600 mg/giorno. L'esposizione nei ratti era inferiore a quella nell'uomo. Il meccanismo del potenziale cancerogeno è sconosciuto. Tuttavia, nei test di tossicologia genetica, Efavirenz non ha mostrato alcuna evidenza di attività mutagenica o clastogena in una batteria di in vitro E in vivo studi. Questi includevano test di mutazione batterica nei test di mutazione dei mammiferi di S. typhimurium e E. coli nei test di aberrazione del cromosoma delle cellule di criceto cinese nei linfociti del sangue periferico umano o nelle cellule ovaie del criceto cinese e in vivo Tosaggio di micronucleo del midollo osseo del topo. Data la mancanza di attività genotossica di Efavirenz, non è nota la rilevanza per l'uomo delle neoplasie nei topi trattati con Efavirenz.
Efavirenz did not impair mating or fertility of male or female rats E did not affect sperm of treated male rats. The reproductive performance of offspring born to female rats given efavirenz was not affected. As a result of the rapid clearance of efavirenz in rats systemic drug exposures achieved in these studies were equivalent to or below those achieved in humans given therapeutic doses of efavirenz.
Emtricitabina : Negli studi di cancerogenicità a lungo termine di emtricitabina NO aumenti legati al farmaco nell'incidenza del tumore sono stati trovati nei topi a dosi fino a 750 mg/kg/giorno (26 volte l'esposizione sistemica umana alla dose terapeutica di 200 mg/giorno) o nei ratti a dosi fino a 600 mg/giorno (31 volte l'esposizione sistematica alla terapeutica).
Emtricitabina was not genotoxic in the reverse mutation bacterial test (Ames test) or the mouse lymphoma or mouse micronucleus assays.
Emtricitabina did not affect fertility in male rats at approximately 140-fold or in male E female mice at approximately 60-fold higher exposures (AUC) than in humans given the recommended 200 mg daily dose. Fertility was normal in the offspring of mice exposed daily from before birth (in utero) through sexual maturity at daily exposures (AUC) of approximately 60-fold higher than human exposures at the recommended 200 mg daily dose.
Tenofovir df: Gli studi di carcinogenicità orale a lungo termine di tenofovir DF nei topi e ratti sono stati condotti a esposizioni fino a circa 16 volte (topi) e 5 volte (ratti) quelli osservati nell'uomo alla dose terapeutica per l'infezione da HIV-1. All'alta dose nei topi femmine gli adenomi epatici sono stati aumentati alle esposizioni 16 volte quella nell'uomo. Nei ratti lo studio era negativo per i risultati cancerogeni alle esposizioni fino a 5 volte che osservavano nell'uomo alla dose terapeutica.
Tenofovir df was mutagenic in the in vitro test di linfoma del topo e negativo in un in vitro Test di mutagenicità batterica (test AMES). In un in vivo Il test del micronucleo del topo Denfovir DF era negativo quando somministrato ai topi maschi.
Non ci sono stati effetti sulla prestazione di accoppiamento della fertilità o sullo sviluppo embrionale precoce quando il tenofovir DF è stato somministrato ai ratti maschi a una dose equivalente a 10 volte la dose umana in base ai confronti della superficie corporea per 28 giorni prima dell'accoppiamento e ai ratti femmine per 15 giorni prima dell'accoppiamento fino al giorno 7 della gestazione. Vi era tuttavia un'alterazione del ciclo estro nei ratti femmine.
Utilizzare in popolazioni specifiche
Gravidanza
Gravidanza Category D [Vedere AVVERTIMENTOS AND PRECAUZIONI ]
Registro di gravidanza antiretrovirale
Per monitorare gli esiti fetali delle donne in gravidanza è stato stabilito un registro antiretrovirale di gravidanza. I medici sono incoraggiati a registrare i pazienti che rimangono incinta chiamando (800) 258-4263.
Efavirenz : A partire da luglio 2010 il registro della gravidanza antiretrovirale ha ricevuto rapporti prospettici di 792 gravidanze esposte a regimi contenenti Efavirenz quasi tutti che erano esposizioni del primo trimestre (718 gravidanze). I difetti alla nascita si sono verificati in 17 su 604 nascite vive (esposizione al primo trimestre) e 2 su 69 nascite vive (esposizione al secondo/terzo trimestre). Uno di questi difetti prospetticamente riportati con esposizione al primo trimestre era un difetto del tubo neurale. È stato anche segnalato un unico caso di anophthalmia con esposizione al primo trimestre a Efavirenz; Tuttavia, questo caso includeva gravi fessure facciali oblique e bande amniotiche con un'associazione nota con anophtalmia. Ci sono stati sei segnalazioni retrospettive di risultati coerenti con i difetti del tubo neurale tra cui Meningomyelocele. Tutte le madri sono state esposte a regimi contenenti Efavirenz nel primo trimestre. Sebbene una relazione causale di questi eventi con l'uso di efavirenz non sia stata osservata difetti simili in studi preclinici su efavirenz.
Dati sugli animali
Effettos of efavirenz on embryo-fetal development have been studied in three nonclinical species (cynomolgus monkeys rats E rabbits). In monkeys efavirenz 60 mg/kg/day was administered to pregnant females throughout pregnancy (gestation Days 20 through 150). The maternal systemic drug exposures (AUC) were 1.3 times the exposure in humans at the recommended clinical dose (600 mg/day) with fetal umbilical venous drug concentrations approximately 0.7 times the maternal values. Three fetuses of 20 fetuses/infants had one or more malformations; there were no malformed fetuses or infants from placebo-treated mothers. The malformations that occurred in these three monkey fetuses included anencephaly E unilateral anophthalmia in one fetus microphthalmia in a second E cleft palate in the third. There was no NOAEL (no observable adverse effect level) established for this study because only one dosage was evaluated. In rats efavirenz was administered either during organogenesis (gestation Days 7 to 18) or from gestation Day 7 through lactation Day 21 at 50 100 or 200 mg/kg/day. Administration of 200 mg/kg/day in rats was associated with an increase in the incidence of early resorptions E doses 100 mg/kg/day E greater were associated with early neonatal mortality. The AUC at the NOAEL (50 mg/kg/day) in this rat study was 0.1 times that in humans at the recommended clinical dose. Drug concentrations in the milk on lactation Day 10 were approximately 8 times higher than those in maternal plasma. In pregnant rabbits efavirenz was neither embryo lethal nor teratogenic when administered at doses of 25 50 E 75 mg/kg/day over the period of organogenesis (gestation Days 6 through 18). The AUC at the NOAEL (75 mg/kg/day) in rabbits was 0.4 times that in humans at the recommended clinical dose.
Madri infermieristiche
I Centri per il controllo e la prevenzione delle malattie raccomandano che le madri infette da HIV-1 non allattano i bambini per evitare di rischiare la trasmissione postnatale dell'HIV-1. Gli studi sull'uomo hanno dimostrato che l'efavirenz tenofovir ed emtricitabina sono escreti nel latte umano. Poiché i rischi di esposizione di basso livello a efavirenz emtricitabina e tenofovir ai bambini sono sconosciuti e a causa del potenziale per le madri di trasmissione dell'HIV-1 dovrebbero essere istruiti a non allattare se stanno ricevendo Atripla.
Emtricitabina
Campioni di latte materno ottenuti da cinque madri infette da HIV-1 mostrano che l'emtricitabina è secreta nel latte umano. I bambini allattanti le cui madri vengono trattate con emtricitabina possono essere a rischio di sviluppare la resistenza virale all'emtricitabina. Altri rischi associati all'emtricitabina nei bambini allattati al seno da madri trattati con emtricitabina sono sconosciuti.
Tenofovir df
Campioni di latte materno ottenuti da cinque madri infette da HIV-1 mostrano che il tenofovir è secreto nel latte umano. I rischi associati al tenofovir, incluso il rischio di resistenza virale per il tenofovir nei neonati, allattati al seno dalle madri che vengono trattate con fumarato disoproxil di tenofovir.
Uso pediatrico
Atripla should only be administered to pediatric patients 12 years of age E older with a body weight greater than or equal to 40 kg (greater than or equal to 88 lbs). Because Atripla is a fixed-dose combination tablet the dose adjustments recommended for pediatric patients younger than 12 years of age for each individual component cannot be made with Atripla [Vedere AVVERTIMENTOS AND PRECAUZIONI Reazioni avverse E Farmacologia clinica ].
Uso geriatrico
Gli studi clinici di Efavirenz emtricitabina o tenofovir DF non includevano un numero sufficiente di soggetti di età pari o superiore a 65 anni per determinare se rispondono in modo diverso dai soggetti più giovani. In generale, la selezione della dose per i pazienti anziani dovrebbe essere cauta tenendo presente la maggiore frequenza di riduzione della funzione renale e cardiaca epatica e di malattia concomitante o altra terapia farmacologica.
Compromissione epatica
Atripla is not recommended for patients with moderate or severe hepatic impairment because there are insufficient data to determine an appropriate dose. Patients with mild hepatic impairment may be treated with Atripla at the approved dose. Because of the extensive cytochrome P450-mediated metabolism of efavirenz E limited clinical experience in patients with hepatic impairment caution should be exercised in administering Atripla to these patients [Vedere AVVERTIMENTOS AND PRECAUZIONI E Farmacologia clinica ].
Compromissione renale
Poiché l'Atripla è una combinazione a dose fissa, non dovrebbe essere prescritta per i pazienti che richiedono un aggiustamento del dosaggio come quelli con compromissione renale moderata o grave (clearance di creatinina stimata inferiore a 50 ml/min) [vedi AVVERTIMENTOS AND PRECAUZIONI ].
Informazioni per overdose per Atripla
Se si verifica un overdose, il paziente deve essere monitorato per evidenza di tossicità e trattamento di supporto standard applicati, se necessario. La somministrazione di carbone attivo può essere utilizzata per aiutare la rimozione di EFV non assorbiti. L'emodialisi può rimuovere sia FTC che TDF (fare riferimento a informazioni dettagliate di seguito) ma è improbabile che rimuova in modo significativo l'EFV dal sangue.
Efavirenz
Alcuni pazienti che assumono accidentalmente 600 mg due volte al giorno hanno riportato un aumento dei sintomi del sistema nervoso. Un paziente ha sperimentato contrazioni muscolari involontarie.
Emtricitabina
Il trattamento con emodialisi rimuove circa il 30% della dose di FTC per un periodo di dialisi di 3 ore a partire da 1,5 ore dal dosaggio FTC (portata del sangue di 400 ml/min e una portata dializzata di 600 ml/min). Non è noto se FTC possa essere rimosso dalla dialisi peritoneale.
Tenofovir df
Il tenofovir viene rimosso in modo efficiente dall'emodialisi con un coefficiente di estrazione di circa il 54%. A seguito di una singola dose di 300 mg di TDF una sessione di emodialisi di 4 ore ha rimosso circa il 10% della dose di tenofovir somministrata.
Controindicazioni per Atripla
- Atripla is contraindicated in patients with previously demonstrated clinically significant hypersensitivity (e.g. Stevens-Johnson syndrome erythema multiforme or toxic skin eruptions) to efavirenz a component of Atripla [see AVVERTIMENTOS AND PRECAUZIONI ].
- Atripla is contraindicated to be coadministered with voriconazole or elbasvir/grazoprevir [see Interazioni farmacologiche E Farmacologia clinica ].
Farmacologia clinica for Atripla
Meccanismo d'azione
Atripla is a fixed-dose combination of antivirale farmaci EFV FTC e TDF [vedi Microbiologia ].
Farmacodinamica
Elettrofisiologia cardiaca
Efavirenz
L'effetto di EFV sull'intervallo QTC è stato valutato in uno studio di crossover a 3 tratti a 3 tratti a sequenza fissa fissa a sequenza fissa fissa e controllata da placebo in 58 soggetti sani arricchiti per i polimorfismi CYP2B6. Il CMAX medio di EFV in soggetti con genotipo CYP2B6 *6/ *6 in seguito alla somministrazione di 600 mg di dose giornaliera per 14 giorni era 2,25 volte il cmax medio osservato nei soggetti con genotipo CYP2B6 *1/ *1. È stata osservata una relazione positiva tra concentrazione di EFV e prolungamento del QTC. Sulla base della relazione di concentrazione-QTC, il prolungamento medio QTC e il suo intervallo di confidenza al 90% limitato sono 8,7 msec e 11,3 msec in soggetti con genotipo CYP2B6*6/*6 in seguito alla somministrazione di 600 mg di dose giornaliera per 14 giorni [vedi AVVERTIMENTOS AND PRECAUZIONI ].
Farmacocinetica
Atripla
Una compressa Atripla è bioquivalente di una tavoletta Sustiva (600 mg) più un Emtriva ® capsule (200 mg) più un viread ® Tablet (300 mg) a seguito di somministrazione a dose singola a soggetti sani a digiuno (n = 45).
Efavirenz
Nei soggetti infetti da HIV-1, le concentrazioni plasmatiche del tempo a punto erano di circa 3-5 ore e le concentrazioni plasmatiche allo stato stazionario sono state raggiunte in 6-10 giorni. In 35 soggetti infetti da HIV-1 che ricevevano EFV 600 mg una volta al giorno la CMAX allo stato stazionario era di 12,9 ± 3,7 μM (media ± DS) Cmin era 5,6 ± 3,2 μM e l'AUC era 184 ± 73 μM · HR. L'EFV è altamente legato (circa 99,5-99,75%) alle proteine plasmatiche umane prevalentemente albumina. Dopo la somministrazione di EFV con etichetta 14C, il 14–34% della dose è stato recuperato nelle urine (principalmente come metaboliti) e il 16-61% è stato recuperato nelle feci (principalmente come farmaco genitore). In vitro Gli studi suggeriscono che il CYP3A e il CYP2B6 sono i principali isozimi responsabili del metabolismo EFV. È stato dimostrato che EFV induce enzimi del CYP con conseguente induzione del proprio metabolismo. EFV ha un'emivita terminale di 52-76 ore dopo singole dosi e 40-55 ore dopo dosi multiple.
Emtricitabina
Dopo la somministrazione orale, la FTC viene rapidamente assorbita con concentrazioni plasmatiche di picco che si verificano a 1-2 ore dopo la dose. Dopo la somministrazione orale dose multipla di FTC a 20 soggetti infetti da HIV-1, il plasma di stato stazionario FTC CMAX era di 1,8 ± 0,7 μg/mL (media ± DS) e l'AUC per un intervallo di dosaggio di 24 ore era 10,0 ± 3,1 μg • HR/mL. La concentrazione di depressione plasmatica media a stato stazionario a 24 ore postdosio era di 0,09 μg/mL. La biodisponibilità assoluta media di FTC era del 93%. Meno del 4% di FTC si lega alle proteine plasmatiche umane in vitro E the binding is independent of concentration over the range of 0.02−200 μg/mL. Following administration of radiolabelled FTC approximately 86% is recovered in the urine E 13% is recovered as metabolites. The metabolites of FTC include 3′-sulfoxide diastereomers E their glucuronic acid conjugate. FTC is eliminated by a combination of glomerular filtration E active tubular secretion with a renal clearance in adults with normal renal function of 213 ± 89 mL/min (mean ± SD). Following a single oral dose the plasma FTC half-life is approximately 10 hours.
Tenofovir df
cose da fare a nashville tennessee
Dopo la somministrazione orale di una singola dose di 300 mg di TDF ai soggetti infetti da HIV-1 nelle concentrazioni sieriche massime a stato digiuno (CMAX) sono state raggiunte in 1,0 ± 0,4 ore (media ± DS) e cMAX e AUC erano 296 ± 90 ng/ml e 2287 ± 685 ng • HR rispettivamente. La biodisponibilità orale del tenofovir dal TDF in soggetti a digiuno è di circa il 25%. Meno dello 0,7% del tenofovir si lega alle proteine plasmatiche umane in vitro E the binding is independent of concentration over the range of 0.01–25 μg/mL. Approximately 70−80% of the intravenous dose of tenofovir is recovered as unchanged drug in the urine. Tenofovir is eliminated by a combination of glomerular filtration E active tubular secretion with a renal clearance in adults with normal renal function of 243 ± 33 mL/min (mean ± SD). Following a single oral dose the terminal elimination half-life of tenofovir is approximately 17 hours.
Effettos of Food on Oral Absorption
Atripla has not been evaluated in the presence of food. Administration of EFV tablets with a high-fat meal increased the mean AUC E Cmax of EFV by 28% E 79% respectively compared to administration in the fasted state. Compared to fasted administration dosing of TDF E FTC in combination with either a high-fat meal or a light meal increased the mean AUC E Cmax of tenofovir by 35% E 15% respectively without affecting FTC exposures [see Dosaggio e amministrazione E Informazioni sul paziente ].
Popolazioni specifiche
Gara
Efavirenz
La farmacocinetica di EFV nei soggetti infetti da HIV-1 sembra essere simile tra i gruppi razziali studiati.
Emtricitabina
Non sono state identificate differenze farmacocinetiche dovute alla razza in seguito alla somministrazione di FTC.
Tenofovir df
C'erano numeri sufficienti da gruppi razziali ed etnici diversi dal caucasico per determinare adeguatamente potenziali differenze farmacocinetiche tra queste popolazioni a seguito della somministrazione di TDF.
Genere
Efavirenz Emtricitabina E Tenofovir df
La farmacocinetica EFV FTC e tenofovir sono simili nei soggetti maschili e femminili.
Pazienti pediatrici
Efavirenz
In una sperimentazione in aperto in soggetti pediatrici con esperienza NRTI (età media di 8 anni di 3-16 anni), la farmacocinetica di EFV in soggetti pediatrici era simile alla farmacocinetica negli adulti che ricevevano una dose giornaliera di 600 mg di EFV. Sulla base della modellazione farmacocinetica di popolazione prevista per lo stato stazionario medio in soggetti pediatrici di peso> 40 kg che ricevevano la dose di 600 mg di CMAX EFV era 6,57 μg/ml di Cmin di 2,82 μg/mL e AUC (0-24) era 254,78 μM • HR.
Emtricitabina
La farmacocinetica di FTC allo stato stazionario è stata determinata in 27 soggetti pediatrici infetti da 13 a 17 anni di età che ricevono una dose giornaliera di 6 mg/kg fino a una dose massima di soluzione orale di 240 mg o una capsula da 200 mg; 26 di 27 soggetti in questa fascia di età hanno ricevuto la capsula da 200 mg. La media ± SD CMAX e AUC erano 2,7 ± 0,9 μg/mL e 12,6 ± 5,4 μg • HR/mL rispettivamente. Le esposizioni raggiunte nei soggetti pediatrici da 12 a meno di 18 anni erano simili a quelle raggiunte negli adulti che ricevevano una dose una volta giornaliera di 200 mg.
Tenofovir df
La farmacocinetica a stato stazionario di tenofovir è stata valutata in 8 soggetti pediatrici infetti da HIV-1 (da 12 a meno di 18 anni). La media ± SD CMAX e Auctau sono 0,38 ± 0,13 μg/mL e 3,39 ± 1,22 μg • HR/mL rispettivamente. L'esposizione a tenofovir raggiunta in questi soggetti pediatrici che ricevevano dosi giornaliere orali di TDF 300 mg era simile alle esposizioni raggiunte negli adulti che ricevono dosi una volta al giorno di TDF 300 mg.
Pazienti geriatrici
Farmacocinetica of EFV FTC E tenofovir have not been fully evaluated in the elderly (65 years of age E older) [see Utilizzare in popolazioni specifiche ].
Pazienti con funzionalità renale alterata
Efavirenz
La farmacocinetica di EFV non è stata studiata in soggetti con insufficienza renale; Tuttavia, meno dell'1% di EFV viene escreto invariato nelle urine, quindi l'impatto della compromissione renale sull'eliminazione dell'EFV dovrebbe essere minimo.
Emtricitabina E Tenofovir df
La farmacocinetica di FTC e TDF è alterata in soggetti con compromissione renale. Nei soggetti con clearance della creatinina al di sotto di 50 ml/min CMAX e AUC0-vata di FTC e tenofovir sono stati aumentati [vedi AVVERTIMENTOS AND PRECAUZIONI ].
Pazienti con compromissione epatica
Efavirenz
Uno studio a dose multipla non ha mostrato alcun effetto significativo sulla farmacocinetica EFV in soggetti con lieve compromissione epatica (classe A Child-Pugh) rispetto ai controlli. Non c'erano dati sufficienti per determinare se la compromissione epatica moderata o grave (classe B o C di Child-Pugh influisce sulla farmacocinetica EFV [vedi AVVERTIMENTOS AND PRECAUZIONI E Utilizzare in popolazioni specifiche ].
Emtricitabina
La farmacocinetica di FTC non è stata studiata in soggetti con compromissione epatica; Tuttavia, FTC non è significativamente metabolizzato dagli enzimi epatici, quindi l'impatto della compromissione del fegato dovrebbe essere limitato.
Tenofovir df
La farmacocinetica del tenofovir a seguito di una dose di 300 mg di TDF è stata studiata in soggetti infetti non HIV con compromissione epatica da moderata a grave. Non ci sono state alterazioni sostanziali nella farmacocinetica tenofovir in soggetti con compromissione epatica rispetto ai soggetti intatti.
Valutazione delle interazioni farmacologiche
Gli studi di interazione farmacologica descritti sono stati condotti con Atripla o i componenti di Atripla (EFV FTC o TDF) come singoli agenti.
Efavirenz
La farmacocinetica a stato stazionario di EFV e tenofovir non è stato influenzato quando EFV e TDF sono stati somministrati insieme rispetto a ciascun agente dosato da solo. Specifici studi di interazione farmacologica non sono stati condotti con EFV e NRTI diverse dalla lamivudina e zidovudina tenofovir. Non ci si aspetterebbe interazioni clinicamente significative in base ai percorsi di eliminazione di NRTIS.
Efavirenz has been shown in vivo per causare l'induzione dell'enzima epatico aumentando così la biotrasformazione di alcuni farmaci metabolizzati da CYP3A e CYP2B6. In vitro Studi hanno dimostrato che EFV ha inibito gli isozimi del CYP 2C9 e 2C19 con valori di Ki (NULL,5-17 μM) nell'intervallo di concentrazioni plasmatiche di EFV osservate. In in vitro Studi EFV non ha inibito il CYP2E1 e ha inibito il CYP2D6 e il CYP1A2 (valori KI 82-160 μM) solo a concentrazioni ben al di sopra di quelle ottenute clinicamente. La somministrazione di co -somministrazione di EFV con farmaci principalmente metabolizzati dal CYP2C9 CYP2C19 CYP3A o CYP2B6 gli isozimi possono provocare concentrazioni plasmatiche alterate del farmaco ministro. I farmaci che inducono l'attività del CYP3A e del CYP2B6 dovrebbero aumentare la clearance dell'EFV con conseguente riduzione delle concentrazioni plasmatiche.
Sono stati condotti studi di interazione farmacologica con EFV e altri farmaci che potrebbero essere somministrati in co -amministrazione o farmaci comunemente usati come sonde per l'interazione farmacocinetica. Non è stata osservata alcuna interazione clinicamente significativa tra EFV e zidovudina lamivudina azitromicina fluconazolo lorazepam cetirizina o paroxetina. Le singole dosi di famotidina o un antiacido di alluminio e magnesio con simeticone non hanno avuto effetti sulle esposizioni di EFV. Gli effetti della somministrazione di co -co -eFV su CMAX AUC e CMIN sono riassunti nella Tabella 4 (effetto di altri farmaci su EFV) e Tabella 5 (effetto di EFV su altri farmaci) Interazioni farmacologiche ].
Tabella 4: interazioni farmacologiche: cambiamenti nei parametri farmacocinetici per EFV in presenza del farmaco amministrato
| Viaggio % medio dei parametri farmacocinetici EFV a (90% CI) | ||||||
| Droga somministrato in co -amministrazione | Dose di droga del ministro co -amministratore (MG) | Dose EFV (MG) | N | Cmax | AUC | Cmin |
| Lopinavir/ Ritonavir | 400/100 mg Q12H × 9 giorni | 600 mg QD × 9 giorni | 11 12 b | ↔ | ↓ 16 (↓ da 38 a ↑ 15) | ↓ 16 (↓ da 42 a ↑ 20) |
| Netfinavir | 750 mg Q8H × 7 giorni | 600 mg QD × 7 giorni | 10 | ↓ 12 (↓ da 32 a ↑ 13) c | ↓ 12 (↓ da 35 a ↑ 18) c | ↓ 21 (↓ da 53 a ↑ 33) |
| Ritonavir | 500 mg Q12H × 8 giorni | 600 mg QD × 10 giorni | 9 | ↑ 14 (Da ↑ da 4 a ↑ 26) | ↑ 21 (↑ da 10 a ↑ 34) | ↑ 25 (Da ↑ da 7 a ↑ 46) c |
| Bocecevir | 800 mg TID × 6 giorni | 600 mg QD × 16 giorni | N / a | ↑ 11 (Da ↑ da 2 a ↑ 20) | ↑ 20 (↑ da 15 a ↑ 26) | N / a |
| Rifabutin | 300 mg QD × 14 giorni | 600 mg QD × 14 giorni | 11 | ↔ | ↔ | ↓ 12 (↓ 24 a ↑ 1) |
| Rifampin | 600 mg × 7 giorni | 600 mg QD × 7 giorni | 12 | ↓ 20 (↓ 11 a ↓ 28) | ↓ 26 (↓ 15 a ↓ 36) | ↓ 32 (↓ da 15 a ↓ 46) |
| Artemether/ Lumefantrine | Artemether 20 mg/ lumefantrina 120 mg compresse (6 dosi a 4 tablet in 3 giorni) | 600 mg QD × 26 giorni | 12 | ↔ | ↓ 17 | N / a |
| Simvastatin | 40 mg QD × 4 giorni | 600 mg QD × 15 giorni | 14 | ↓ 12 (↓ da 28 a ↑ 8) | ↔ | ↓ 12 (↓ da 25 a ↑ 3) |
| Carbamazepina | 200 mg QD × 3 giorni 200 mg BID × 3 giorni, quindi 400 mg QD × 15 giorni | 600 mg QD × 35 giorni | 14 | ↓ 21 (↓ 15 a ↓ 26) | ↓ 36 (↓ da 32 a ↓ 40) | ↓ 47 (↓ da 41 a ↓ 53) |
| Diltiazem | 240 mg × 14 giorni | 600 mg QD × 28 giorni | 12 | ↑ 16 (Da ↑ da 6 a ↑ 26) | ↑ 11 (Da ↑ da 5 a ↑ 18) | ↑ 13 (Da ↑ da 1 a ↑ 26) |
| Voriconazole | 400 mg PO Q12H × 1 giorno, quindi 200 mg PO Q12H × 8 giorni | 400 mg QD × 9 giorni | N / a | ↑ 38 d | ↑ 44 d | N / a |
| 300 mg PO Q12h Days 2–7 | 300 mg QD × 7 giorni | N / a | ↓ 14 e (↓ da 7 a ↓ 21) | ↔ e | N / a | |
| 400 mg PO Q12h Days 2–7 | 300 mg QD × 7 giorni | N / a | ↔ e | ↑ 17 e (Da ↑ da 6 a ↑ 29) | N / a | |
| N / a = not available a Aumento = ↑; Diminuire = ↓; Nessun effetto = ↔ b Design del gruppo parallelo; N per EFV lopinavir/ritonavir n solo per EFV. c 95% CI d IC al 90% non disponibile e Rispetto alla somministrazione di stato stazionario di EFV (600 mg una volta al giorno per 9 giorni). |
Non è stato osservato alcun effetto sui parametri farmacocinetici di EFV con i seguenti farmaci minimizzati: Indinavir Saqinavir Capsule di gelatina morbida Simeprevir Lediipasvir/Sofosbuvir Sofosbuvir Clarithromycin Itraconazole Atorvastatin pravastatin o
Tabella 5: interazioni farmacologiche: cambiamenti nei parametri farmacocinetici per il farmaco somministrato in co -cotto in presenza di EFV
| Viaggio % medio dei parametri farmacocinetici farmacologici condomestato co -amministrato (IC al 90 %) | ||||||
| Droga somministrato in co -amministrazione | Dose di farmaco somministrato co -amministrato (MG) | Dose EFV (MG) | N | Cmax | AUC | Cmin |
| Azanavir | 400 mg QD con pasto leggero d 1–20 | 600 mg QD con pasto leggero d 7–20 | 27 | ↓ 59 (↓ da 49 a ↓ 67) | ↓ 74 (↓ da 68 a ↓ 78) | ↓ 93 (↓ da 90 a ↓ 95) |
| 400 mg QD D 1–6 quindi 300 mg QD D 7–20 con Ritonavir 100 mg QD e un pasto leggero | 600 mg QD 2 ore dopo Atazanavir e Ritonavir D 7–20 | 13 | ↑ 14 b (↓ da 17 a ↑ 58) | ↑ 39 b (Da ↑ da 2 a ↑ 88) | ↑ 48 b (↑ 24 a ↑ 76) | |
| 300 mg QD/Ritonavir 100 mg QD D 1-10 (PM) quindi 400 mg QD/Ritonavir 100 mg QD D 11-24 (PM) (simultaneo con EFV) | 600 mg QD con uno snack leggero D 11-24 (PM) | 14 | ↑ 17 (↑ 8 a ↑ 27) | ↔ | ↓ 42 (↓ 31 a ↓ 51) | |
| Indinavir | 1000 mg Q8H × 10 giorni | 600 mg QD × 10 giorni | 20 | |||
| Dopo la dose mattutina | ↔ c | ↓ 33 c (↓ 26 a ↓ 39) | ↓ 39 c (↓ 24 a ↓ 51) | |||
| Dopo dose pomeridiana | ↔ c | ↓ 37 c (↓ 26 a ↓ 46) | ↓ 52 c (↓ 47 a ↓ 57) | |||
| Dopo la dose serale | ↓ 29 c (↓ da 11 a ↓ 43) | ↓ 46 c (↓ da 37 a ↓ 54) | ↓ 57 c (↓ 50 a ↓ 63) | |||
| Lopinavir/ Ritonavir | 400/100 mg Q12H × 9 giorni | 600 mg QD × 9 giorni | 11 7d | ↔ e | ↓ 19 e (↓ da 36 a ↑ 3) | ↓ 39 e (↓ da 3 a ↓ 62) |
| Netfinavir | 750 mg Q8H × 7 giorni | 600 mg QD × 7 giorni | 10 | ↑ 21 (Da ↑ da 10 a ↑ 33) | ↑ 20 (↑ 8 a ↑ 34) | ↔ |
| Metabolite AG-1402 | ↓ 40 (↓ 30 a ↓ 48) | ↓ 37 (↓ da 25 a ↓ 48) | ↓ 43 (↓ 21 a ↓ 59) | |||
| Ritonavir | 500 mg Q12H × 8 giorni | 600 mg QD × 10 giorni | 11 | |||
| Dopo la dose AM | ↑ 24 (Da ↑ da 12 a ↑ 38) | ↑ 18 (Da ↑ da 6 a ↑ 33) | ↑ 42 (↑ da 9 a ↑ 86) f | |||
| Dopo la dose di PM | ↔ | ↔ | ↑ 24 (Da ↑ da 3 a ↑ 50) f | |||
| Saqinavir SGC g | 1200 mg Q8H × 10 giorni | 600 mg QD × 10 giorni | 12 | ↓ 50 (↓ da 28 a ↓ 66) | ↓ 62 (↓ 45 a ↓ 74) | ↓ 56 (↓ da 16 a ↓ 77) f |
| Maraviroc | 100 mg di offerta | 600 mg QD | 12 | ↓ 51 (↓ da 37 a ↓ 62) | ↓ 45 (↓ da 38 a ↓ 51) | ↓ 45 (↓ da 28 a ↓ 57) |
| Raltegravir | 400 mg di dose singola | 600 mg QD | 9 | ↓ 36 (↓ da 2 a ↓ 59) | ↓ 36 (↓ 20 a ↓ 48) | ↓ 21 (↓ da 51 a ↑ 28) |
| Bocecevir | 800 mg TID × 6 giorni | 600 mg QD × 16 giorni | N / a | ↓ 8 (↓ da 22 a ↑ 8) | ↓ 19 (↓ 11 a ↓ 25) | ↓ 44 (↓ 26 a ↓ 58) |
| Simeprevir | 150 mg QD × 14 giorni | 600 mg QD × 14 giorni | 23 | ↓ 51 (↓ da 46 a ↓ 56) | ↓ 71 (↓ da 67 a ↓ 74) | ↓ 91 (↓ 88 a ↓ 92) |
| Ledipasvir/ sofosbuvir k | 90/400 mg QD × 14 giorni | 600 mg QD × 14 giorni | ||||
| Ledipasvir | 15 | ↓ 34 (↓ da 25 a ↓ 41) | ↓ 34 (↓ da 25 a ↓ 41) | ↓ 34 (↓ 24 a ↓ 43) | ||
| Sofosbuvir | ↔ | ↔ | N / a | |||
| GS-331007 l | ↔ | ↔ | ↔ | |||
| Sofosbuvir m | 400 mg di dose singola QD | 600 mg QD × 14 giorni | 16 | ↓ 19 (↓ 40 a ↑ 10) | ↔ | N / a |
| GS-331007 l | ↓ 23 (↓ da 16 a ↓ 30) | ↓ 16 (↓ 24 a ↓ 8) | N / a | |||
| Sofosbuvir/ velpatasvir n | 400/100 mg QD × 14 giorni | 600 mg QD × 14 giorni | 14 | |||
| Sofosbuvir | ↑ 38 (↑ 14 a ↑ 67) | ↔ | N / a | |||
| GS-331007 l | ↓ 14 (↓ 20 a ↓ 7) | ↔ | ↔ | |||
| Velpatasvir | ↓ 47 (↓ 57 a ↓ 36) | ↓ 53 (↓ da 61 a ↓ 43) | ↓ 57 (↓ da 64 a ↓ 48) | |||
| Claritromicina | 500 mg Q12H × 7 giorni | 400 mg QD × 7 giorni | 11 | ↓ 26 (↓ da 15 a ↓ 35) | ↓ 39 (↓ 30 a ↓ 46) | ↓ 53 (↓ da 42 a ↓ 63) |
| 14-OH Metabolite | ↑ 49 (↑ da 32 a ↑ 69) | ↑ 34 (Da ↑ 18 a ↑ 53) | ↑ 26 (↑ da 9 a ↑ 45) | |||
| Itraconazolo | 200 mg Q12H × 28 giorni | 600 mg QD × 14 giorni | 18 | ↓ 37 (↓ 20 a ↓ 51) | ↓ 39 (↓ 21 a ↓ 53) | ↓ 44 (↓ 27 a ↓ 58) |
| Idrossietraconazolo | ↓ 35 (↓ da 12 a ↓ 52) | ↓ 37 (↓ 14 a ↓ 55) | ↓ 43 (↓ 18 a ↓ 60) | |||
| Posaconazolo | 400 mg (sospensione orale) BID × 10 e 20 giorni | 400 mg QD × 10 e 20 giorni | 11 | ↓ 45 (↓ da 34 a ↓ 53) | ↓ 50 (↓ 40 a ↓ 57) | N / a |
| Rifabutin | 300 mg QD × 14 giorni | 600 mg QD × 14 giorni | 9 | ↓ 32 (↓ da 15 a ↓ 46) | ↓ 38 (↓ da 28 a ↓ 47) | ↓ 45 (↓ 31 a ↓ 56) |
| Artemether/ Lumefantrine | Artemether 20 mg/lumefantrina 120 mg compresse (6 dosi a 4 tablet in 3 giorni) | 600 mg QD × 26 giorni | 12 | |||
| Artemether | ↓ 21 | ↓ 51 | N / a | |||
| Diidroartemisina | ↓ 38 | ↓ 46 | N / a | |||
| lumefantrina | ↔ | ↓ 21 | N / a | |||
| Atorvastatina | 10 mg QD × 4 giorni | 600 mg QD × 15 giorni | 14 | ↓ 14 (↓ 1 a ↓ 26) | ↓ 43 (↓ da 34 a ↓ 50) | ↓ 69 (↓ da 49 a ↓ 81) |
| Totale attivo (compresi i metaboliti) | ↓ 15 (↓ da 2 a ↓ 26) | ↓ 32 (↓ 21 a ↓ 41) | ↓ 48 (↓ 23 a ↓ 64) | |||
| Pravastatina | 40 mg QD × 4 giorni | 600 mg QD × 15 giorni | 13 | ↓ 32 (↓ da 59 a ↑ 12) | ↓ 44 (↓ 26 a ↓ 57) | ↓ 19 (↓ da 0 a ↓ 35) |
| Simvastatin | 40 mg QD × 4 giorni | 600 mg QD × 15 giorni | 14 | ↓ 72 (↓ da 63 a ↓ 79) | ↓ 68 (↓ da 62 a ↓ 73) | ↓ 45 (↓ 20 a ↓ 62) |
| Totale attivo (compresi i metaboliti) | ↓ 68 (↓ da 55 a ↓ 78) | ↓ 60 (↓ da 52 a ↓ 68) | N / a h | |||
| Carbamazepina | 200 mg QD × 3 giorni 200 mg BID × 3 giorni, quindi 400 mg QD × 29 giorni | 600 mg QD × 14 giorni | 12 | ↓ 20 (↓ 15 a ↓ 24) | ↓ 27 (↓ 20 a ↓ 33) | ↓ 35 (↓ 24 a ↓ 44) |
| Metabolita epossido | ↔ | ↔ | ↓ 13 (↓ 30 a ↑ 7) | |||
| Diltiazem | 240 mg × 21 giorni | 600 mg QD × 14 giorni | 13 | ↓ 60 (↓ da 50 a ↓ 68) | ↓ 69 (↓ 55 a ↓ 79) | ↓ 63 (↓ da 44 a ↓ 75) |
| Desacetil diltiazem | ↓ 64 (↓ da 57 a ↓ 69) | ↓ 75 (↓ da 59 a ↓ 84) | ↓ 62 (↓ da 44 a ↓ 75) | |||
| N-monodesmetil diltiazem | ↓ 28 (↓ da 7 a ↓ 44) | ↓ 37 (↓ da 17 a ↓ 52) | ↓ 37 (↓ da 17 a ↓ 52) | |||
| Etinil estradiolo/ Norgestet | 0,035 mg/0,25 mg × 14 giorni | 600 mg QD × 14 giorni | ||||
| Etinil estradiolo | 21 | ↔ | ↔ | ↔ | ||
| Norelestromina | 21 | ↓ 46 (↓ da 39 a ↓ 52) | ↓ 64 (↓ da 62 a ↓ 67) | ↓ 82 (↓ da 79 a ↓ 85) | ||
| Levororgestrel | 6 | ↓ 80 (↓ 77 a ↓ 83) | ↓ 83 (↓ da 79 a ↓ 87) | ↓ 86 (↓ 80 a ↓ 90) | ||
| Metadone | Manutenzione stabile 35-100 mg al giorno | 600 mg QD × 14–21 days | 11 | ↓ 45 (↓ da 25 a ↓ 59) | ↓ 52 (↓ da 33 a ↓ 66) | N / a |
| Bupropione | 150 mg di dose singola (SustinedRelease) | 600 mg QD × 14 giorni | 13 | ↓ 34 (↓ 21 a ↓ 47) | ↓ 55 (↓ da 48 a ↓ 62) | N / a |
| Idrossibupropion | ↑ 50 (↑ da 20 a ↑ 80) | ↔ | N / a | |||
| Sertralina | 50 mg QD × 14 giorni | 600 mg QD × 14 giorni | 13 | ↓ 29 (↓ 15 a ↓ 40) | ↓ 39 (↓ 27 a ↓ 50) | ↓ 46 (↓ 31 a ↓ 58) |
| Voriconazole | 400 mg PO Q12H × 1 giorno, quindi 200 mg PO Q12H x 8 giorni | 400 mg QD × 9 giorni | N / a | ↓ 61 i | ↓ 77 i | N / a |
| 300 mg PO Q12h Days 2–7 | 300 mg QD × 7 giorni | N / a | ↓ 36 j (↓ 21 a ↓ 49) | ↓ 55 j (↓ 45 a ↓ 62) | N / a | |
| 400 mg PO Q12h Days 2–7 | 300 mg QD × 7 giorni | N / a | ↑ 23 j (↓ 1 a ↑ 53) | ↓ 7 j (↓ da 23 a ↑ 13) | `Na | |
| N / a = not available a Aumento = ↑; Diminuire = ↓; Nessun effetto = ↔ b Rispetto a Atazanavir 400 mg solo QD. c La dose di comparatore di indinavir era di 800 mg Q8H × 10 giorni. d Design del gruppo parallelo; N per EFV lopinavir/ritonavir n per lopinavir/ritonavir da solo. e I valori sono per lopinavir. La farmacocinetica di Ritonavir 100 mg Q12h non è influenzata dall'EFV simultaneo. f 95% CI g Capsula di gelatina morbida h Non disponibile a causa di dati insufficienti. i IC al 90% non disponibile. j Rispetto alla somministrazione di stato stazionario di voriconazolo (400 mg per 1 giorno, quindi 200 mg PO Q12h per 2 giorni). k Studio condotto con Atripla Configurato con Harvoni. l Il metabolita nucleosidico circolante predominante di Sofosbuvir. m Studio condotto con Atripla concorsa con Sovaldi ® (Sofosbuvir). n Studio condotto con Atripla conduttore con EPCLUSA. |
Emtricitabina E Tenofovir df
La farmacocinetica a stato stazionario di FTC e tenofovir non è stato influenzato quando FTC e TDF sono stati somministrati insieme rispetto a ciascun agente dosato da solo.
In vitro E clinical pharmacokinetic drug-drug interaction studies have shown that the potential for CYP mediated interactions involving FTC E tenofovir with other medicinal products is low.
Il TDF è un substrato di trasportatori di proteina di resistenza al carcinoma mammario P-glicoproteina (P-GP) e del carcinoma mammario. Quando il TDF è somministrato in modo conciso con un inibitore di questi trasportatori, si può osservare un aumento dell'assorbimento.
Non sono state osservate interazioni farmacologiche clinicamente significative tra FTC e Famciclovir indinavir Sofosbuvir/Velpatasvir Stavudine TDF e Zidovudina. Allo stesso modo non sono state osservate interazioni farmacologiche clinicamente significative tra TDF e Abacavir EFV FTC Entecavir Indinavir Lamivudine Lopinavir/Ritonavir metadone Nelfinavir Contracetti orali Ribavirin saquinavir/Ritonavir Sofosbuvir o Tacrolimus in studi sani.
A seguito di dosaggio multiplo a soggetti negativi all'HIV che ricevevano contraccettivi orali di mantenimento cronico di mantenimento o singole dosi di farmacocinetica tenofovir stazionaria di ribavirina erano simili a quelli osservati negli studi precedenti che indicavano una mancanza di interazioni farmacologiche clinicamente significative tra questi agenti e TDF.
Gli effetti dei farmaci amministrati in co -cofano su CMAX AUC e Cmin di tenofovir sono mostrati nella Tabella 6. Gli effetti della somministrazione di co -co -TDF su CMAX AUC e Cmin di farmaci minimizzati sono mostrati nella Tabella 7.
Tabella 6: interazioni farmacologiche: cambiamenti nei parametri farmacocinetici per tenofovir in presenza del farmaco somministrato ab
| Droga somministrato in co -amministrazione | Dose di farmaco somministrato co -amministrato (MG) | N | Viaggio % medio dei parametri farmacocinetici tenofovir c (90% CI) | ||
| Cmax | AUC | Cmin | |||
| Azanavir d | 400 una volta al giorno × 14 giorni | 33 | ↑ 14 (↑ 8 a ↑ 20) | ↑ 24 (↑ da 21 a ↑ 28) | ↑ 22 (↑ da 15 a ↑ 30) |
| Azanavir/ ritonavir d | 300/100 una volta al giorno | 12 | ↑ 34 (↑ da 20 a ↑ 51) | ↑ 37 (↑ 30 a ↑ 45) | ↑ 29 (Da ↑ da 21 a ↑ 36) |
| Darunavir/ ritonavir e | 300/100 due volte al giorno | 12 | ↑ 24 (↑ 8 a ↑ 42) | ↑ 22 (Da ↑ da 10 a ↑ 35) | ↑ 37 (↑ da 19 a ↑ 57) |
| Didanosina f | 250 o 400 una volta al giorno × 7 giorni | 14 | ↔ | ↔ | ↔ |
| Ledipasvir/ sofosbuvir | 90/400 una volta al giorno | 15 | ↑ 79 (↑ da 56 a ↑ 104) | ↑ 98 (↑ da 77 a ↑ 123) | ↑ 163 (Da ↑ da 132 a ↑ 197) |
| Lopinavir/ Ritonavir | 400/100 due volte al giorno × 14 giorni | 24 | ↔ | ↑ 32 (↑ da 25 a ↑ 38) | ↑ 51 (Da ↑ da 37 a ↑ 66) |
| Sofosbuvir | 400 una volta al giorno | 16 | ↑ 25 (↑ 8 a ↑ 45) | ↔ | ↔ |
| Sofosbuvir/ velpatasvir | 400/100 una volta al giorno | 15 | ↑ 77 (↑ da 53 a ↑ 104) | ↑ 81 (↑ da 68 a ↑ 94) | ↑ 121 (↑ da 100 a ↑ 143) |
| Tipranavir/ ritonavir g | 500/100 due volte al giorno | 22 | ↓ 23 (↓ da 32 a ↓ 13) | ↓ 2 (↓ da 9 a ↑ 5) | ↑ 7 (↓ da 2 a ↑ 17) |
| 750/200 due volte al giorno (23 dosi) | 20 | ↓ 38 (↓ da 46 a ↓ 29) | ↑ 2 (↓ da 6 a ↑ 10) | ↑ 14 (Da ↑ da 1 a ↑ 27) | |
| a Tutte le prove di interazione condotte su volontari sani. b I soggetti hanno ricevuto TDF 300 mg una volta al giorno. c Aumento = ↑; Diminuire = ↓; Nessun effetto = ↔ d Reyataz che prescrive informazioni. e Informazioni di prescrizione di prezista. f I soggetti hanno ricevuto compresse tamponate di didanosina. g Aptivus Prescriping Information. |
Tabella 7: interazioni farmacologiche: cambiamenti nei parametri farmacocinetici per il farmaco somministrato in co -cotto in presenza di TDF ab
| Droga somministrato in co -amministrazione | Dose di farmaco somministrato co -amministrato (MG) | N | Variazione % media dei parametri farmacocinetici farmacologici c (90% CI) | ||
| Cmax | AUC | Cmin | |||
| Azanavir d | 400 una volta al giorno × 14 giorni | 34 | ↓ 21 (↓ 27 a ↓ 14) | ↓ 25 (↓ 30 a ↓ 19) | ↓ 40 (↓ 48 a ↓ 32) |
| Azanavir/ritonavir 300/100 una volta al giorno × 42 days | 10 | ↓ 28 (↓ da 50 a ↑ 5) | ↓ 25 e (↓ 42 a ↓ 3) | ↓ 23 e (↓ da 46 a ↑ 10) | |
| Darunavir f | Darunavir/ritonavir 300/100 una volta al giorno | 12 | ↑ 16 (↓ da 6 a ↑ 42) | ↑ 21 (↓ da 5 a ↑ 54) | ↑ 24 (↓ da 10 a ↑ 69) |
| Didanosina g | 250 una volta contemporaneamente con TDF e un pasto leggero h | 33 | ↓ 20 i (↓ da 32 a ↓ 7) | ↔ i | N / a |
| Lopinavir | Lopinavir/ritonavir 400/100 due volte al giorno × 14 giorni | 24 | ↔ | ↔ | ↔ |
| Ritonavir | Lopinavir/ritonavir 400/100 due volte al giorno × 14 giorni | 24 | ↔ | ↔ | ↔ |
| Tipranavir j | Tipranavir/ritonavir 500/100 due volte al giorno | 22 | ↓ 17 (↓ 26 a ↓ 6) | ↓ 18 (↓ da 25 a ↓ 9) | ↓ 21 (↓ 30 a ↓ 10) |
| Tipranavir/ritonavir 750/200 due volte al giorno (23 dosi) | 20 | ↓ 11 (↓ da 16 a ↓ 4) | ↓ 9 (↓ da 15 a ↓ 3) | ↓ 12 (↓ da 22 a 0) | |
| a Tutte le prove di interazione condotte su volontari sani. b I soggetti hanno ricevuto TDF 300 mg una volta al giorno. c Aumento = ↑; Diminuire = ↓; Nessun effetto = ↔ d Reyataz che prescrive informazioni. e Nei pazienti con infezione da HIV l'aggiunta di TDF ad Atazanavir 300 mg più ritonavir 100 mg ha provocato valori AUC e CMIN di azanavir che erano 2,3 e 4 volte più alti rispetto ai rispettivi valori osservati per Atazanavir 400 mg quando somministrati da soli. f Informazioni di prescrizione di prezista. g Videx EC che prescrive informazioni. I soggetti hanno ricevuto capsule con rivestimento enterico di didanosina. h 373 kcal 8,2 g di grasso. i Rispetto alla didanosina (rivestito in enterico) 400 mg somministrati da soli in condizioni di digiuno. j Aptivus Prescriping Information. |
Microbiologia
Meccanismo d'azione
Efavirenz
L'EFV è un inibitore della trascrittasi inversa non nucleoside (RT) dell'HIV-1. L'attività di Efavirenz è mediata prevalentemente dall'inibizione non competitiva della trascrittasi inversa dell'HIV-1. L'HIV-2 RT e la DNA polimerasi cellulari umani α β γ e δ non sono inibiti da EFV.
Emtricitabina
Emtricitabina a synthetic nucleoside analog of cytidine is phosphorylated by cellular enzymes to form FTC 5'-triphosphate. Emtricitabina 5'-triphosphate inhibits the activity of the HIV-1 RT by competing with the natural substrate deoxycytidine 5'-triphosphate E by being incorporated into nascent viral DN / a which results in chain termination. Emtricitabina 5′-triphosphate is a weak inhibitor of mammalian DN / a polymerases α β ε E mitochondrial DN / a polymerase γ
Tenofovir df
Il TDF è un analogo del diester fosfonato nucleosidico aciclico di adenosina monofosfato. Il TDF richiede l'idrolisi del diester iniziale per la conversione in tenofovir e le successive fosforilazioni da parte degli enzimi cellulari per formare il tenfovir difosfato. Il difosfato di tenofovir inibisce l'attività dell'HIV-1 RT competendo con il substrato naturale della deossiadenosina 5′-trifosfato e dopo l'incorporazione nel DNA mediante interruzione della catena del DNA. Il difosfato di tenofovir è un debole inibitore della DNA polimerasi di mammifero α β e del DNA polimerasi mitocondriale γ.
Attività antivirale
Efavirenz Emtricitabina E Tenofovir df
In studi di combinazione che valutano l'attività antivirale nella coltura cellulare di FTC e EFV insieme EFV e tenofovir insieme e FTC e tenofovir insieme additivi agli effetti antivirali sinergici.
Efavirenz
La concentrazione di EFV inibisce la replicazione dei ceppi adattati in laboratorio di tipo selvaggio e gli isolati clinici nella coltura cellulare del 90-95% (EC 90-95 ) variava da 1,7-25 nm nelle linee cellulari linfoblastoidee cellule mononucleate periferiche e colture di macrofagi/monociti. Efavirenz ha dimostrato un'attività antivirale additiva contro l'HIV-1 nella coltura cellulare quando combinata con inibitori della trascrittasi inversa non nucleosidica (NNRTIS) (delavirdina e nevirapina) Nucleoside-inverse-inibitore della trascrittasi) (Pis) (amprenavir indinavir lopinavir nelfinavir ritonavir e saqinavir) e l'inibitore della fusione enfuvirtide. Efavirenz ha dimostrato additivo all'attività antivirale antivirale nella coltura cellulare con Atazanavir. Efavirenz ha dimostrato l'attività antivirale contro il clade B e la maggior parte degli isolati non clande B (sottotipi A AE Ag C D F G J e N) ma ha ridotto l'attività antivirale contro i virus del gruppo O. Efavirenz non è attivo contro l'HIV-2.
Emtricitabina
L'attività antivirale nella coltura cellulare di FTC contro gli isolati di laboratorio e clinici dell'HIV-1 è stata valutata nelle linee cellulari linfoblastoidee la linea cellulare Magi-CCR5 e le cellule mononucleari del sangue periferico. La concentrazione effettiva del 50% (EC 50 ) I valori per FTC erano nell'intervallo di 0,0013-0,64 μm (NULL,0003-0,158 μg/mL). Negli studi di combinazione di farmaci su FTC con NRTIS (abacavir lamivudina stavudina Zalcitabina e Zidovudine) NNRTIS (Delavirdine EFV e nevirapina) e PIS (amprenavir nelfinavir ritonavir e saquinavir) sono stati osservati effetti sinergici. L'emtricitabina ha mostrato attività antivirale nella coltura cellulare contro le lame HIV-1 A B C D E F e G (EC 50 I valori variavano da 0,007-0,075 μm) e hanno mostrato attività specifica della deformazione contro l'HIV-2 (EC 50 I valori variavano da 0,007-1,5 μm).
Tenofovir df
L'attività antivirale nella coltura cellulare del tenofovir contro gli isolati di laboratorio e clinici dell'HIV-1 è stata valutata nelle linee cellulari linfoblastoidee cellulari di monociti/macrofagi e linfociti periferici. La EC 50 I valori per tenofovir erano nell'intervallo di 0,04-8,5 μm. Negli studi di combinazione di farmaci su tenofovir con NRTIS (abacavir didanosina lamivudina stavudina zalcitabina e zidovudina) nnrtis (delavirdine EFV e nevirapina) e gli effetti di amprenavir indinavir Nelfinavir ritonavir e saquinavir) sono stati osservati a sirgani. Il tenofovir ha mostrato attività antivirale nella coltura cellulare contro le lame HIV-1 A B C D E F G e O (EC 50 I valori variavano da 0,5-2,2 μm) e hanno mostrato attività specifica per la deformazione contro l'HIV-2 (EC 50 I valori variavano da 1,6-5,5 μm).
Resistenza
EFV FTC e TDF
Gli isolati dell'HIV-1 con ridotta suscettibilità alla combinazione di FTC e tenofovir sono stati selezionati nella coltura cellulare e negli studi clinici. L'analisi genotipica di questi isolati ha identificato le sostituzioni di aminoacidi M184V/I e/o K65R nella RT virale. Inoltre, una sostituzione K70E nella trascrittasi inversa dell'HIV-1 è stata selezionata da tenofovir e provoca una ridotta suscettibilità al tenofovir.
In uno studio clinico su soggetti naïve al trattamento [Studio 934 vedi Studi clinici ] L'analisi della resistenza è stata eseguita su isolati dell'HIV-1 da tutti i soggetti di insufficienza virologica confermati con oltre 400 copie/mL di RNA dell'HIV-1 alla settimana 144 o discontinuazioni precoci. La resistenza genotipica all'EFV prevalentemente la sostituzione K103N era la forma di resistenza più comune che si è sviluppata. La resistenza all'EFV si è verificata nei soggetti analizzati nel gruppo TDF FTC e in 21/29 hanno analizzato i soggetti nel gruppo di combinazione a dose fissa zidovudina/lamivudina. La sostituzione di aminoacidi M184V associata alla resistenza a FTC e lamivudina è stata osservata in isolati di soggetto analizzati 2/19 nel gruppo TDF FTC e nel 10/29 analizzati isolati di soggetti nel gruppo zidovudina/lamivudina. Per 144 settimane di studio 934 nessun soggetto ha sviluppato una sostituzione K65R rilevabile nel loro HIV-1 analizzato attraverso l'analisi genotipica standard.
In uno studio clinico su soggetti naïve al trattamento isolati dall'8/47 (17%) i soggetti analizzati che ricevono TDF hanno sviluppato la sostituzione K65R attraverso 144 settimane di terapia; 7 di questi si sono verificati nelle prime 48 settimane di trattamento e una alla settimana 96. Nel trattamento ha sperimentato soggetti 14/304 (5%) di soggetti trattati con TDF con insufficienza virologica attraverso la settimana 96 ha mostrato una suscettibilità a 1,4 volte più grande di 1,4 volte (mediana 2,7). L'analisi genotipica degli isolati resistenti ha mostrato una sostituzione nel gene HIV-1 RT con conseguente sostituzione degli aminoacidi K65R.
Efavirenz
Sono stati ottenuti isolati clinici con ridotta suscettibilità nella coltura cellulare all'EFV. La sostituzione degli aminoacidi più frequentemente osservata negli studi clinici con EFV è K103N (54%). Una o più sostituzioni RT in posizioni di aminoacidi 98 100 101 103 106 108 188 190 225 227 e 230 sono state osservate nei soggetti che non hanno avuto un trattamento con EFV in combinazione con altri antiretrovirali. Altre sostituzioni di resistenza osservate emergono comunemente includevano L100i (7%) K101E/Q/R (14%) V108i (11%) G190S/T/A (7%) P225H (18%) e M230i/L (11%).
HIV-1 isolati con ridotta suscettibilità all'EFV (aumento maggiore di 380 volte in EC 90 valore) è emerso rapidamente sotto selezione nella coltura cellulare. La caratterizzazione genotipica di questi virus ha identificato le sostituzioni con conseguenti sostituzioni di singoli aminoacidi L100I o V179D doppie sostituzioni L100i/V108i e triple sostituzioni L100I/V179D/Y181C in RT.
Emtricitabina
Emtricitabina-resistant isolates of HIV-1 have been selected in cell culture E in clinical trials. Genotypic analysis of these isolates showed that the reduced susceptibility to FTC was associated with a substitution in the HIV-1 RT gene at codon 184 which resulted in an amino acid substitution of methionine by valine or isoleucine (M184V/I).
Recensioni del detergente per detergente per lo zolfo sodio e del detergente per lo zolfo
Tenofovir df
Gli isolati dell'HIV-1 con ridotta suscettibilità al tenofovir sono stati selezionati nella coltura cellulare. Questi virus hanno espresso una sostituzione K65R in RT e hanno mostrato una riduzione da 2 a 4 volte della suscettibilità al tenofovir.
Resistenza incrociata
Efavirenz Emtricitabina E Tenofovir df
La resistenza incrociata è stata riconosciuta tra gli NNRTI. La resistenza incrociata è stata anche riconosciuta tra alcuni NRTI. Le sostituzioni M184V/I e/o K65R selezionate nella coltura cellulare dalla combinazione di FTC e tenofovir sono anche osservate in alcuni isolati di HIV-1 da soggetti che non riescono a trattamento con tenofovir in combinazione con lamivudina o FTC e Abacavir o didanosina. Pertanto, la resistenza incrociata tra questi farmaci può verificarsi in pazienti il cui virus ospita o entrambe queste sostituzioni di aminoacidi.
Efavirenz
Gli isolati clinici precedentemente caratterizzati come resistenti all'EFV erano anche fenotipicamente resistenti alla coltura cellulare alla delavirdina e alla nevirapina rispetto al basale. Isolati virali clinici resistenti alla delavirdina e/o alla nevirapina con sostituzioni associate alla resistenza NNRTI (A98G L100I K101E/P K103N/S V106A Y181X Y188X G190X P225H F227L o M230L) ha mostrato una suscettibilità ridotta a EFV. Maggiore del 90% degli isolati resistenti alla NRTI testati nella coltura cellulare hanno mantenuto la suscettibilità all'EFV.
Emtricitabina
Emtricitabina-resistant isolates (M184V/I) were cross resistant to lamivudine but retained susceptibility in cell culture to didanosine stavudine tenofovir zidovudine E NNRTIs (delavirdine EFV E nevirapine). HIV-1 isolates containing the K65R substitution selected in vivo di Abacavir didanosina e tenofovir hanno dimostrato una ridotta suscettibilità all'inibizione da parte di FTC. I virus che ospitano sostituzioni che conferiscono una ridotta suscettibilità a stavudina e zidovudina (M41L D67N K70R L210W T215Y/F e K219Q/E) o la didanosina (L74V) sono rimaste sensibili a FTC.
Tenofovir df
La resistenza incrociata è stata osservata tra i NRTI. La sostituzione K65R in HIV-1 RT selezionata da tenofovir è anche selezionata in alcuni pazienti infetti da HIV-1 trattati con abacavir o didanosina. Gli isolati dell'HIV-1 con la sostituzione K65R hanno anche mostrato una ridotta suscettibilità a FTC e lamivudina. Pertanto, la resistenza incrociata tra questi farmaci può verificarsi in pazienti il cui virus ospita la sostituzione K65R. La sostituzione K70E selezionata clinicamente dal TDF comporta una ridotta suscettibilità all'Abacavir didanosine FTC e alla lamivudina. Gli isolati dell'HIV-1 dai soggetti (n = 20) il cui HIV-1 espresse una media di 3 sostituzioni di aminoacidi RT associate alla zidovudina (M41L D67N K70R L210W T215Y/F o K219Q/E/N) mostrato che una riduzione di 3,1 volte nella suscettibilità al tenofovir. I soggetti il cui virus espresse una sostituzione L74V senza sostituzioni associate alla resistenza di zidovudina (n = 8) avevano una risposta ridotta al TDF. Sono disponibili dati limitati per i pazienti il cui virus ha espresso una sostituzione Y115F (n = 3) sostituzione Q151M (n = 2) o inserimento T69 (n = 4) che hanno avuto una risposta ridotta.
Tossicologia animale e/o farmacologia
Efavirenz
Sono state osservate convulsioni non resistenti in 6 su 20 scimmie che hanno ricevuto EFV a dosi che producono valori AUC plasmatici da 4 a 13 volte più grandi di quelli nell'uomo data la dose raccomandata.
Tenofovir df
Tenofovir e TDF somministrati in studi tossicologici a cani e scimmie di ratti alle esposizioni (basate su AUC) maggiori o uguali a 6 volte quelli osservati nell'uomo causato tossicità ossea. Nelle scimmie la tossicità ossea è stata diagnosticata come osteomalacia. L'osteomalacia osservata nelle scimmie sembrava essere reversibile dopo la riduzione della dose o l'interruzione del tenofovir. Nei ratti e nei cani la tossicità ossea si è manifestata come ridotta densità minerale ossea. Il meccanismo (i) alla base della tossicità ossea è sconosciuta.
La prova della tossicità renale è stata osservata in 4 specie animali somministrate tenofovir e TDF. L'aumento della creatinina glicosuria proteinuria fosfaturia e/o calciuria e diminuzioni del fosfato sierico sono state osservate a vari gradi in questi animali. Queste tossicità sono state osservate in esposizioni (basate su AUCS) da 2 a 20 volte più alte di quelle osservate nell'uomo. Non è nota la relazione delle anomalie renali in particolare la fosfaturia con la tossicità ossea.
Studi clinici
Lo studio clinico 934 (NCT00112047) supporta l'uso di compresse Atripla nei pazienti con infezione da HIV-1 antiretrovirale-naïve.
Studio clinico 073 (NCT00365612) fornisce esperienza clinica in soggetti con soppressione virologica stabile e nessuna storia di insufficienza virologica che è passata dal loro attuale regime ad Atripla.
Nei pazienti con esperienza antiretrovirale, l'uso di compresse Atripla può essere considerato per i pazienti con ceppi di HIV-1 che dovrebbero essere suscettibili ai componenti di Atripla come valutato dalla storia del trattamento o mediante test genotipici o fenotipici [vedi Microbiologia ].
Studio 934
I dati fino a 144 settimane sono riportati per lo studio 934 uno studio multicentrico randomizzato a attiva attivo controllato che confronta FTC TDF somministrato in combinazione con EFV rispetto a zidovudina/lamivudina combinazione a dose fissa somministrata in combinazione con EFV in 511 soggetti antiretrovirali. Dalle settimane da 96 a 144 dei soggetti di prova hanno ricevuto una combinazione di dose fissa FTC/TDF con EFV al posto di FTC TDF con EFV. I soggetti avevano un'età media di 38 anni (intervallo 18–80); L'86% era maschio il 59% era caucasico e il 23% era nero. Il conteggio medio delle cellule CD4 basali era 245 cellule/mm 3 (intervallo 2-1191) e l'RNA di HIV-1 di base mediano HIV-1 era 5,01 Copie Log10/mL (intervallo 3.56-6,54). I soggetti sono stati stratificati per conteggio delle cellule CD4 basali (
Tabella 8: Risultati virologici del trattamento randomizzato alle settimane 48 e 144 (Studio 934)
| Risultati | Alla settimana 48 | Alla settimana 144 | ||
| FTC TDF EFV (N = 244) | It/3tc efv (N = 243) | FTC TDF EFV (N = 227) a | It/3tc efv (N = 229) a | |
| Risponditore b | 84% | 73% | 71% | 58% |
| Insufficienza virologica c | 2% | 4% | 3% | 6% |
| Rebound | 1% | 3% | 2% | 5% |
| Never suppressed | 0% | 0% | 0% | 0% |
| Change in antiretroviral regimen | 1% | 1% | 1% | 1% |
| Morte | <1% | 1% | 1% | 1% |
| Interrotto a causa dell'evento avverso | 4% | 9% | 5% | 12% |
| Interrotto per altri motivi d | 10% | 14% | 20% | 22% |
| a Soggetti che erano soccorritori alla settimana 48 o settimana 96 (HIV-1 RNA <400 copies/mL) but did not consent to continue trial after Week 48 or Week 96 were excluded from analysis. b Soggetti raggiunti e mantenuti l'HIV-1 RNA confermato <400 copies/mL through Weeks 48 E 144. c Include il rimbalzo virale confermato e il mancato raggiungimento dell'HIV-1 RNA confermato <400 copies/mL through Weeks 48 E 144. d Include la violazione del protocollo di non conformità per la perdita di perdita di assistenza ai pazienti e altri motivi. |
Durante la settimana 48 84% e il 73% dei soggetti nel gruppo TDF FTC e il gruppo Zidovudina/Lamivudina ha raggiunto rispettivamente e mantenuto l'RNA dell'HIV-1 <400 copies/mL (71% E 58% through Week 144). The difference in the proportion of subjects who achieved E maintained HIV-1 RN / a <400 copies/mL through 48 weeks largely results from the higher number of discontinuations due to adverse events E other reasons in the zidovudine/lamivudine group in this open-label trial. In addition 80% E 70% of subjects in the FTC + TDF group E the zidovudine/lamivudine group respectively achieved E maintained HIV-1 RN / a <50 copies/mL through Week 48 (64% E 56% through Week 144). The mean increase from baseline in CD4+ cell count was 190 cells/mm 3 Nel gruppo TDF FTC e 158 celle/mm 3 Nel gruppo zidovudina/lamivudina alla settimana 48 (312 e 271 cellule/mm 3 alla settimana 144).
Attraverso 48 settimane 7 soggetti nel gruppo TDF FTC e 5 soggetti nel gruppo Zidovudine/Lamivudine hanno registrato un nuovo evento CDC di classe C (10 e 6 soggetti per 144 settimane).
Studio 073
Studio 073 was a 48-week open-label rEomized clinical trial in subjects with stable virologic suppression on combination antiretroviral therapy consisting of at least two NRTIs administered in combination with a protease inhibitor (with or without ritonavir) or a NNRTI.
Essere iscritti i soggetti dovevano avere l'HIV-1 RNA <200 copies/mL for at least 12 weeks on their current regimen prior to trial entry with no known HIV-1 substitutions conferring resistance to the components of Atripla E no history of virologic failure.
La sperimentazione ha confrontato l'efficacia del passaggio ad Atripla o per rimanere sul regime antiretrovirale di base (SBR). I soggetti sono stati randomizzati in un rapporto 2: 1 per passare ad Atripla (n = 203) o rimanere su SBR (n = 97). I soggetti avevano un'età media di 43 anni (intervallo 22-73 anni); L'88% era maschio che il 68% era bianco il 29% era nero o afro-americano e il 3% era di altre gare. Al basale la conta delle cellule CD4 mediane era 516 cellule/mm 3 E 96% had HIV-1 RN / a <50 copies/mL. The median time since onset of antiretroviral therapy was 3 years E 88% of subjects were receiving their first antiretroviral regimen at trial enrollment.
Alla settimana 48 89% E 87% of subjects who switched to Atripla maintained HIV RN / a <200 copies/mL E <50 copies/mL respectively compared to 88% E 85% who remained on SBR; this difference was not statistically significant. No changes in CD4+ cell counts from baseline to Week 48 were observed in either treatment arm.
Informazioni sul paziente per Atripla
Atripla ®
(Uh Trip luh)
(efavirenz emtricitabine e tenofovir disoproxil fumarate) compresse)
Quali sono le informazioni più importanti che dovrei sapere su Atripla?
Atripla can cause serious side effects including:
- Peggioramento dell'infezione da virus dell'epatite B (HBV). Il tuo operatore sanitario ti metterà alla prova per HBV prima di iniziare il trattamento con Atripla. Se hai un'infezione da HBV e prendi atripla, il tuo HBV potrebbe peggiorare (riagrigarsi) se smetti di prendere Atripla. Una riacutizzazione è quando l'infezione da HBV torna improvvisamente in modo peggiore di prima.
- Non smettere di prendere Atripla senza prima parlare con il tuo operatore sanitario.
- Non esaurirsi da Atripla. Riempi la prescrizione o parla con il tuo medico prima che l'Atripla sia sparita.
- Se smetti di prendere Atripla, il tuo operatore sanitario dovrà controllare spesso la tua salute e fare regolarmente esami del sangue per diversi mesi per controllare le tue infezioni da HBV o darti un farmaco per curare l'epatite B. Di 'al tuo operatore sanitario di eventuali sintomi nuovi o insoliti che potresti avere dopo aver smesso di prendere Atripla.
Per ulteriori informazioni sugli effetti collaterali, consultare la sezione Quali sono i possibili effetti collaterali di Atripla?
Cos'è Atripla?
Atripla is a prescription medicine that contains efavirenz emtricitabine e tenofovir disoproxil fumarato combined in 1 tablet. Atripla is used alone as a complete regimen or in combination with other anti-HIV-1 medicines to treat people with HIV-1 infection who weigh at least 88 lbs (40 kg).
Non è noto se Atripla è sicuro ed efficace per l'uso nei bambini con infezione da HIV-1 che pesano meno di 88 libbre (40 kg).
Chi non dovrebbe prendere Atripla?
Non prendere Atripla se tu:
- sono allergici a efavirenz
- Prendi la medicina chiamata Voriconazole Elbasvir o Grazoprevir
Chiedi al tuo medico se non sei sicuro di prendere una di queste medicine.
Prima di prendere Atripla Dì al tuo operatore sanitario su tutte le tue condizioni mediche, incluso se tu:
- Avere problemi epatici tra cui l'infezione da virus dell'epatite B o C
- avere problemi cardiaci
- hanno o hanno avuto problemi mentali
- avere una storia di abuso di droghe o alcol
- avere problemi di sistema nervoso
- avere problemi ai reni o ricevere il trattamento della dialisi renale
- avere problemi ossei
- hanno avuto convulsioni o assumere medicinali usati per trattare convulsioni
- sono incinta o prevedono di rimanere incinta. Atripla può danneggiare il tuo bambino non ancora nato. Se sei in grado di rimanere incinta, il tuo operatore sanitario dovrebbe eseguire un test di gravidanza prima di iniziare il trattamento con Atripla. Non dovresti rimanere incinta durante il trattamento con Atripla e per 12 settimane dopo aver interrotto il trattamento. Di 'al tuo operatore sanitario se rimani incinta o pensi di essere incinta durante il trattamento con Atripla.
- Le femmine che sono in grado di rimanere incinta dovrebbero usare 2 forme efficaci di controllo delle nascite (contraccezione) durante il trattamento con Atripla e per 12 settimane dopo aver interrotto il trattamento.
- Una forma barriera di controllo delle nascite dovrebbe essere sempre usata insieme a un altro tipo di controllo delle nascite. Le forme barriera del controllo delle nascite possono includere le spugne contraccettive del preservativo diaframma con spermicida e cappuccio cervicale.
- I metodi di controllo delle nascite che contengono il progesterone ormonale come le pillole di controllo delle nascite iniezioni di anelli o impianti vaginali potrebbero non funzionare altrettanto bene durante l'attripla.
- Parla con il tuo operatore sanitario dei metodi di controllo delle nascite che potrebbero essere giusti per te durante il trattamento con Atripla.
- Gravidanza Registry: C'è un registro di gravidanza per le donne che prendono Atripla durante la gravidanza. Lo scopo di questo registro è raccogliere informazioni sulla salute di te e del tuo bambino. Parla con il tuo operatore sanitario di come puoi prendere parte a questo registro.
- stanno allattando o pianificano di allattare. Atripla può passare nel latte materno. Non allattare al seno a causa del rischio di passare l'HIV-1 al tuo bambino.
Di 'al tuo operatore sanitario di tutte le medicine che prendi compresi le medicine da prescrizione e i medicinali eccessivi vitamine e integratori a base di erbe.
Tieni un elenco dei tuoi medicinali e mostralo al tuo medico e al farmacista quando ottieni un nuovo medicinale.
Atripla E some medicines may interact with each other causing serious side effects.
Puoi chiedere al tuo operatore sanitario o al farmacista un elenco di medicinali che interagiscono con Atripla. Non avviare una nuova medicina senza dirlo al tuo operatore sanitario. Il tuo operatore sanitario può dirti se è sicuro prendere Atripla con altri medicinali.
Come dovrei prendere Atripla?
- Prendi Atripla esattamente come ti dice il tuo operatore sanitario.
- Se prendi Atripla con altri medicinali usati per trattare l'HIV-1, il tuo operatore sanitario ti dirà quali medicinali assumere e come prenderli.
- Prendi Atripla 1 volta ogni giorno a stomaco vuoto. Dovresti prendere Atripla allo stesso tempo ogni giorno.
- Prendere Atripla prima di coricarsi può rendere alcuni effetti collaterali meno fastidiosi.
- Non perdere una dose di atripla . Mancare una dose abbassa la quantità di medicina nel sangue. Riempi la prescrizione di Atripla prima di esaurire la medicina.
- Non cambiare la tua dose di Atripla o smettere di prendere Atripla senza prima parlare con il tuo operatore sanitario. Resta sotto le cure di un operatore sanitario durante il trattamento con Atripla.
- Se prendi troppi Atripla chiama subito il tuo operatore sanitario o arrivi immediatamente al pronto soccorso dell'ospedale più vicino.
Cosa dovrei evitare mentre prendi Atripla?
- Atripla can cause vertigini impaired concentration E sonnolenza. If you have these symptoms do not drive a car use heavy machinery or do anything that requires you to be alert.
Quali sono i possibili effetti collaterali di Atripla?
Atripla may cause serious side effects including:
- Guarda quali sono le informazioni più importanti che dovrei sapere su Atripla?
- Eruzione cutanea. Eruzione cutanea is a serious side effect but may also be common. Eruzione cutaneaes will usually go away without any change in your treatment. Tell your healthcare provider right away if you develop a eruzione cutanea during treatment with Atripla.
- Gravi problemi epatici. In rari casi possono verificarsi gravi problemi epatici che possono portare alla morte. Di 'subito al tuo operatore sanitario se si ottengono questi sintomi: La pelle o la parte bianca degli occhi trasforma le urine gialle color tè scuro sgabelli color chiacchiere per la perdita di appetito per diversi giorni o una nausea più lunga o un dolore all'area dello stomaco.
- Problemi mentali. Gravi problemi mentali, tra cui gravi pensieri e azioni suicidari della depressione e azioni aggressive delusioni di catatonia e reazioni paranoiche e maniacali, nelle persone che prendono Atripla. Questi problemi di salute mentale possono verificarsi più spesso nelle persone che hanno una storia di problemi mentali o uso di droghe o che prendono medicine per curare i problemi mentali. Di 'subito al tuo medico se si sviluppa seri problemi mentali durante il trattamento con Atripla.
- Problemi del sistema nervoso. I problemi del sistema nervoso possono diventare più gravi se bevi alcolici o assumi droghe per alterare l'umore (strada) mentre si assumono Atripla. I sintomi dei problemi del sistema nervoso possono includere:
- vertigini
- problemi di concentrazione
- abnormal dreams
- Umore insolitamente felice
- agitazione
- problemi di pensiero
- Problemi che dormono
- stanchezza
- vedere o ascoltare cose che non sono reali (allucinazioni)
- confusione
- Problemi di memoria
- Problemi renali nuovi o peggiori tra cui insufficienza renale. Il tuo operatore sanitario dovrebbe eseguire test di sangue e urina per controllare i reni prima di iniziare e durante il trattamento con Atripla. Il tuo operatore sanitario potrebbe dirti di smettere di prendere Atripla se sviluppi problemi renali nuovi o peggiori durante il trattamento con Atripla.
- Problemi ossei Può accadere in alcune persone che prendono Atripla. I problemi ossei includono dolore osseo o ammorbidimento o diradamento delle ossa che possono portare a fratture. Potrebbe essere necessario eseguire test per controllare le ossa.
- Convulsioni. Il tuo operatore sanitario può fare esami del sangue durante il trattamento con Atripla se si prendono determinati medicinali utilizzati per prevenire convulsioni.
- Troppo acido lattico nel sangue (acidosi lattica). Troppo acido lattico è una grave ma rara emergenza medica che può portare alla morte. Di 'subito al tuo medico se si sviluppa uno di questi sintomi:
- debolezza or being more tired than usual
- Essere a corto di respiro o respirazione rapida
- mani e piedi freddi o blu
- battito cardiaco veloce o anormale
- Dolore muscolare insolito
- dolori di stomaco with nausea E vomito
- Sentire le vertigini o il vento
- I cambiamenti nel sistema immunitario (sindrome della ricostituzione immunitaria) possono verificarsi quando una persona infetta da HIV-1 inizia a prendere medicine per l'HIV-1. Il tuo sistema immunitario potrebbe diventare più forte e iniziare a combattere le infezioni che sono state nascoste nel tuo corpo per molto tempo. Di 'subito al tuo operatore sanitario se sviluppi nuovi sintomi dopo aver iniziato il trattamento con Atripla.
- Cambiamenti nel grasso corporeo. I cambiamenti nella distribuzione o nell'accumulo di grasso corporeo sono avvenuti in alcune persone che assumono medicinali per l'HIV-1 tra cui una maggiore quantità di grasso nella parte superiore della schiena e nel collo (gobba di bufalo) nel seno e intorno al tronco. Può anche accadere la perdita di grasso dalle braccia e dal viso delle gambe. La causa e gli effetti sulla salute a lungo termine di questi cambiamenti di grasso corporeo non sono noti.
Gli effetti collaterali più comuni di Atripla includono:
- diarrea
- stanchezza
- vertigini
- Problemi che dormono
- eruzione cutanea
- nausea
- mal di testa
- depressione
- abnormal dreams
Questi non sono tutti i possibili effetti collaterali di Atripla.
Chiama il medico per consigli medici sugli effetti collaterali. È possibile segnalare gli effetti collaterali alla FDA al numero 1-800-FDA- 1088.
Come dovrei conservare Atripla?
- Conservare Atripla a temperatura ambiente compresa tra 68 ° F e 77 ° F (da 20 ° C a 25 ° C).
- Mantieni Atripla nel suo contenitore originale e mantieni il contenitore strettamente chiuso.
Mantieni Atripla e tutti gli altri medicinali fuori dalla portata dei bambini.
Informazioni generali sull'uso sicuro ed efficace di Atripla.
Le medicine sono talvolta prescritte a fini diversi da quelli elencati in un volantino delle informazioni del paziente. Non usare Atripla per una condizione per la quale non è stata prescritta. Non dare atripla ad altre persone anche se hanno gli stessi sintomi che hai. Potrebbe danneggiare loro. Puoi chiedere al tuo operatore sanitario o al farmacista informazioni su Atripla scritta per gli operatori sanitari.
Quali sono gli ingredienti di Atripla?
Ingredienti attivi: efavirenz emtricitabine e tenofovir disoproxil fumarato
Ingredienti inattivi: Croscarmellosio sodio idrossipropil cellulosa magnesio sterilizzato microcristallino cellulosa e lauril solfato di sodio. Il rivestimento cinematografico contiene talco di ossido di ferro alcolico in polietilenlico in polietilenlico in polietilenlico di ossido di ferro e biossido di titanio.
Queste informazioni sui pazienti sono state approvate dalla Food and Drug Administration degli Stati Uniti.